Ostatnia aktualizacja :
18/03/2026
Lek przeciwgrzybiczny   Amphotericin B liposomale  
Injekcje
Krople oczne
Trwałość roztworów Trwałość w mieszaninie Czynnik wpływający na trwałość Zgodność Sposób podania Bibliografia pdf
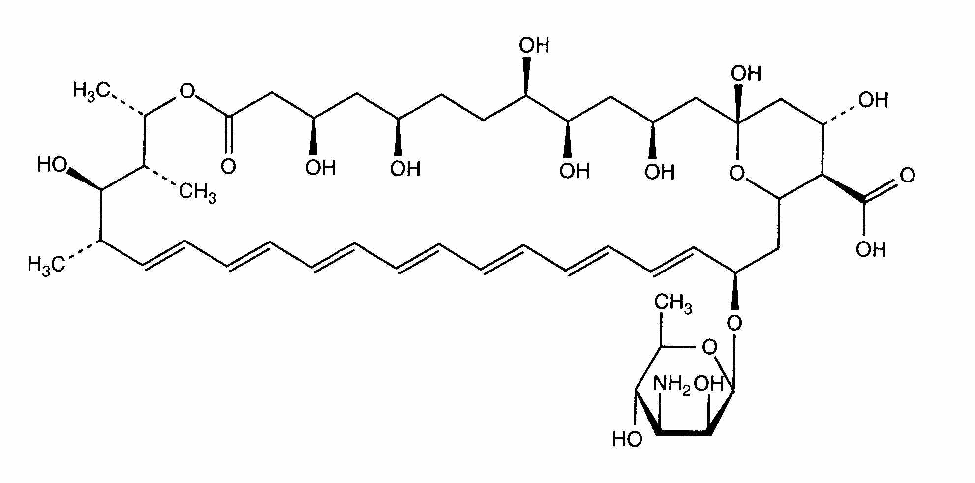
Liposomy   Struktura chemiczna  

Nazwa handlowa   Nazwa handlowa     

Trade names are indicative and excipients composition can be different depending on the country and manufacturers

Ambisome Arabia Saudyjska, Argentyna, Austria, Belgia, Brazylia, Chile, Dania, Egipt, Finlandia, Francja , Grecja, Hiszpania, Holandia, Indie, Irlandia, Islandia, Japonia, Kanada, Luksemburg, Niemcy, Norwegia, nowa Zelandia, Peru, Polska, Portugalia, Stany Zjednoczone Ameryki, Szwajcaria, Szwecja, Tajlandia, Turcja, Węgry, Wielka Brytania, Włochy, Zjednoczone Emiraty Arabskie
Trwałość w mieszaninie   Injekcje   Trwałość w mieszaninie : Amphotericin B liposomale     
Brak danych

  Mentions Légales