Последно актуализиране :
27/11/2025
Антиепилептик   Fosphenytoin sodium  
Инжекция/Инжекционен
Стабилност на разтвори Стабилност на смеси Фактори, повлияващи стабилността Съвместимост Път на въвеждане Библиография Pdf
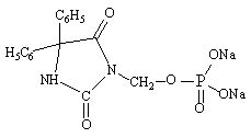
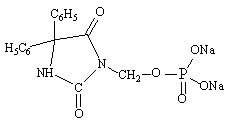
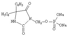
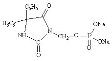
   Химична структура  

Търговско наименование   Търговско наименование     

Търговските имена са примерни и съставът на помощните вещества може да бъде различен в зависимост от държавата и лабораториите

Cerebryx Канада, Съединени Американски щати / САЩ
Fosphen Индия
Fostoin Япония
Pro - Epanutin Австрия, Великобритания, Дания, Ирландия, Исландия, Люксенбург, Норвегия, Финландия, Холандия, Швеция
Prodilantin Австрия, Гърция, Дания, Ирландия, Исландия, Полша, Съединени Американски щати / САЩ, Унгария, Финландия, Франция, Холандия, Япония
Sesquient Съединени Американски щати / САЩ
Път на въвеждане   Път на въвеждане :Fosphenytoin sodium     
Voie
Интравенозна инфузия
Интрамускулно

  Mentions Légales