zadnja posodobitev :
18/03/2026
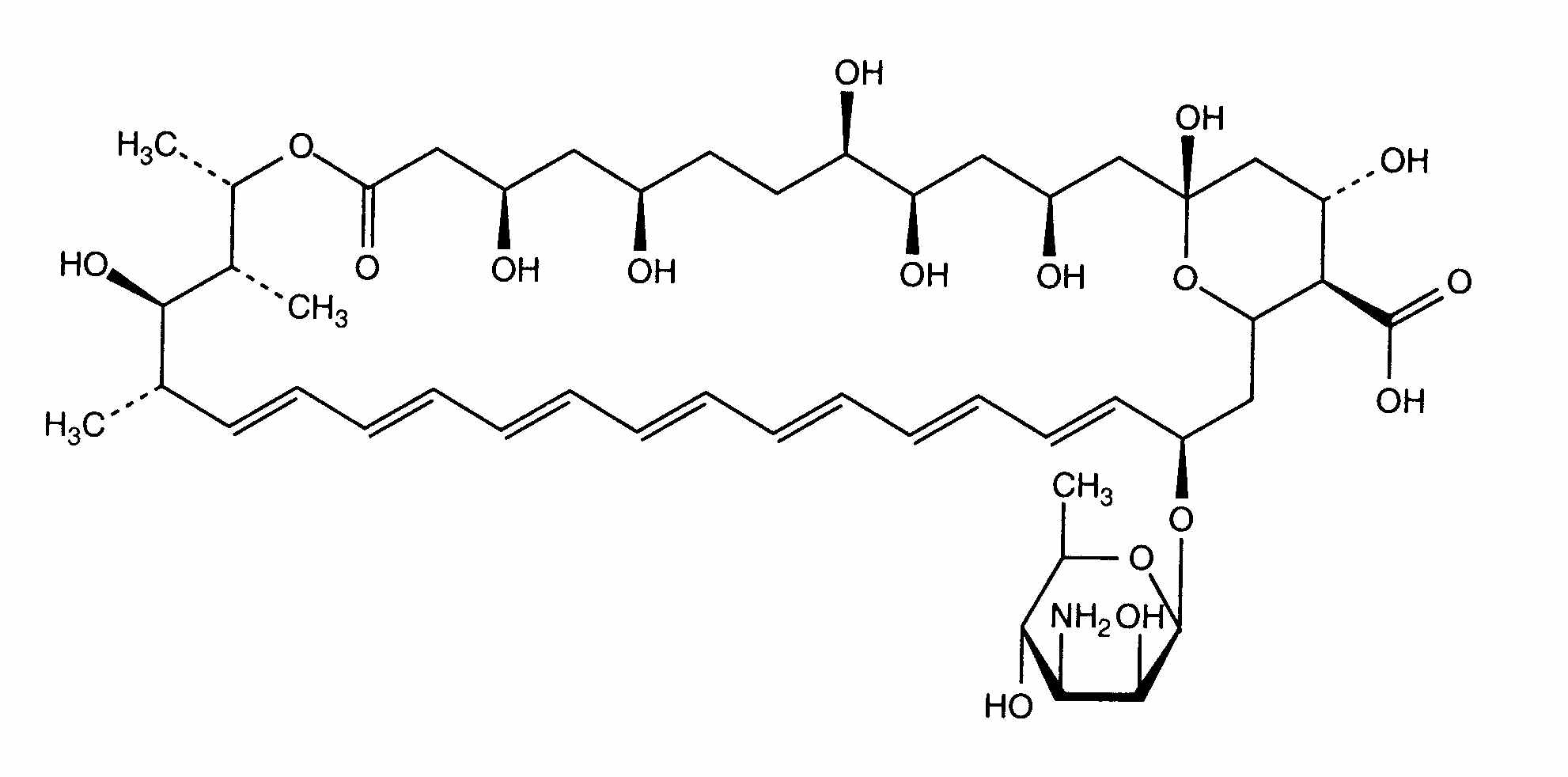
Antimikotik   Amphotericin B liposomale  
Brizgalka
Kapljice za oči
Stabilnost raztopine Stabilnost mešanice Faktorji, ki vplivajo na stabilnost Kompatibilnost način aplikacije Viri pdf
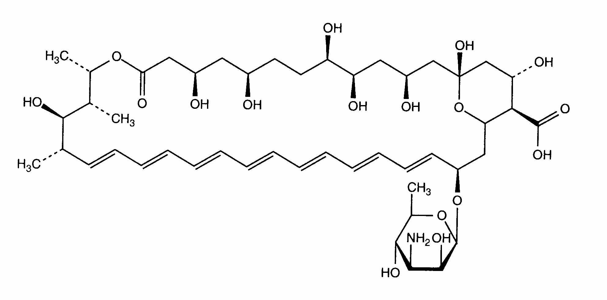
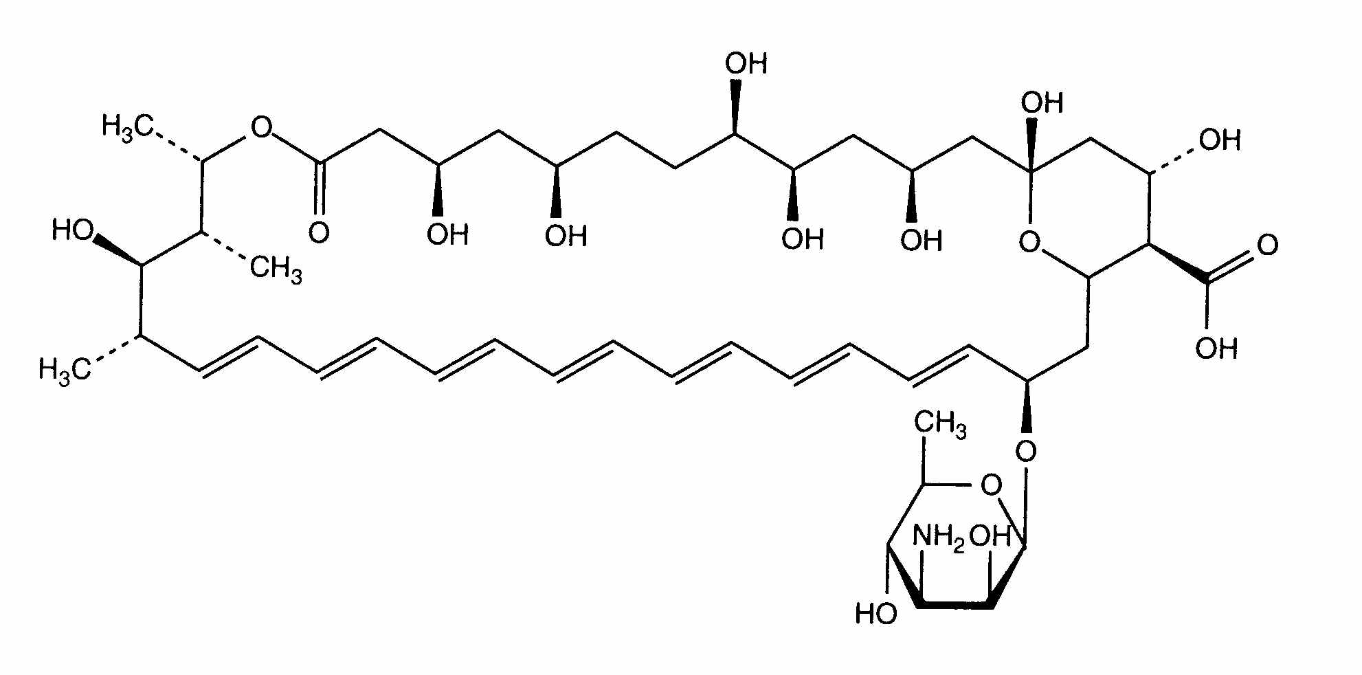
Liposom   Kemična formula  

Lastniško ime   Lastniško ime     

Sestava pomožnih snovi je med paralelami lahko različna

Ambisome Argentina, Avstrija, Belgija, Brazilija, Čile, Danska, Egipt, Finska, Francija, Grčija, Indija, Irska, Islandija, Italija, Japonska, Kanada, Luksemburg, Madžarska, Nemčija, Nizozemska, Norveška, nova Zelandija, Peru, Poljska, Portugalska, Savdska Arabija, Španija, Švedska, Švica, Tajska, Turčija, Velika Britanija, Združene države Amerike, Združeni arabski emirati
Stabilnost mešanice   Brizgalka   Stabilnost mešanice : Amphotericin B liposomale     
ni podatka

  Mentions Légales