Siste oppdatering :
27/11/2025
Antiepileptika   Fosphenytoin sodium  
Injeksjon
Oppløsningsstabilitet Stabilitet i blandinger Faktorer som påvirker stabiliteten Kompatibilitet Administrasjonsmåte Referanser pdf
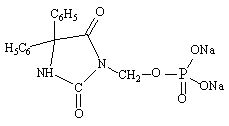
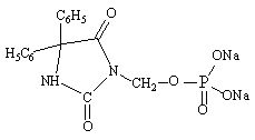
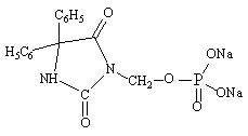
   Kjemisk struktur  

Handelsnavn   Handelsnavn     

Handelsnavn er veiledende og sammensetning av hjelpestoffer kan være forskjellig avhengig av land og produsent

Cerebryx Canada, USA
Fosphen India
Fostoin Japan
Pro - Epanutin Danmark, Finland, Irland, Island, Luxembourg, Nederland, Norge, Storbritannia, Sverige, Østerrike
Prodilantin Danmark, Finland, Frankrike, Hellas, Irland, Island, Japan, Nederland, Polen, Ungarn, USA, Østerrike
Sesquient USA
Administrasjonsmåte   Administrasjonsmåte :Fosphenytoin sodium     
Voie
Intravenøs infusjon
Intramuskulær

  Mentions Légales