Ultimele actualizari :
27/11/2025
Antiepileptic   Fosphenytoin sodium  
Injectabil
Stabilitatea in solutie Stabilitatea in amestec Factorii care influenteaza stabilitatea Compatibilitate Microunde Bibliografie pdf
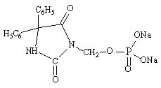
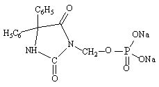
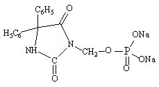
   Formula chimica  

Denumirea comerciala   Denumirea comerciala     

Trade names are indicative and excipients composition can be different depending on the country and manufacturers

Cerebryx Canada, SUA
Fosphen India
Fostoin Japonia
Pro - Epanutin Austria, Danemarca, Finlanda, Irlanda, Islanda, Luxemburg, Marea Britanie, Norvegia, Olanda, Suedia
Prodilantin Austria, Danemarca, Finlanda, Franta, Grecia, Irlanda, Islanda, Japonia, Olanda, Polonia, SUA, Ungaria
Sesquient SUA
Microunde   Microunde :Fosphenytoin sodium     
Voie
Perfuzie intravenoasa
Intra-muscular

  Mentions Légales