最新更新 :
18/03/2026
抗真菌薬   Amphotericin B liposomale  
注射薬
点眼薬
溶媒内の安定性 混合時の安定性 安定性に影響する因子 互換性 投与経路 引用文献 PDF
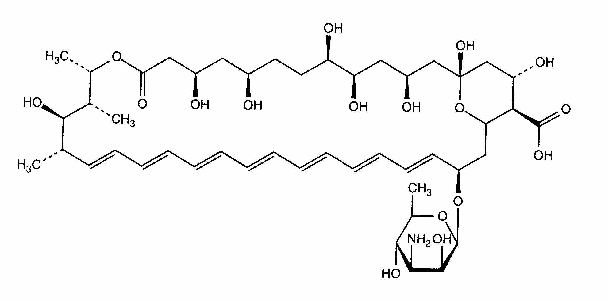
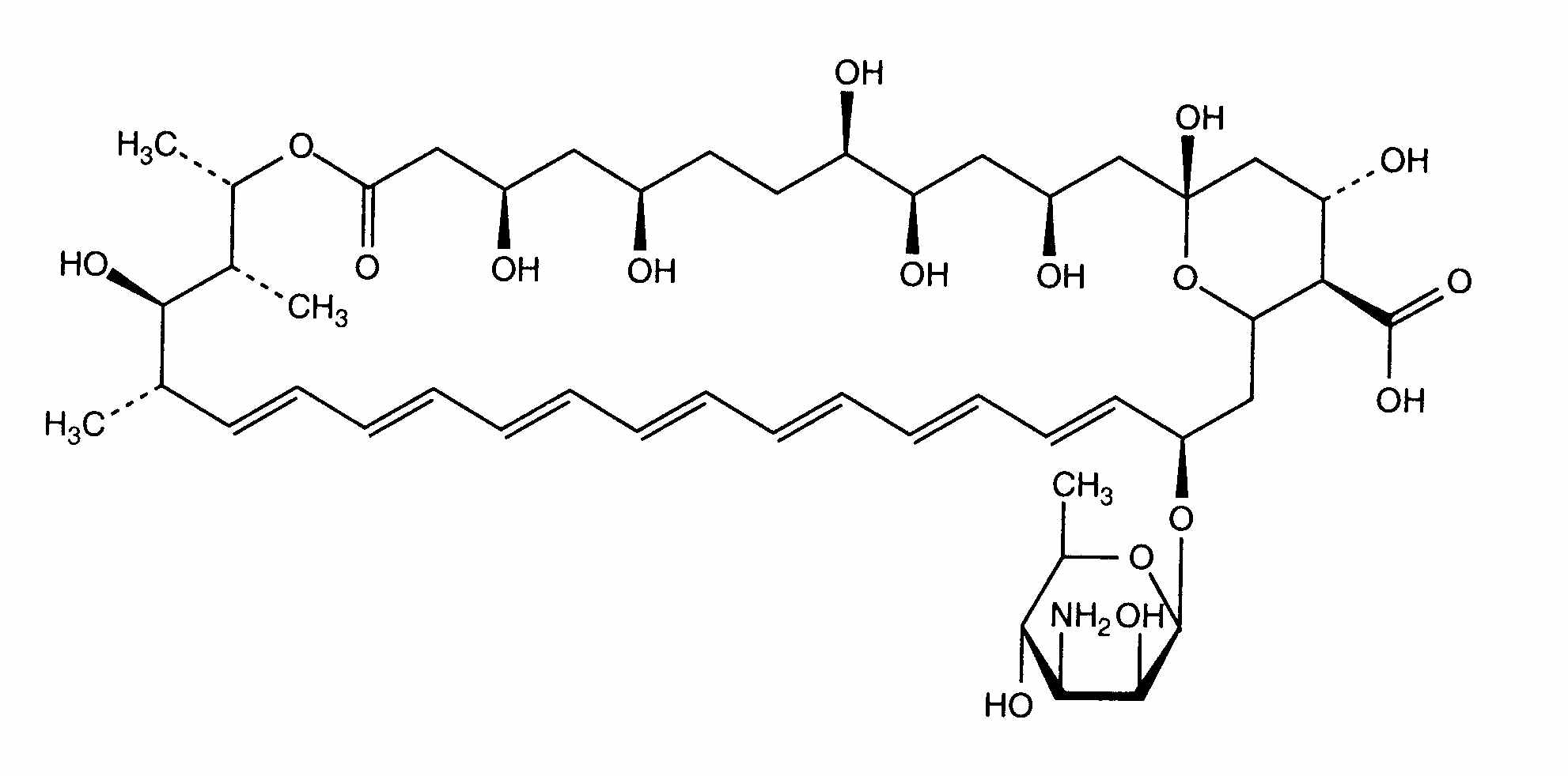
リポソーム   化学構造  

商品名   商品名     

商品名、賦形剤は国、製薬会社ごとに異なることがあります

Ambisome アイスランド, アイルランド, アメリカ, アラブ首長国連邦, アルゼンチン, イギリス, イタリア, インド, エジプト, オランダ, オーストリア, カナダ, ギリシア, サウジアラビア, スイス, スウェーデン, スペイン, タイ, チリ, デンマーク, トルコ, ドイツ, ニュージーランド, ノルウェー, ハンガリー, フィンランド, フランス, ブラジル, ベルギー, ペルー, ポルトガル, ポーランド, ルクセンブルグ, 日本
投与経路   投与経路 :Amphotericin B liposomale     
経路
点滴静注

  Mentions Légales