viimane versioon :
18/03/2026
Seenevastane ravim   Amphotericin B liposomale  
Süsteravim
Silmatilgad
Stabiilsus lahustes Stabiilsust mõjutavad tegurid stabiilsust mõjutavad faktorid Sobimatus Manustamis viis Viited pdf
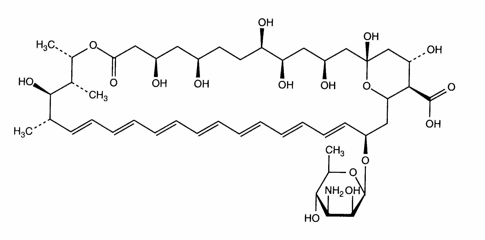
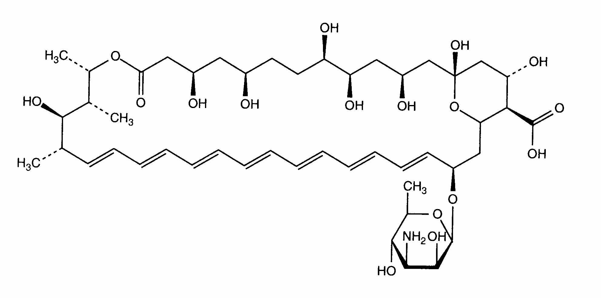
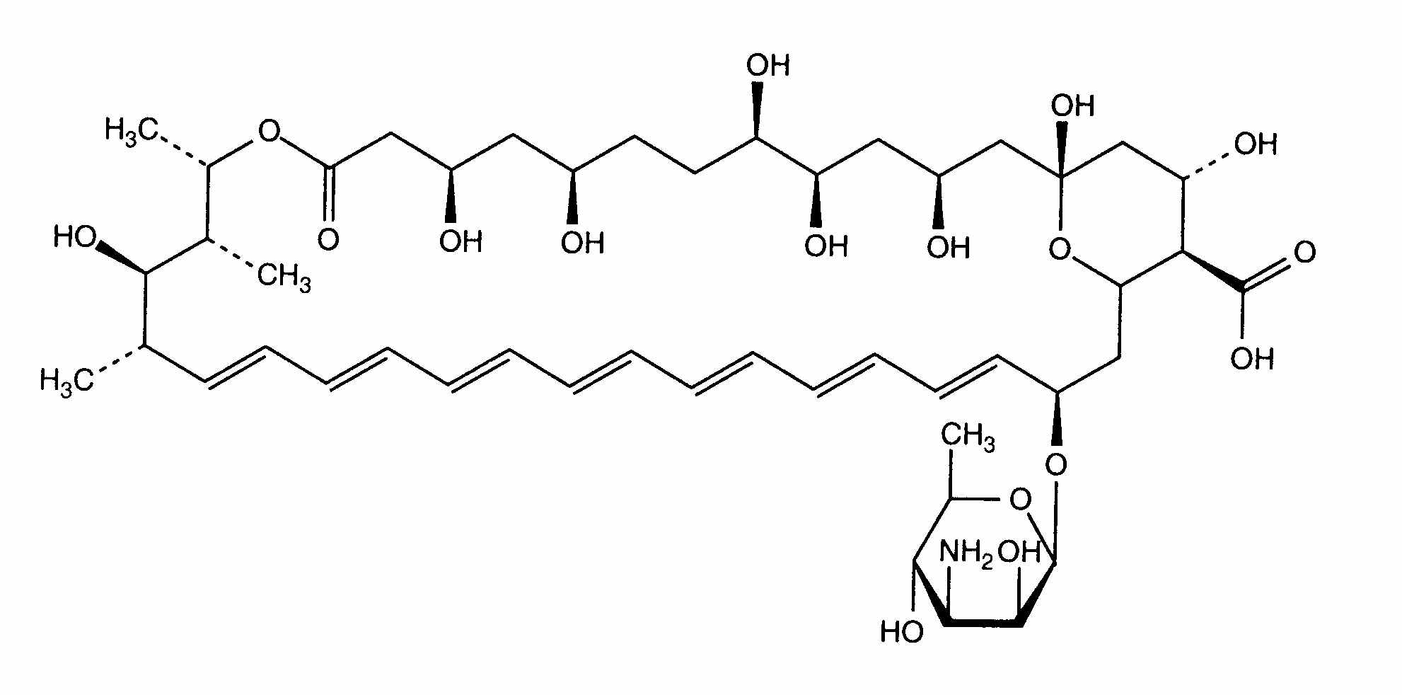
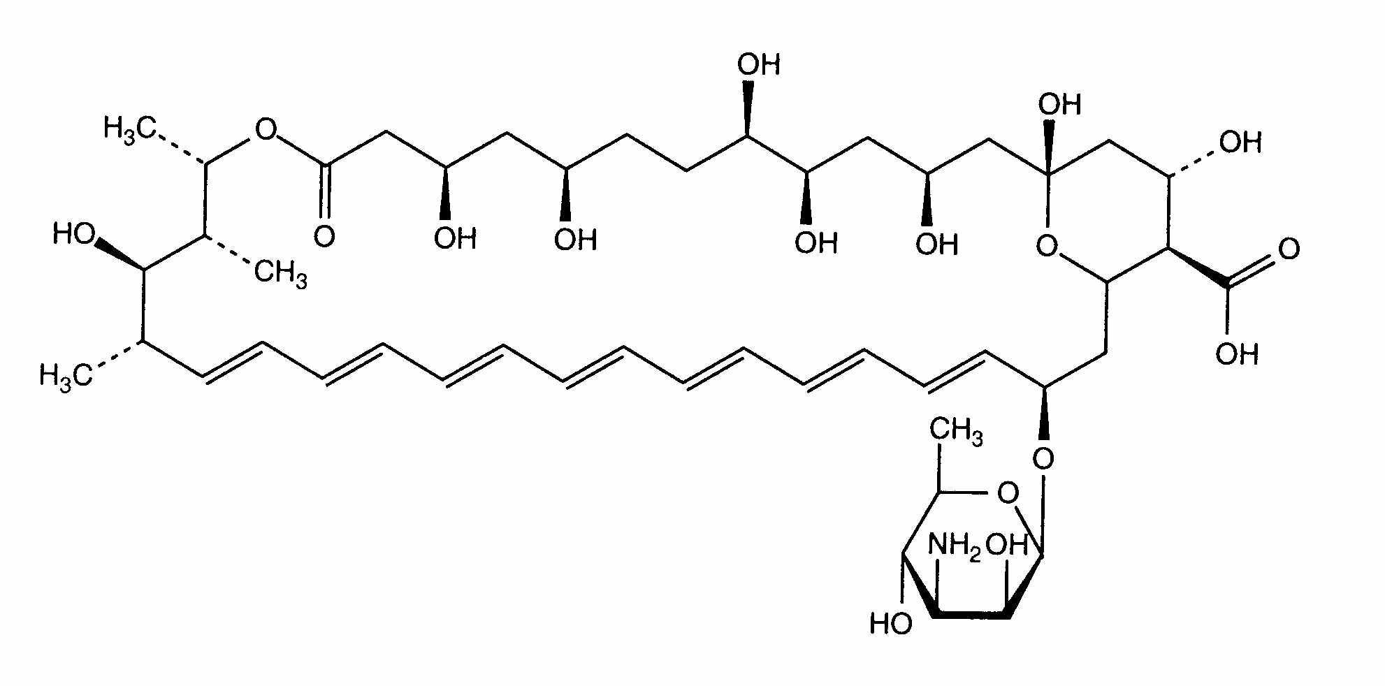
liposoom   keemiline struktuur  

Kaubanduslikud nimed erinevates maades   Kaubanduslikud nimed erinevates maades     

Preparaatide nimed on näitlikud ja abianete sisaldus võib erineda sõltuvalt riigist ja laborist

Ambisome Ameerika ühendriigid, Araabia Ühendemiraadid, Argentiina, Austria, Belgia, Brasiilia, Egiptus, Hispaania, Holland, Iirimaa, India, Island, Itaalia, Jaapan, Kanada, Kreeka, Luksemburg, Maroko, Norra, Poola, Portugal, Prantsusmaa, Rootsi, Saksamaa, Saudi Araabia, Soome, Suurbritannia, Sveits, Taani, Tai, Tšiili, Türgi, Ungari, uus-Meremaa
Stabiilsust mõjutavad tegurid   Süsteravim   Stabiilsust mõjutavad tegurid : Amphotericin B liposomale     
andmed puuduvad

  Mentions Légales