Son güncelleme :
27/11/2025
Antiepileptik   Fosphenytoin sodium  
Enjeksiyon
Çözeltilerin stabilitesi Karışımlardaki stabilitesi Stabiliteyi etkileyen faktörler Uyumluluk Uygulama yöntemi Kaynaklar pdf
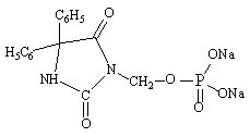
   Kimyasal yapı   

Ticari isim   Ticari isim     

Trade names are indicative and excipients composition can be different depending on the country and manufacturers

Cerebryx Amerika Birleşik Devletleri, Kanada
Fosphen Hindistan
Fostoin Japonya
Pro - Epanutin Avusturya, Büyük Britanya, Danimarka, Finlandiya, Hollanda, İrlanda, İsveç, İzlanda, Lüksemburg, Norveç
Prodilantin Amerika Birleşik Devletleri, Avusturya, Danimarka, Finlandiya, Fransa, Hollanda, İrlanda, İzlanda, Japonya, Macaristan, Polonya, Yunanistan
Sesquient Amerika Birleşik Devletleri
Uygulama yöntemi   Uygulama yöntemi :Fosphenytoin sodium     
Voie
İntravenöz infüzyon
İntramüsküler

  Mentions Légales