Останнє оновлення :
18/03/2026
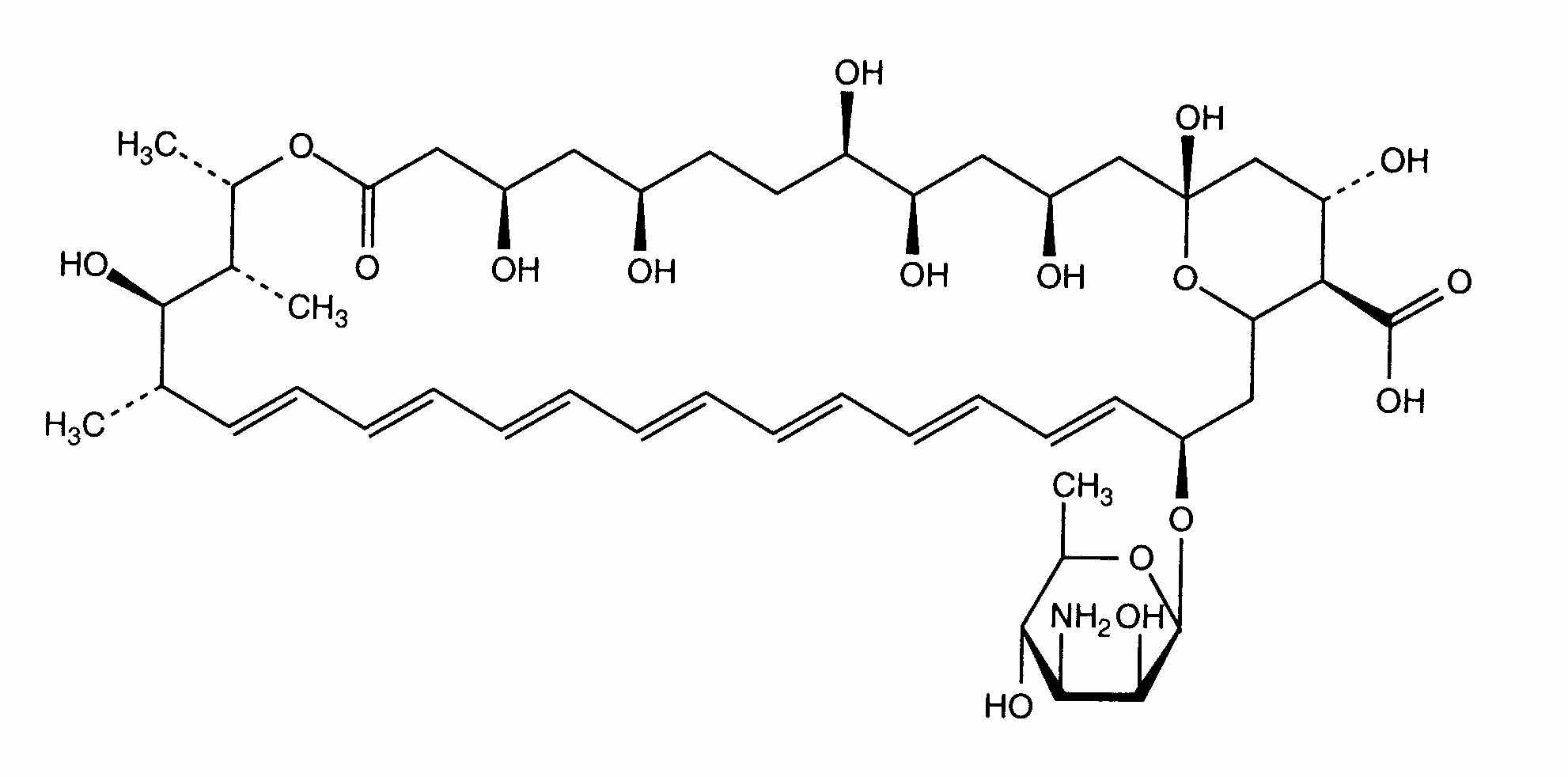
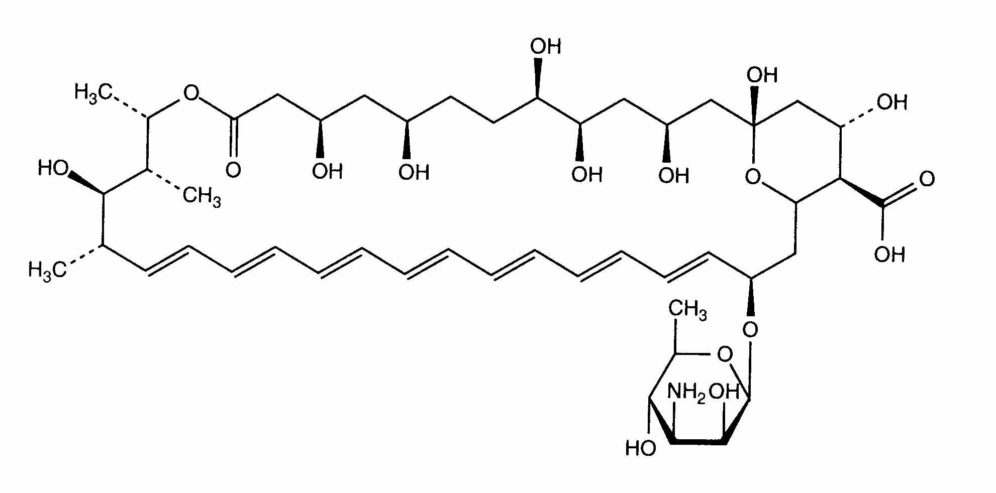
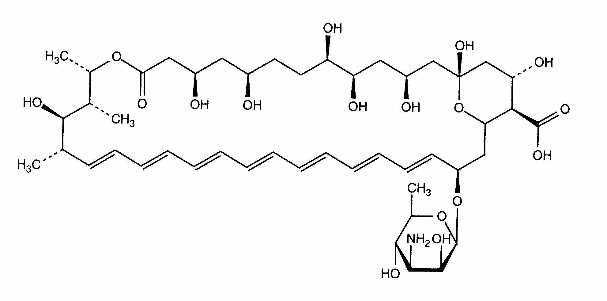
Протигрибковий   Amphotericin B liposomale  
ін'єкція
Очні краплі
Стійкість в розчинах Стійкість сумішей Фактори, що впливають на стабільність Сумісність Шлях введення Список літератури pdf
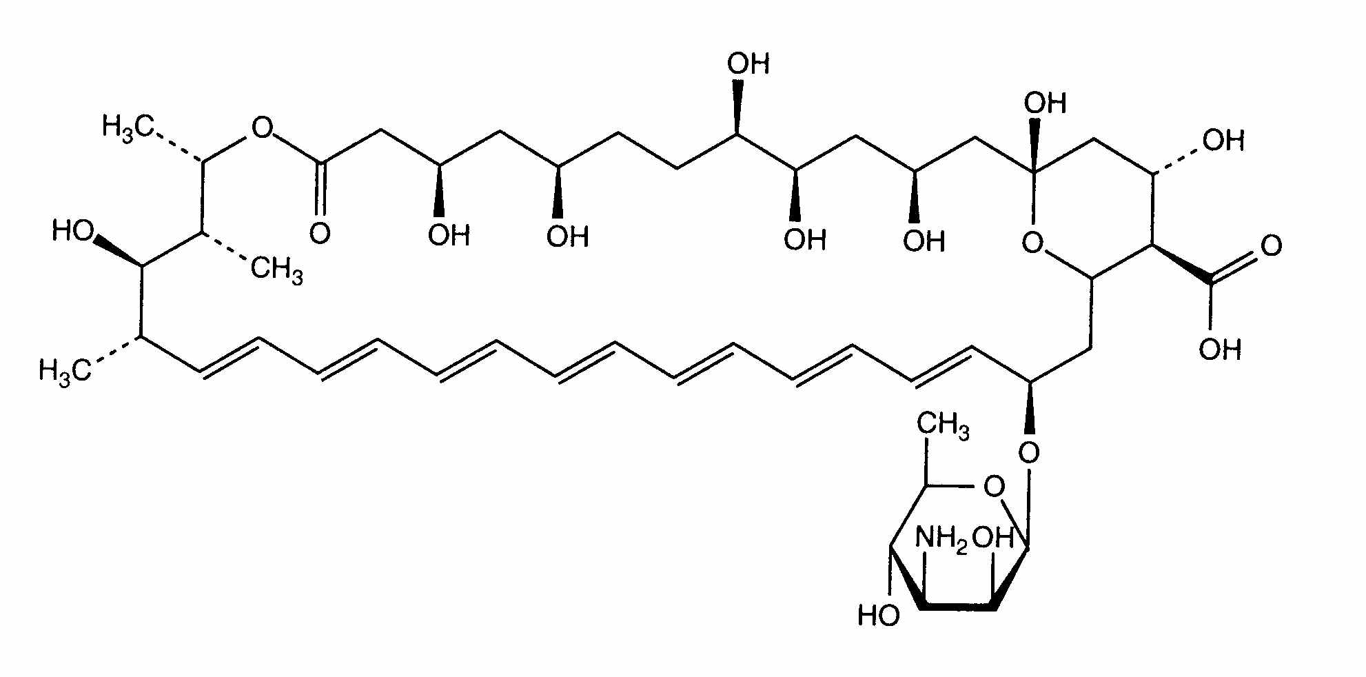
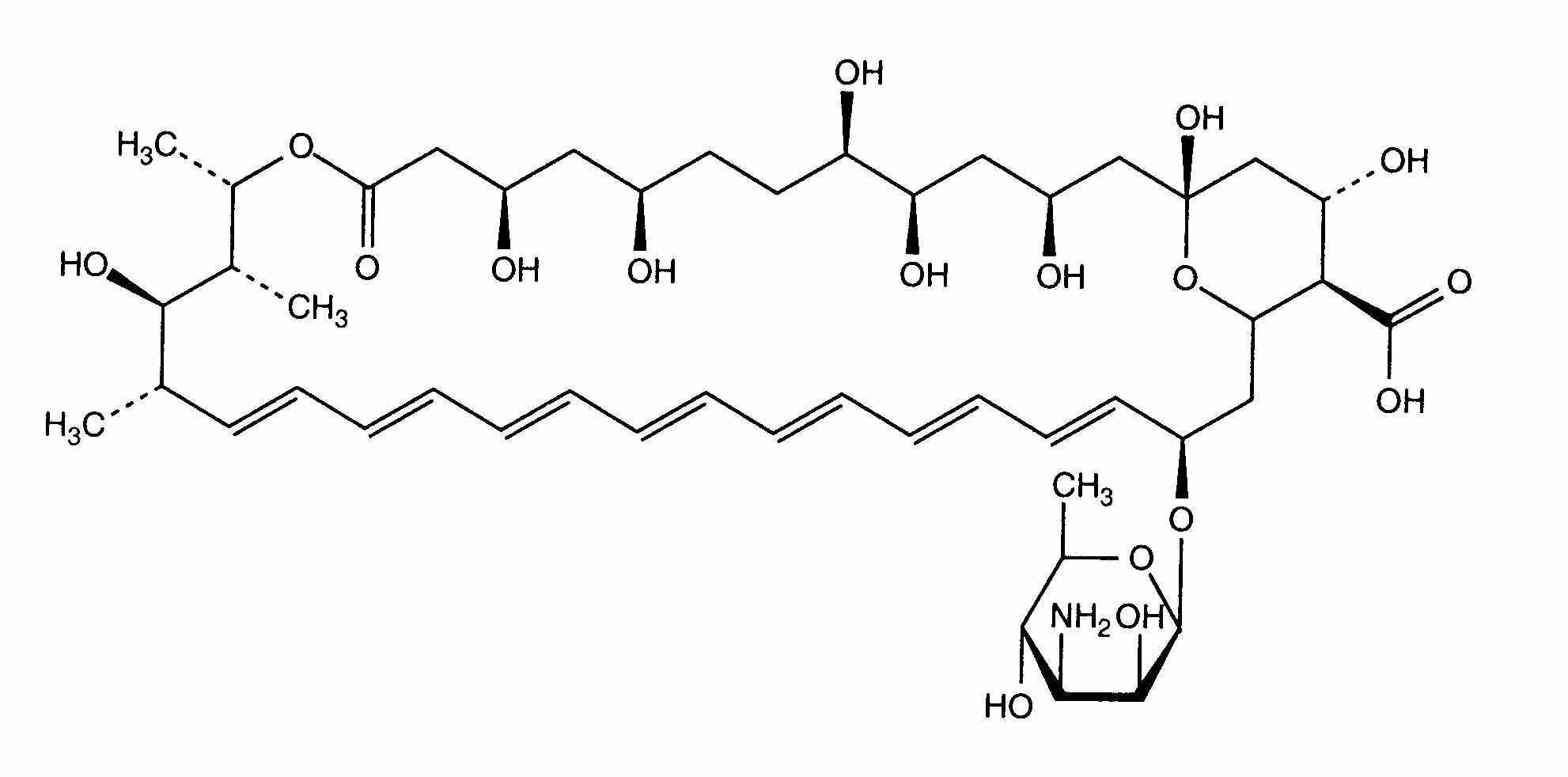
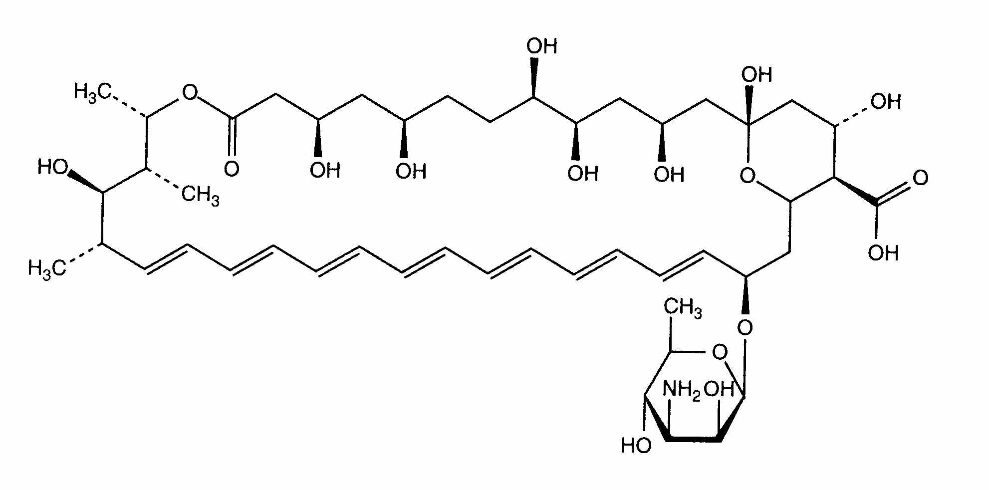
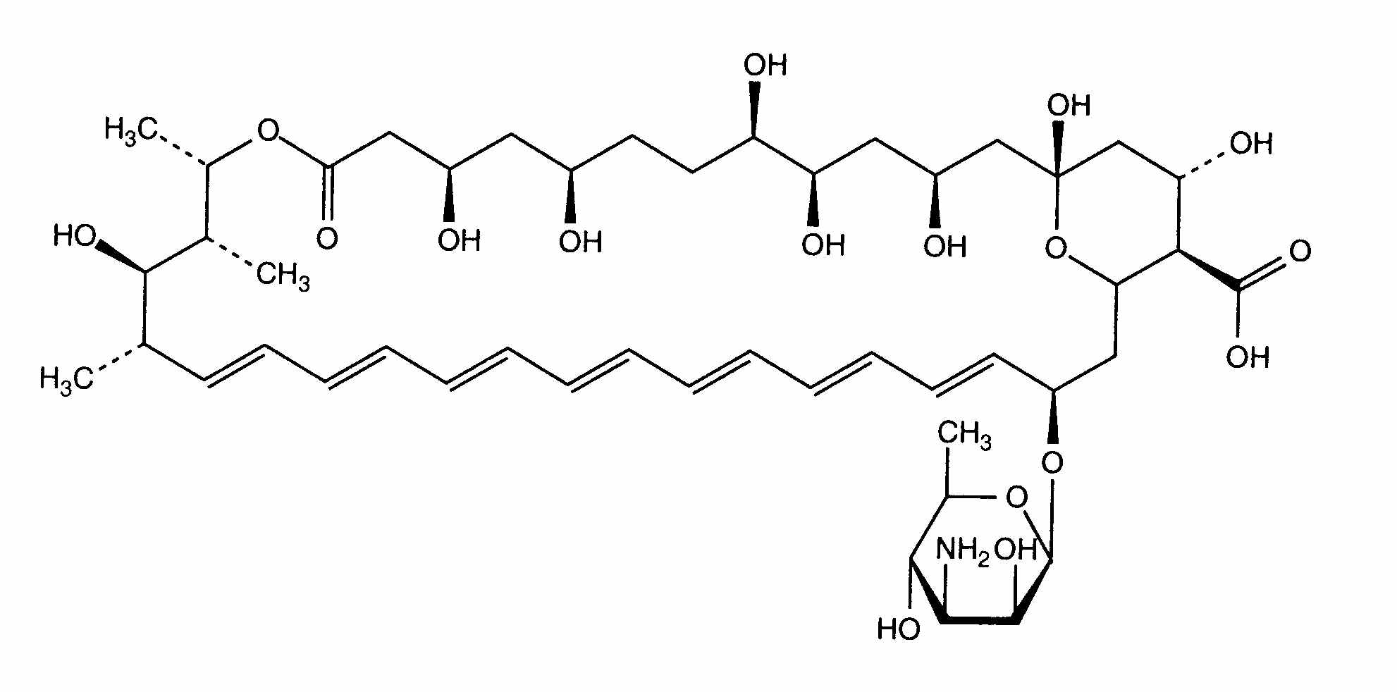
Ліпосома   Хімічна структура  

Торгова назва   Торгова назва     

Торгові назви є орієнтовними, а склад допоміжних речовин може бути різним залежно від країни та виробника

Ambisome Єгипет, Індія, Ірландія, Ісландія, Іспанія, Італія, Австрія, Аргентина, Бельгія, Бразилія, Великобританія, Греція, Данія, Канада, Люксембург, Нідерланди, Німеччина, Нова Зеландія, Норвегія, Об'єднані Арабські Емірати, Перу, Польща, Португалія, Саудівська Аравія, Сполучені Штати Америки, Таїланд, Туреччина, Угорщина, Фінляндія, Франція, Чилі, Швейцарія, Швеція, Японія
Шлях введення   Шлях введення :Amphotericin B liposomale     
Маршрут
Внутрішньовенне вливання

  Mentions Légales