Viimeisin päivitys :
27/11/2025
Sienilääkkeet   Amphotericin B liposomale  
Injektioneste
Silmätipat
Stabilius liuoksessa Stabilius seoksissa Tekijät, jotka vaikuttavat stabiliuteen Yhteensopivuus Antotapa Viitteet pdf
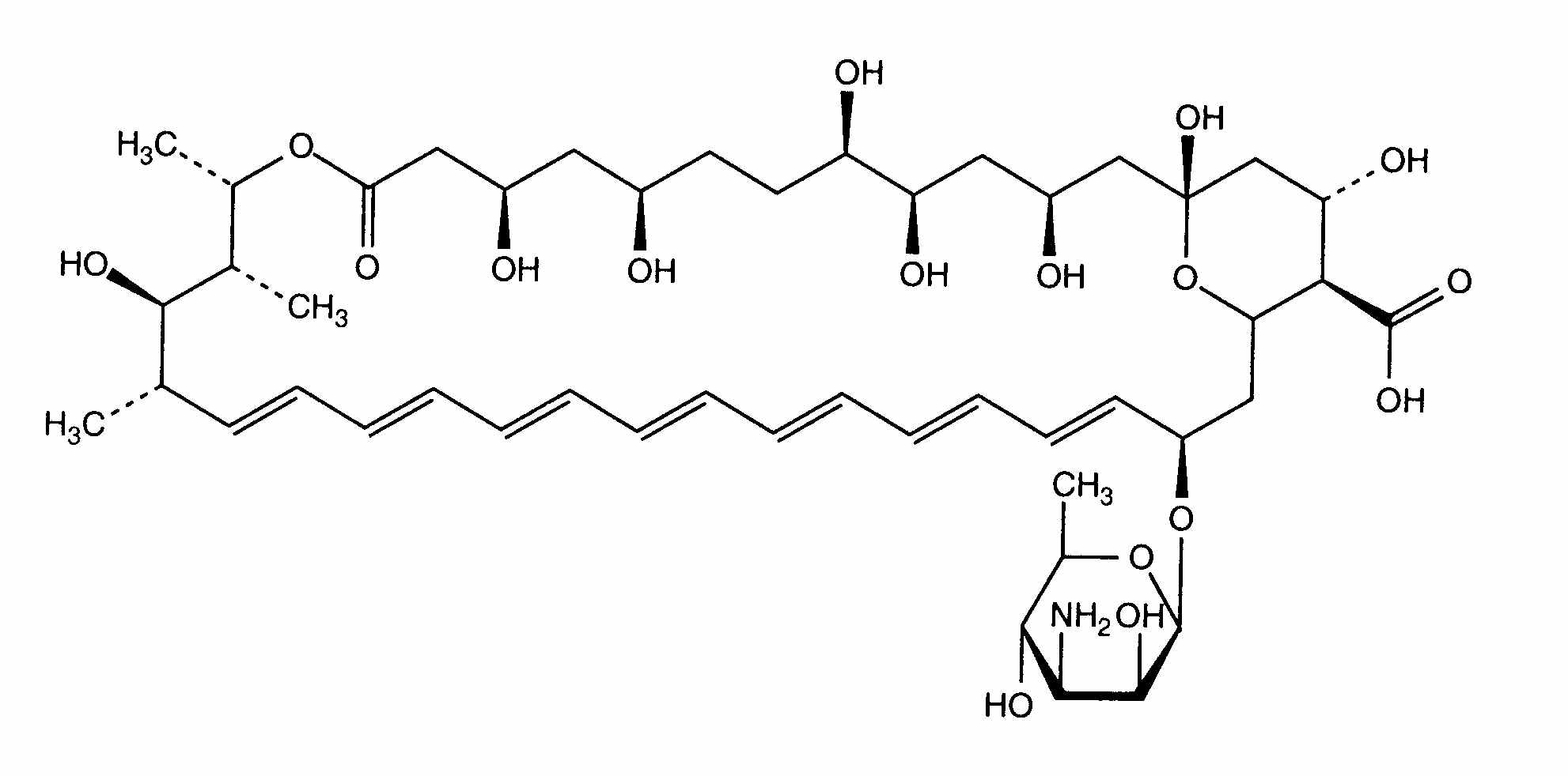
Liposomi   Kemiallinen rakenne  

Kauppanimi   Kauppanimi     

Trade names are indicative and excipients composition can be different depending on the country and manufacturers

Ambisome Argentiina, Belgia, Brasilia, Chile, Egypti, Espanja, Hollanti, Intia, Irlanti, Islanti, Iso-Britannia, Italia, Itävalta, Japani, Kanada, Kreikka, Luxemburg, Marokko, New Zealand, Norja, Portugali, Puola, Ranska, Ruotsi, Saksa, Saudi-Arabia, Suomi, Sveitsi, Tanska, Thaimaa, Turkki, Unkari, Yhdistyneet arabiemiirikunnat, Yhdysvallat
Stabilius seoksissa   Injektioneste   Stabilius seoksissa : Amphotericin B liposomale     
ei tietoa

  Mentions Légales