Ostatnia aktualizacja :
27/11/2025
środek przeciwpadaczkowy   Fosphenytoin sodium  
Injekcje
Trwałość roztworów Trwałość w mieszaninie Czynnik wpływający na trwałość Zgodność Sposób podania Bibliografia pdf
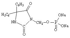
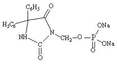
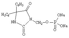
   Struktura chemiczna  

Nazwa handlowa   Nazwa handlowa     

Trade names are indicative and excipients composition can be different depending on the country and manufacturers

Cerebryx Kanada, Stany Zjednoczone Ameryki
Fosphen Indie
Fostoin Japonia
Pro - Epanutin Austria, Dania, Finlandia, Holandia, Irlandia, Islandia, Luksemburg, Norwegia, Szwecja, Wielka Brytania
Prodilantin Austria, Dania, Finlandia, Francja , Grecja, Holandia, Irlandia, Islandia, Japonia, Polska, Stany Zjednoczone Ameryki, Węgry
Sesquient Stany Zjednoczone Ameryki
Sposób podania   Sposób podania :Fosphenytoin sodium     
Voie
Wlew dożylny
Podanie domięśniowe

  Mentions Légales