Pēdējā atjaunošana :
18/03/2026
Pretsēnīšu līdzeklis   Amphotericin B liposomale  
Injekcija
Acu pilieni
Šķīduma stabilitāte Maisījuma stabilitāte Stabilitāti ietekmējoši faktori Saderība Levadīšanas veids Literatūras saraksts pdf
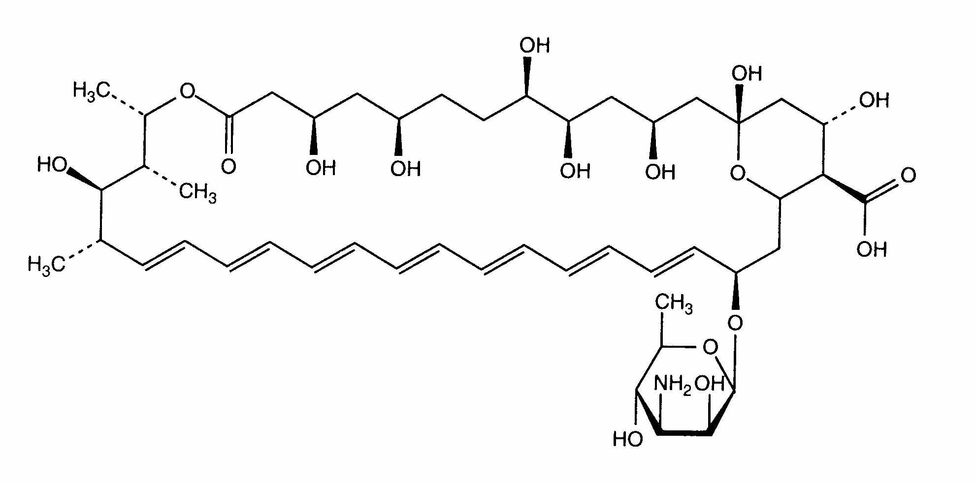
Liposoma   Ķīmiskā uzbūve   

Oriģinālais nosaukums   Oriģinālais nosaukums     

Tirdzniecības nosaukumi ir apzīmējoši un palīgvielas var atšķirties dažādām valstīm un laboratorijām

Ambisome Amerikas Savienotās Valstis, Apvienotie Arābu Emirāti, Argentīna, Austrija, Beļģija, Brazīlija, Čīle, Dānija, Ēģipte, Francija, Grieķija, Holande, Indija, Īrija, Islande, Itālija, Japāna, Jaunzēlande, Kanāda, Lielbritānija, Luksemburga, Norvēģija, Peru, Polija, Portugāle, Saūda Arābija, Somija, Spānija, Šveice, Taizeme, Turcija, Ungārija, Vācija, Zviedrija
Maisījuma stabilitāte   Injekcija   Maisījuma stabilitāte : Amphotericin B liposomale     
Nav datu

  Mentions Légales