Poslední aktualizace :
27/11/2025
Antiepileptikum   Fosphenytoin sodium  
injekce
Stabilita roztoků Stabilita směsí Faktory ovlivňující stabilitu Kompatibilita Způsoby aplikace Odkazy pdf
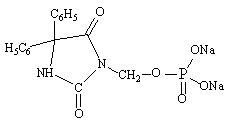
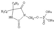
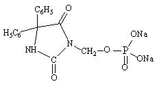
   Chemický vzorec  

Obchodní název   Obchodní název     

Trade names are indicative and excipients composition can be different depending on the country and manufacturers

Cerebryx Kanada, USA
Fosphen Indie
Fostoin Japonsko
Pro - Epanutin Dánsko, Finsko, Irsko, Island, Lucembursko, Nizozemsko, Norsko, Rakousko, Švédsko, Velká Británie
Prodilantin Dánsko, Finsko, Francie, Irsko, Island, Japonsko, MaÔarsko, Nizozemsko, Polsko, Rakousko, USA, ÿecko
Sesquient USA
Způsoby aplikace   Způsoby aplikace :Fosphenytoin sodium     
Voie
Intravenózní infúze
intramuskulárně

  Mentions Légales