Poslední aktualizace :
18/03/2026
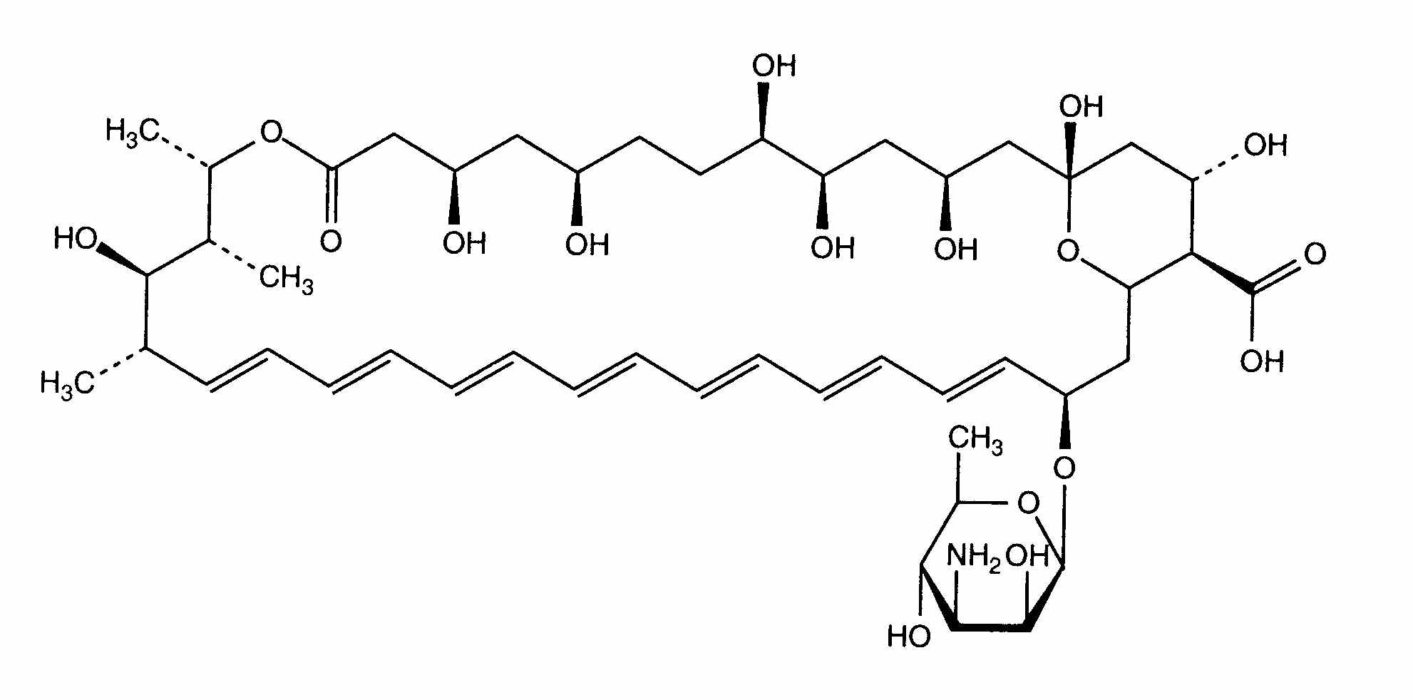
Priešgrybelinis vaistas   Amphotericin B liposomale  
Įpurškimas
Akių lašai
Tirpalų stabilumas Mišinių stabilumas Stabilumą lemiantys veiksniai Suderinamumas Leidimo būdai Bibliografija pdf
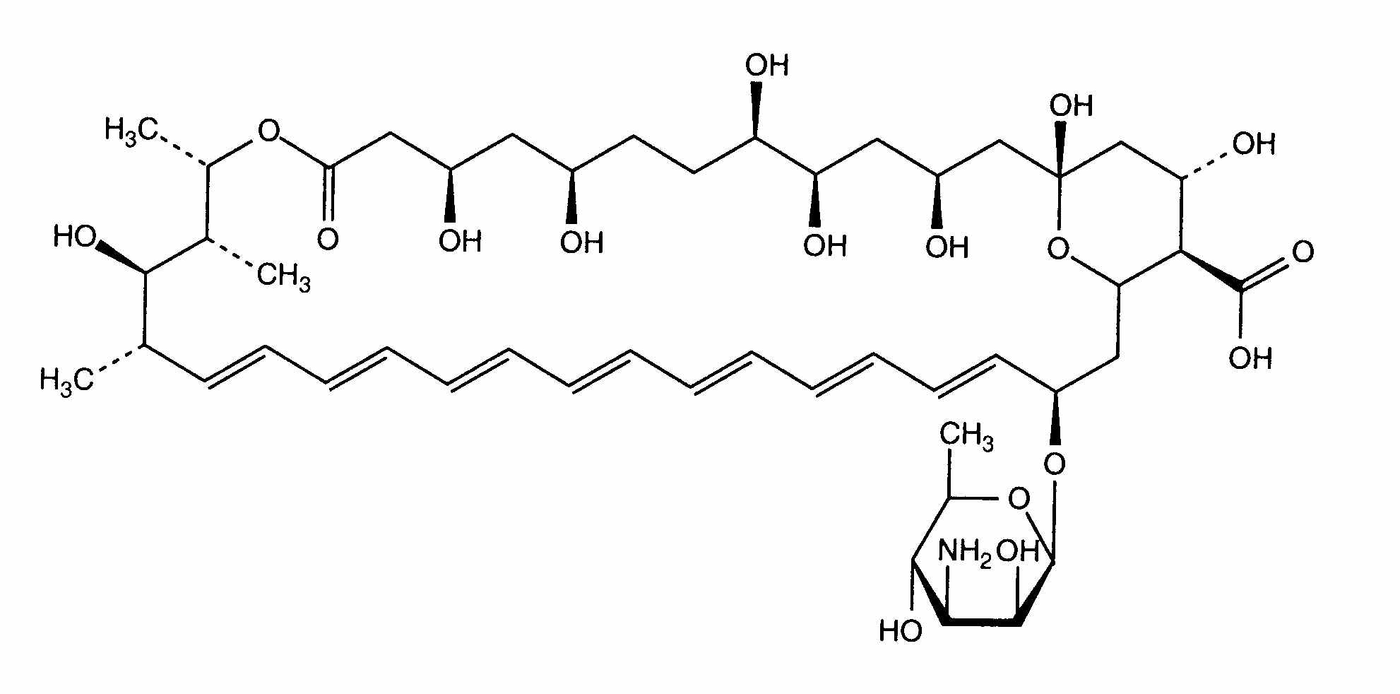
Liposoma   Cheminė sandara  

Prekinis pavadinimas   Prekinis pavadinimas     

Trade names are indicative and excipients composition can be different depending on the country and manufacturers

Ambisome Airija, Argentina, Austrija, Belgija, Brazilija, Čilė, Danija, Didžioji Britanija, Egiptas, Graikija, Indija, Islandija, Ispanija, Italija, Japonija, Jungtinės Amerikos Valstijos, Jungtiniai Arabų Emyratai, Kanada, Lenkija, Liuksemburgas, Naujojoje Zelandijoje, Norvegija, Olandija, Peru, Portugalija, Prancūzija, Saudo Arabija, Suomija, Švedija, Šveicarija, Tailandas, Turkija, Vengrija, Vokietija
Leidimo būdai   Leidimo būdai :Amphotericin B liposomale     
Voie
Intraveninė infuzija

  Mentions Légales