Seneste opdatering :
27/11/2025
Antiepileptisk   Fosphenytoin sodium  
Injektion
Stabilitet i (vandige) opløsninger Stabilitet i blandinger Faktorer der påvirker stabiliteten Kompatibilitet Administrationsvej Bibliografi pdf
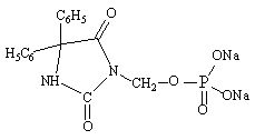
   Kemisk struktur  

Handelsnavn   Handelsnavn     

Handel navne er vejledende og hjælpestoffer sammensætning kan være forskellig afhængigt af landet og laboratorier

Cerebryx Canada, USA
Fosphen Indien
Fostoin Japan
Pro - Epanutin Danmark, Finland, Holland, Irland, Island, Luxemborg, Norge, Storbritanien, Sverige, Østrig
Prodilantin Danmark, Finland, Frankrig, Grækenland, Holland, Irland, Island, Japan, Polen, Ungarn, USA, Østrig
Sesquient USA
Administrationsvej   Administrationsvej :Fosphenytoin sodium     
Voie
Intravenøs infusion
Intramuskulær

  Mentions Légales