Последнее обновление :
18/03/2026
Противогрибковое средство   Amphotericin B liposomale  
Инъекция
Глазные капли
Стабильность растворов Стабильность смесей Факторы, которые влияют на стабильность Совместимость Способы введения Библиография pdf
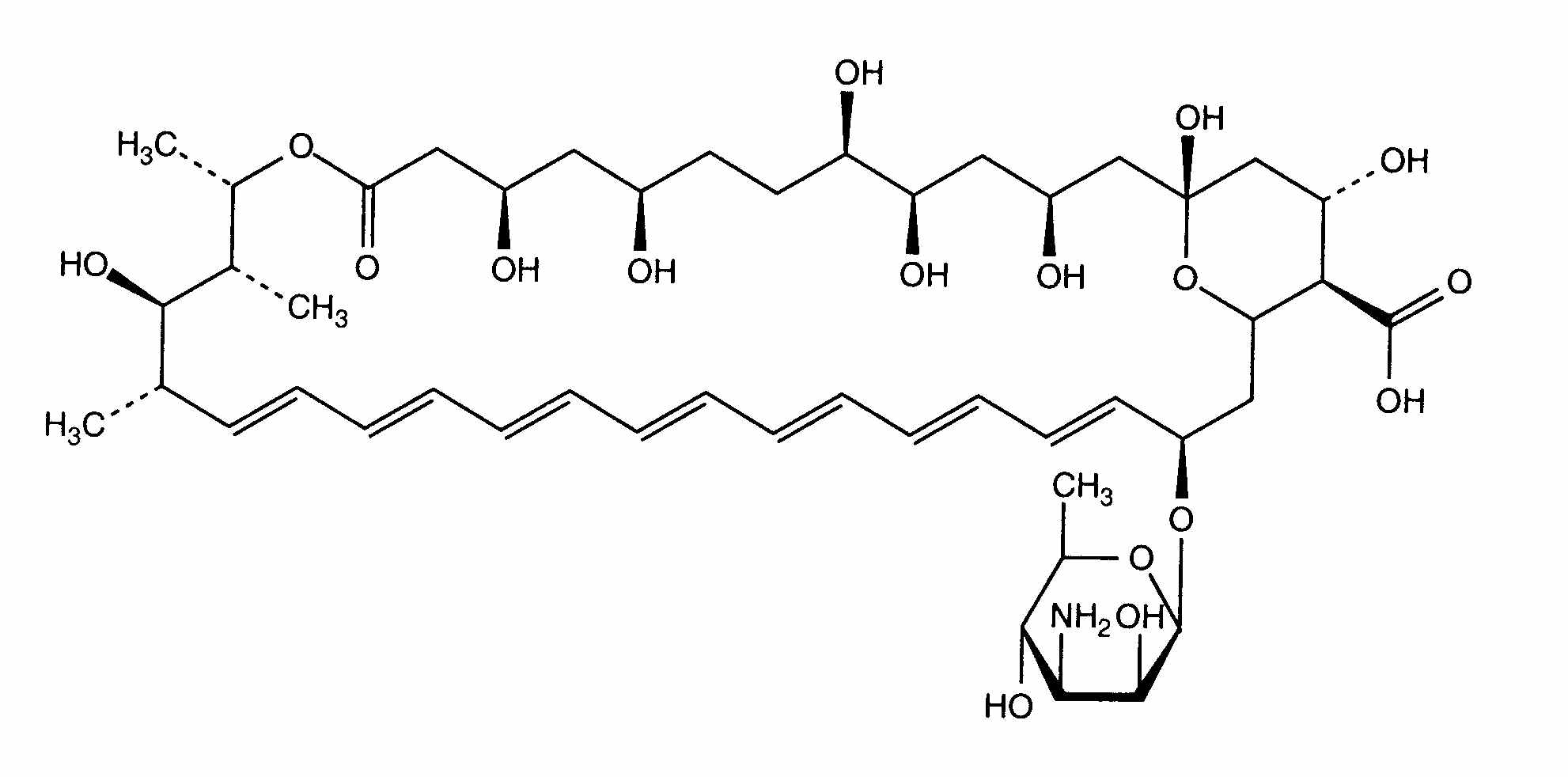
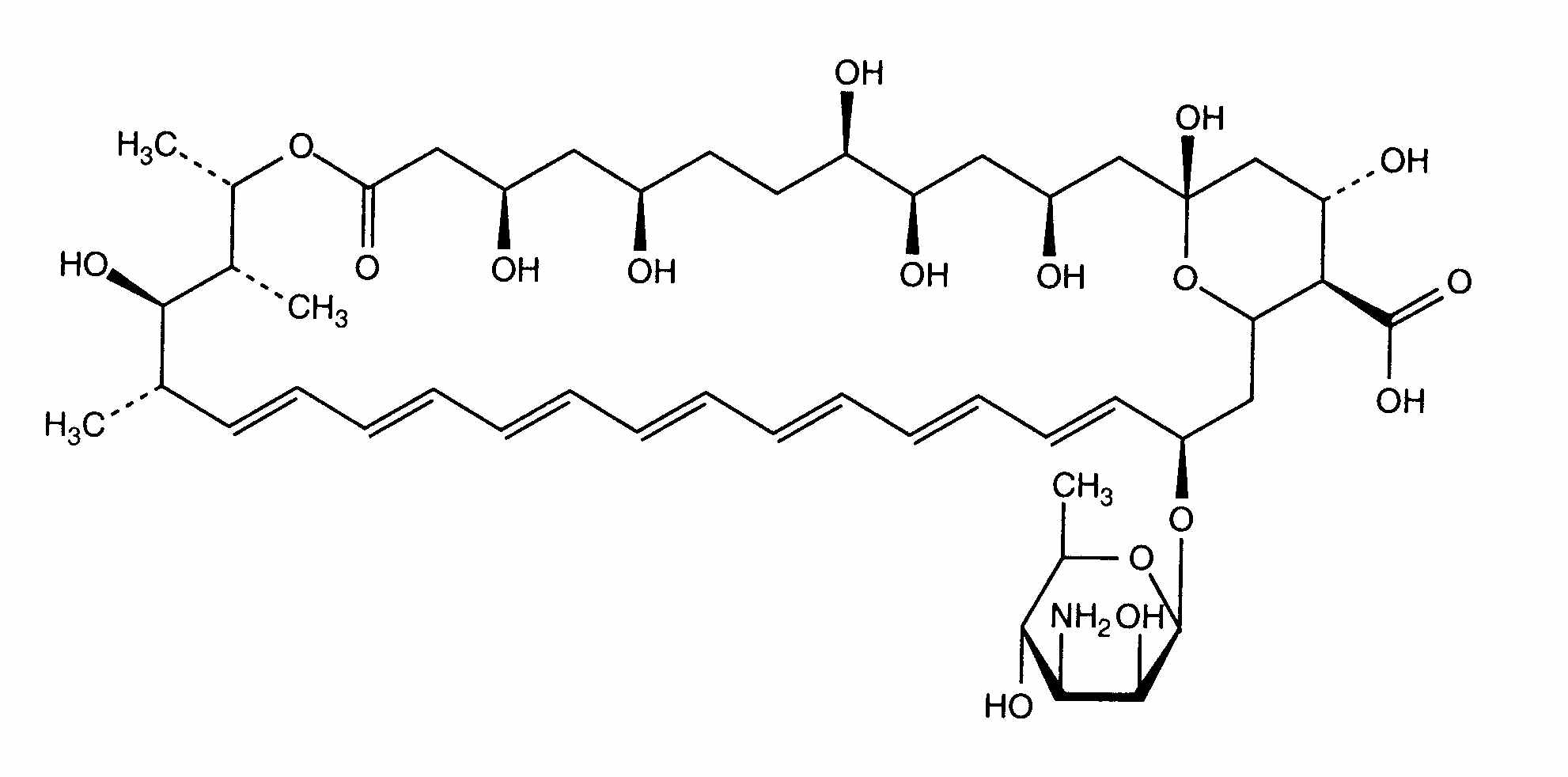
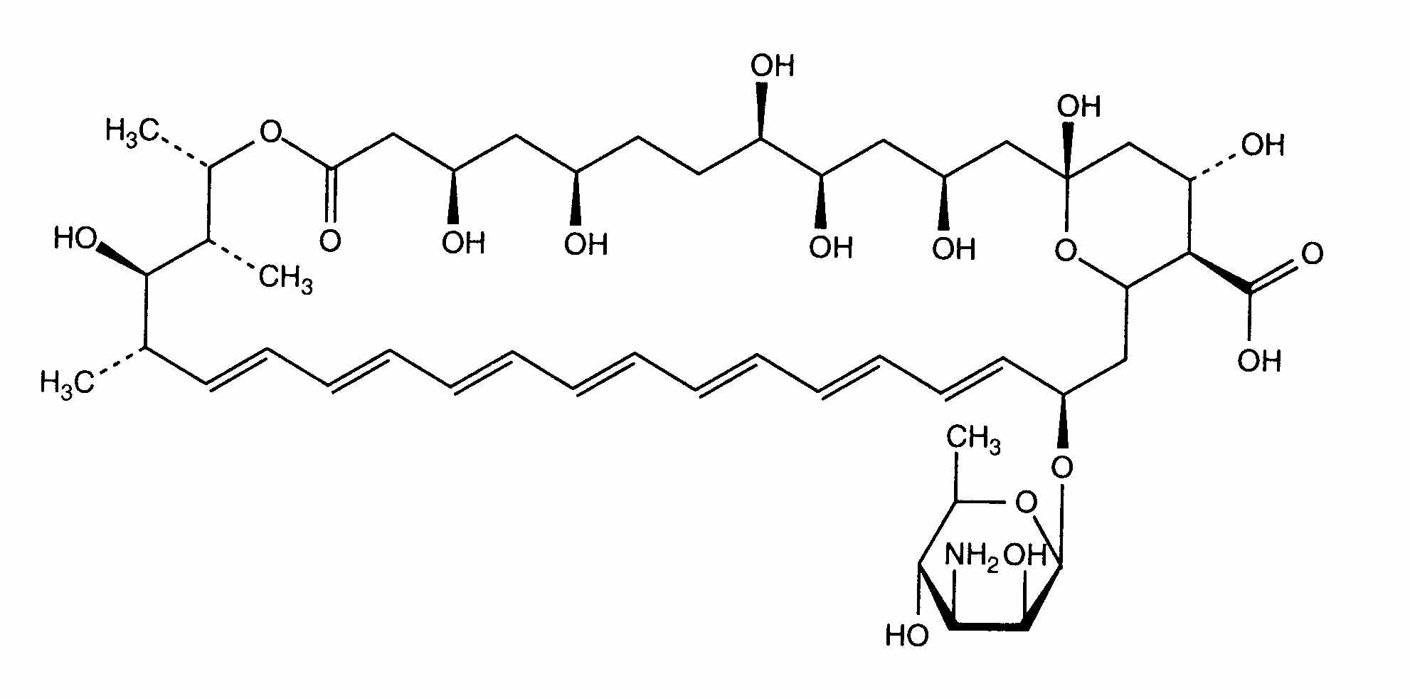
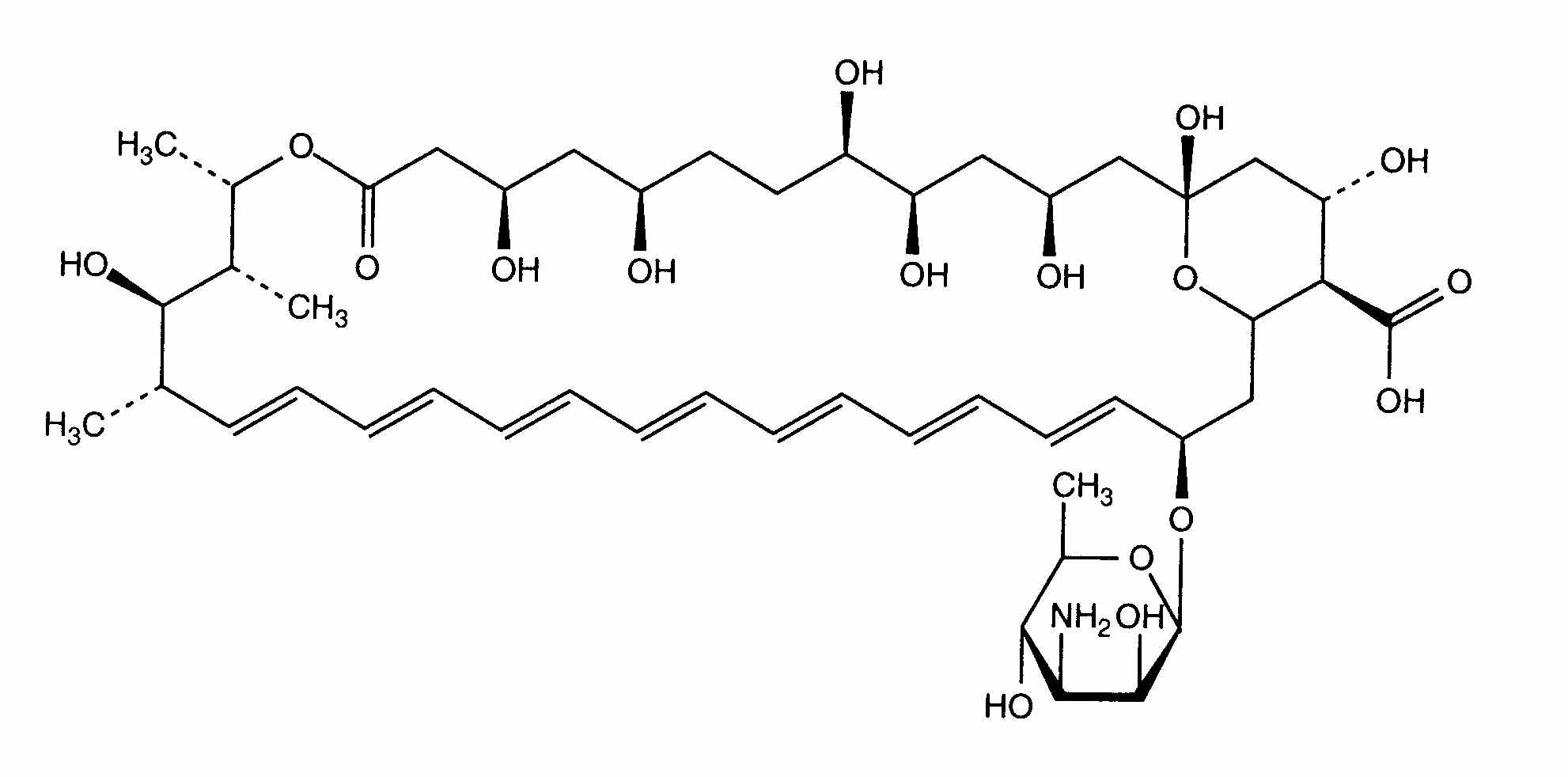
Липосома   Химическая структура  

Товарное название   Товарное название     

Trade names are indicative and excipients composition can be different depending on the country and manufacturers

Ambisome Австрия, Аргентина, Бельгия, Бразилия, Великобритания, Венгрия, Германия, Голландия, Греция, Дания, Египет, Индия, Ирландия, Исландия, Испания, Италия, Канада, Люксембург, новая Зеландия, Норвегия, Объединенные Арабские Эмираты, Перу, Польша, Португалия, Саудовская Аравия, Соединённые Штаты Америки, Таиланд, Турция, Финляндия, Франция, чили, Швейцария, Швеция, Япония
Способы введения   Способы введения :Amphotericin B liposomale     
Voie
Интравенная, внутривенная инфузия

  Mentions Légales