Son güncelleme :
18/03/2026
Antifungal   Amphotericin B liposomale  
Enjeksiyon
Göz damlası
Çözeltilerin stabilitesi Karışımlardaki stabilitesi Stabiliteyi etkileyen faktörler Uyumluluk Uygulama yöntemi Kaynaklar pdf
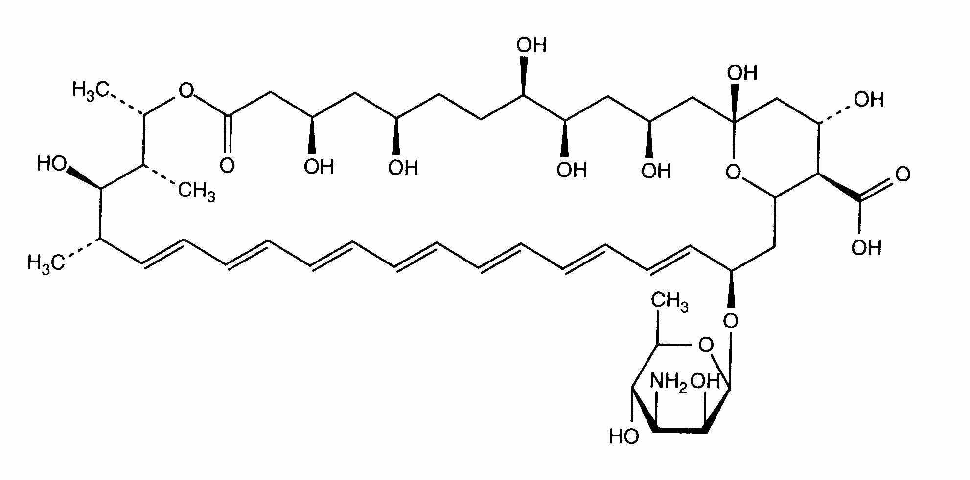
Lipozom   Kimyasal yapı   

Ticari isim   Ticari isim     

Trade names are indicative and excipients composition can be different depending on the country and manufacturers

Ambisome Almanya, Amerika Birleşik Devletleri, Arjantin, Avusturya, Belçika, Birleşik Arap Emirlikleri, Brezilya, Büyük Britanya, Danimarka, Finlandiya, Fransa, Hindistan, Hollanda, İrlanda, İspanya, İsveç, İsviçre, İtalya, İzlanda, Japonya, Kanada, Lüksemburg, Macaristan, Mısır, Norveç, Peru, Polonya, Portekiz, Şili, Suudi Arabistan, Tayland, Türkiye, yeni Zelanda, Yunanistan
Karışımlardaki stabilitesi   Enjeksiyon    Karışımlardaki stabilitesi : Amphotericin B liposomale     
veri yok

  Mentions Légales