Son güncelleme :
18/03/2026
Antifungal   Amphotericin B liposomale  
Enjeksiyon
Göz damlası
Çözeltilerin stabilitesi Karışımlardaki stabilitesi Stabiliteyi etkileyen faktörler Uyumluluk Uygulama yöntemi Kaynaklar pdf
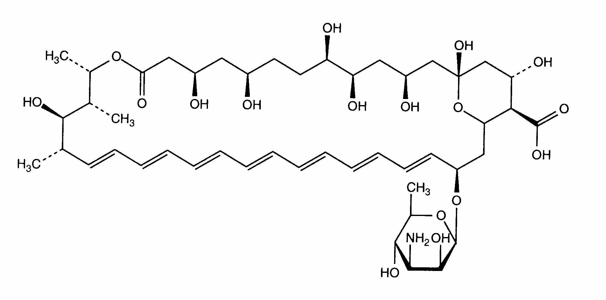
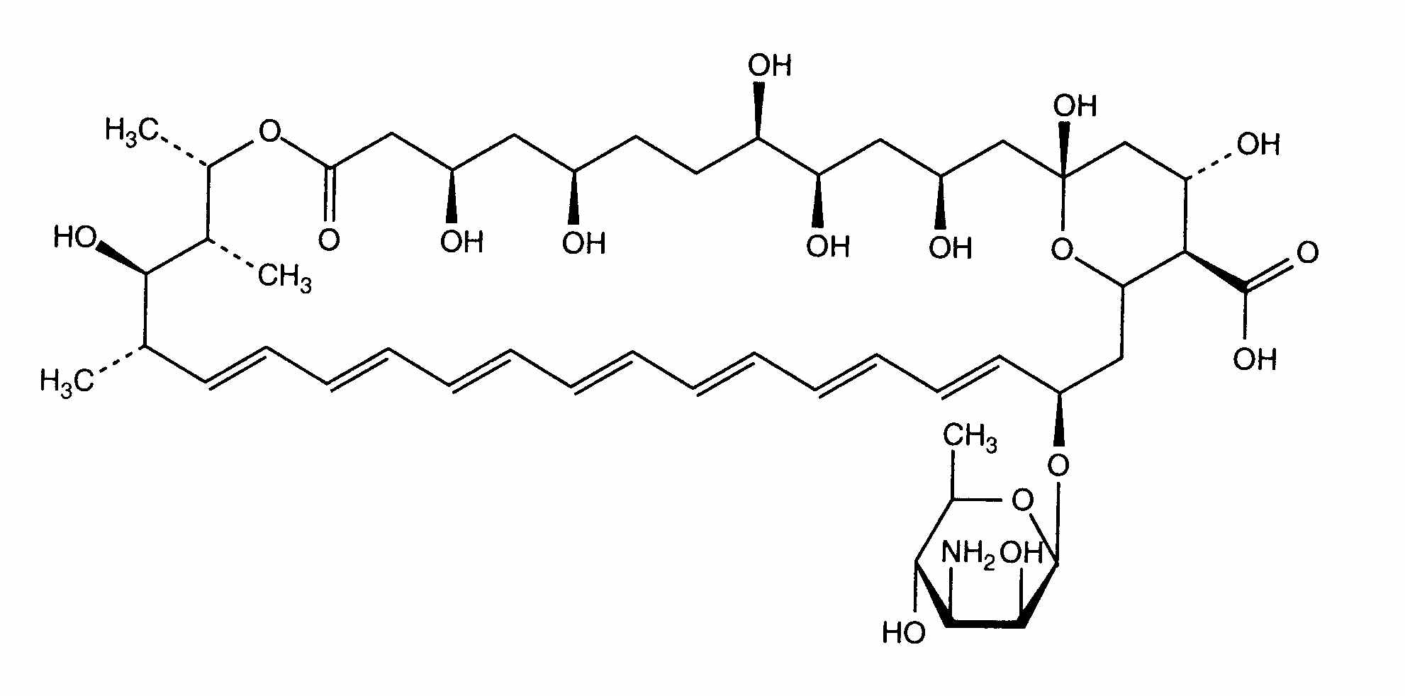
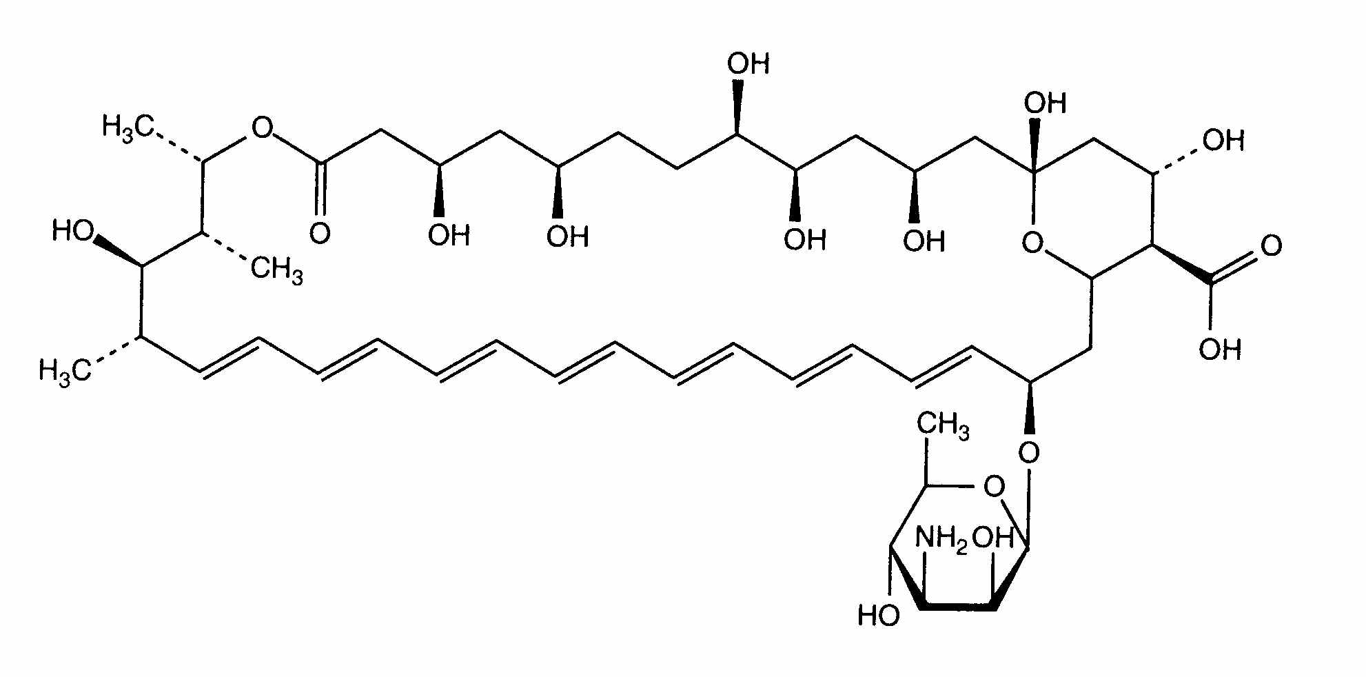
Lipozom   Kimyasal yapı   

Ticari isim   Ticari isim     

Trade names are indicative and excipients composition can be different depending on the country and manufacturers

Ambisome Almanya, Amerika Birleşik Devletleri, Arjantin, Avusturya, Belçika, Birleşik Arap Emirlikleri, Brezilya, Büyük Britanya, Danimarka, Finlandiya, Fransa, Hindistan, Hollanda, İrlanda, İspanya, İsveç, İsviçre, İtalya, İzlanda, Japonya, Kanada, Lüksemburg, Macaristan, Mısır, Norveç, Peru, Polonya, Portekiz, Şili, Suudi Arabistan, Tayland, Türkiye, yeni Zelanda, Yunanistan
Uygulama yöntemi   Uygulama yöntemi :Amphotericin B liposomale     
Voie
İntravenöz infüzyon

  Mentions Légales