آخر تحديث :
18/03/2026
مضاد للفطريات   Amphotericin B liposomale  
حقن
قطرات العين
الاستقرار في حلول استقرار مخاليط العوامل التي تؤثر على الاستقرار التوافق طريقة التعاطي مراجع pdf
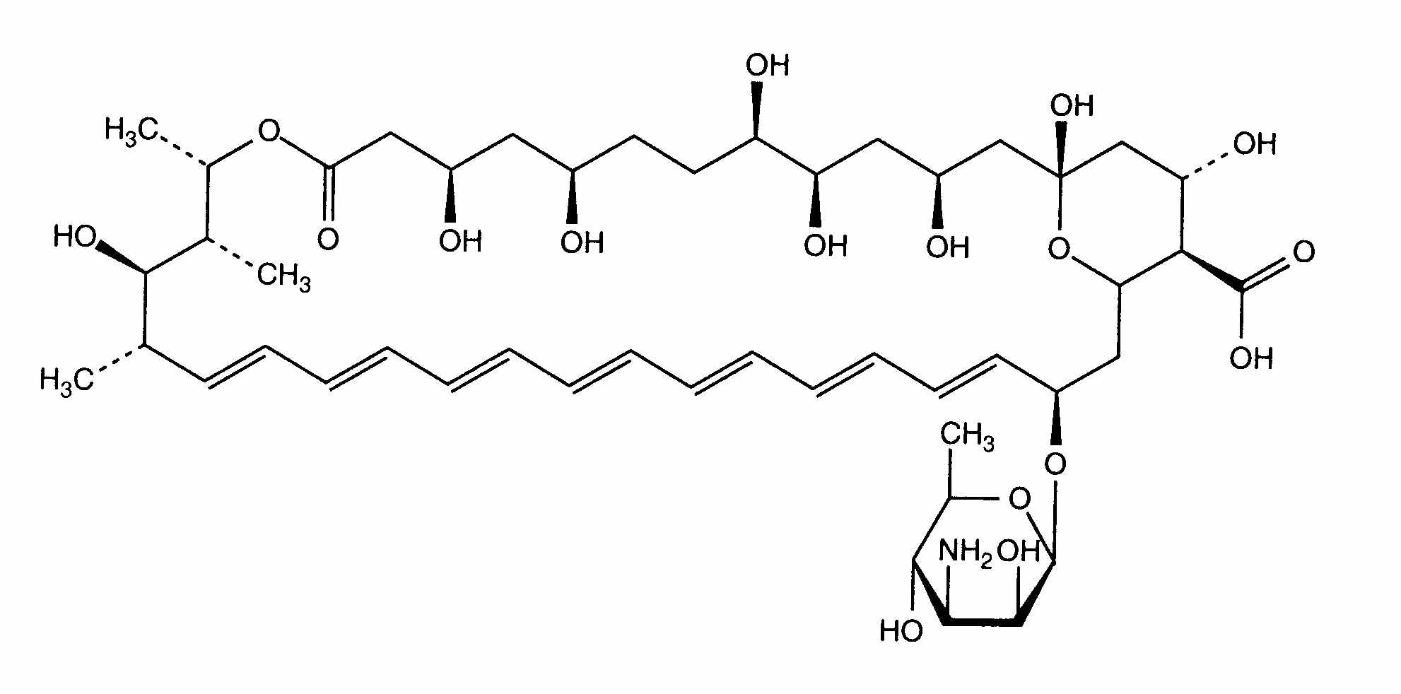
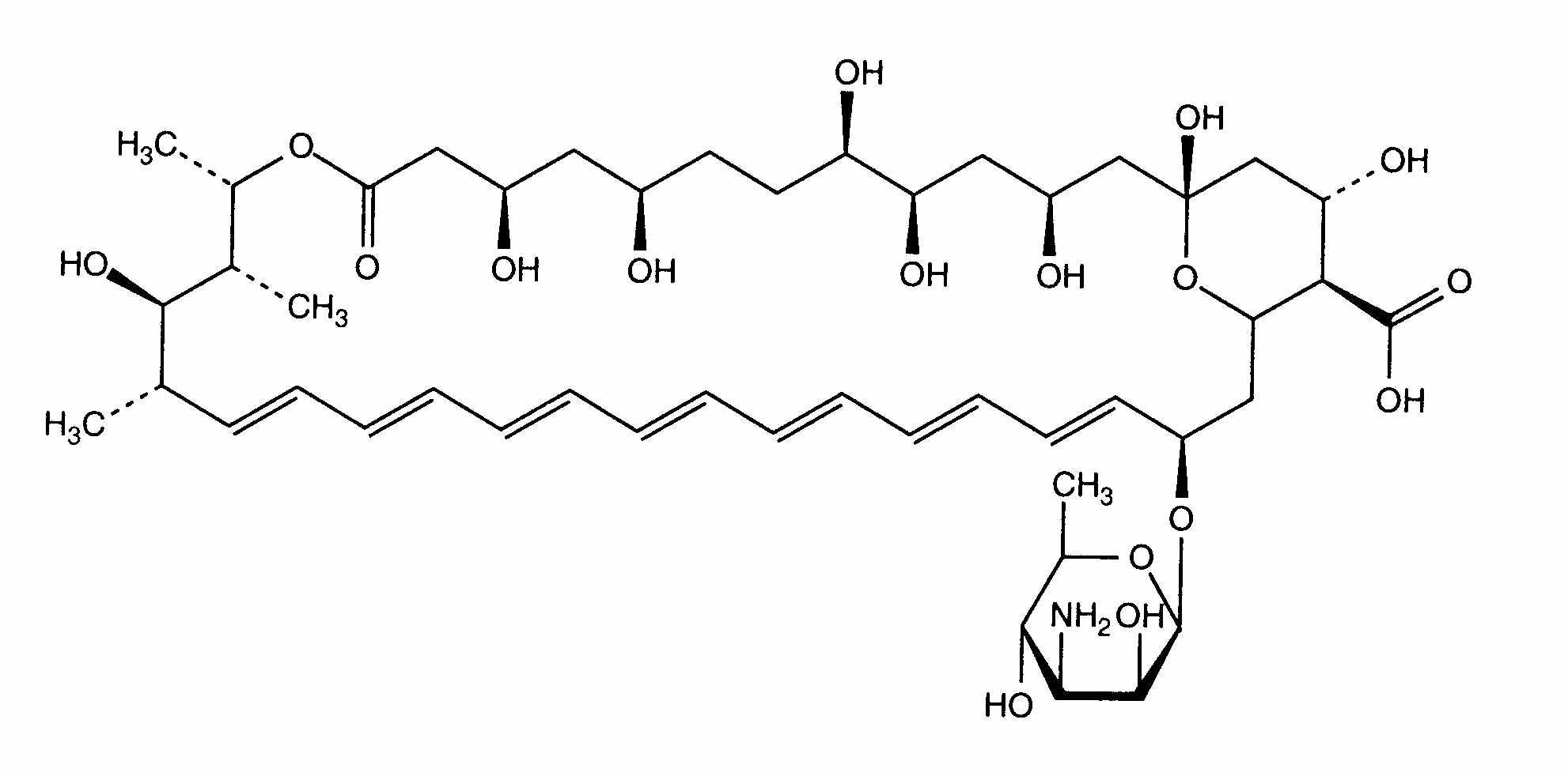
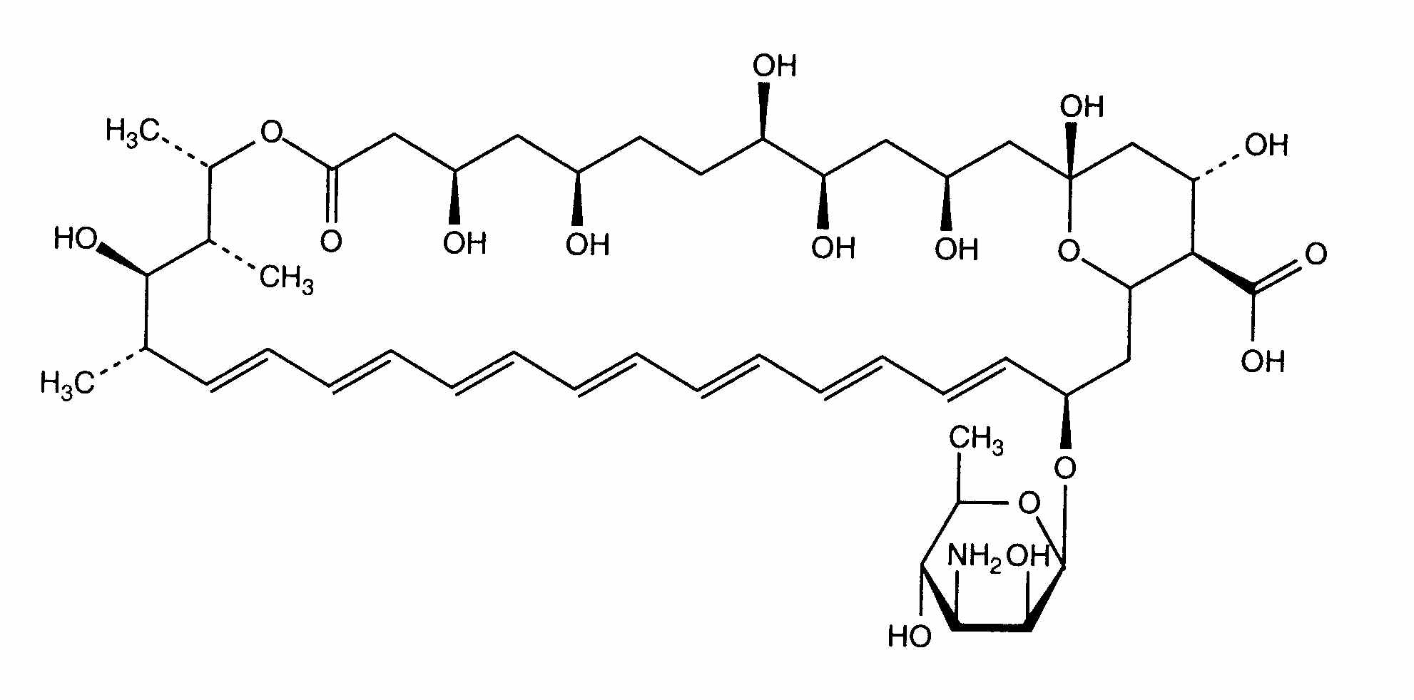
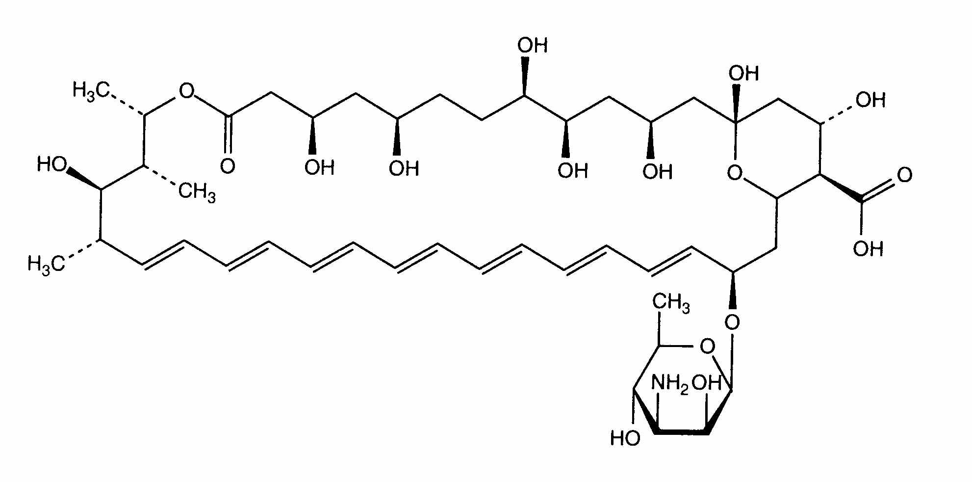
الحويصلية   التركيب الكيميائي  

حجز الاسم التجاري   حجز الاسم التجاري     

تحذير الأسماء التجاريه المختلفه قد تحتوي علي محتوي إضافات مختلفة حسب الدوله و المعمل

Ambisome ألمانيا, أيسلندا, إسبانيا, إيطاليا, الأرجنتين, الإمارات العربية المتحدة, البرازيل, البرتغال, الدنمارك, السويد, العربية السعودية, النرويج, النمسا, الهند, الولايات المتحدة, اليابان, ايرلندا, بريطانيا العظمي, بلجيكا, بولندا, بيرو, تايلاند, تركيا, تشيلي, زيلاندا الجديدة, سويسرا, فرنسا, فنلندا, كندا, لوكسمبورغ, مصر, هنغاريا, هولندا, يونان
استقرار مخاليط   حقن   استقرار مخاليط : Amphotericin B liposomale     
لا توجد بيانات

  Mentions Légales