Laatste update :
27/11/2025
Anti-epilepticum   Fosphenytoin sodium  
injecteerbaar geneesmiddel
Stabiliteit in oplossing Stabiliteit in mengsels Factoren die de stabiliteit beïnvloeden Verenigbaarheden Toedieningswijze Literatuur pdf
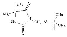
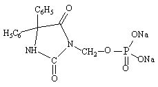
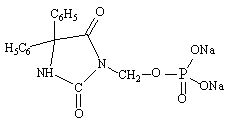
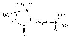
   Molecuulstructuur  

Merknamen in verschillende landen   Merknamen in verschillende landen     

Handelsnamen zijn slechts een indicatie; de samenstelling van hulpstoffen kan per land variëren afhankelijk van de fabrikant

Cerebryx Canada, USA
Fosphen Indië
Fostoin Japan
Pro - Epanutin Denemarken, Finland, Groot Britannië, Ierland, IJsland, Luxemburg, Nederland, Noorwegen, Oostenrijk, Zweden
Prodilantin Denemarken, Finland, Frankrijk, Griekenland, Hongarije, Ierland, IJsland, Japan, Nederland, Oostenrijk, Polen, USA
Sesquient USA
Toedieningswijze   Toedieningswijze :Fosphenytoin sodium     
Voie
Intraveneus infuus
Intramusculair

  Mentions Légales