Last update :
18/03/2026
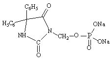
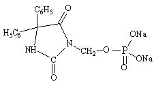
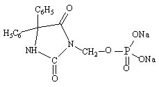
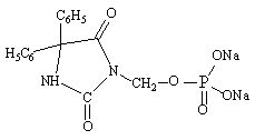
Antiepileptic   Fosphenytoin sodium  
injection
Stability in solutions Stability of mixtures Factors which affect stability Compatibility Route of administration References pdf
   Chemical structure  

Tradename   Tradename     

Trade names are indicative and excipients composition can be different depending on the country and manufacturers

Cerebryx Canada, United States of America
Fosphen India
Fostoin Japan
Pro - Epanutin Austria, Denmark, Finland, Great Britain, Iceland, Ireland, Luxembourg, Netherlands, Norway, Sweden
Prodilantin Austria, Denmark, Finland, France, Greece, Hungary, Iceland, Ireland, Japan, Netherlands, Poland, United States of America
Sesquient United States of America
Stability in solutions   injection   Stability in solutions : Fosphenytoin sodium     
Container Solvent Concentration Temperature Storage Duration of stability References
Glass Sodium chloride 0,9% 1 & 8 & 20 mg/ml 25°C Not specified
30 Day
800
Level of evidence A

Glass Sodium chloride 0,9% 1 & 8 & 20 mg/ml 4°C Protect from light
30 Day
800
Level of evidence A

Glass Glucose 5% 1 & 8 & 20 mg/ml 25°C Not specified
30 Day
800
Level of evidence A

Glass Glucose 5% 1 & 8 & 20 mg/ml 4°C Protect from light
30 Day
800
Level of evidence A

Polyvinyl chloride Sodium chloride 0,9% 1 & 8 & 20 mg/ml -20°C Protect from light
30 Day
800
Level of evidence A

Polyvinyl chloride Sodium chloride 0,9% 1 & 8 & 20 mg/ml 25°C Not specified
30 Day
800
Level of evidence A

Polyvinyl chloride Sodium chloride 0,9% 1 & 8 & 20 mg/ml 4°C Protect from light
30 Day
800
Level of evidence A

Polyvinyl chloride Glucose 5% 1 & 8 & 20 mg/ml -20°C Protect from light
30 Day
800
Level of evidence A

Polyvinyl chloride Glucose 5% 1 & 8 & 20 mg/ml 25°C Not specified
30 Day
800
Level of evidence A

Polyvinyl chloride Glucose 5% 1 & 8 & 20 mg/ml 4°C Protect from light
30 Day
800
Level of evidence A

Polypropylen Syringe None 50 mg/ml -20°C Light
30 Day
800
Level of evidence A

Polypropylen Syringe None 50 mg/ml 25°C Not specified
30 Day
800
Level of evidence A

Polypropylen Syringe None 50 mg/ml 4°C Protect from light
30 Day
800
Level of evidence A


  Mentions Légales