Posledná aktualizácia :
18/03/2026
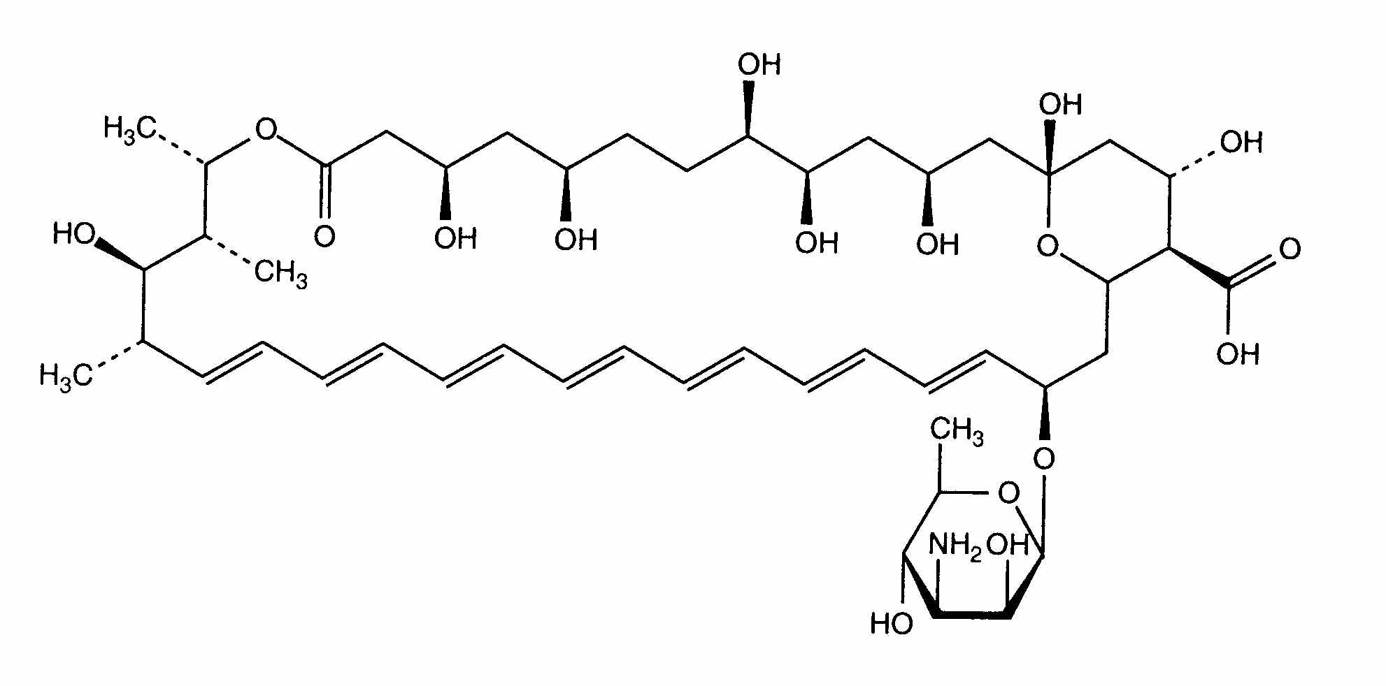
antimykotikum   Amphotericin B liposomale  
Injekcia
Očná instilácia
Stabilita roztokov Stabilita v zmesiach Faktory ovplyvňujúce stabilitu Kompatibility spôsob podania Odkazy na literatúru PDF
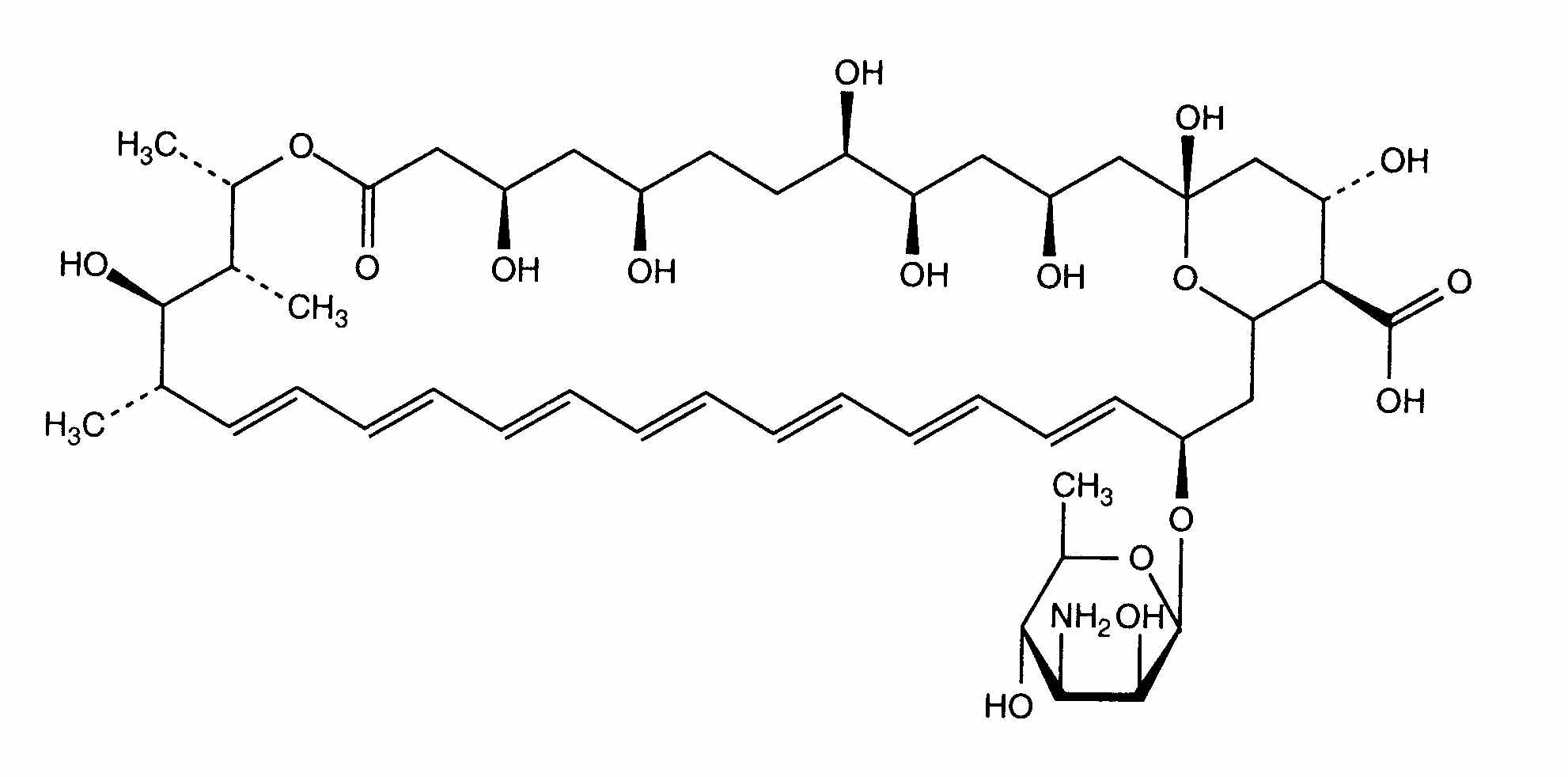
lipozóm   Chemický vzorec  

Obchodný názov   Obchodný názov     

Obchodné názvy sú orientačné, a zloženie pomocných látok sa môže líšiť v závislosti od krajiny a výrobcu.

Ambisome Argentína, Belgicko, Brazília, Čile, Dánsko, Egypt, Fínsko, Francúzsko, Grécko, Holandsko, India, Írsko, Island, Japonsko, Kanada, Luxembursko, Maďarsko, Nemecko, Nórsko, nový Zéland, peru, Poľsko, Portugalsko, Rakúsko, Saudská Arábia, Španielsko, Spojené arabské emiráty, Spojené štáty Americké, Švajčiarsko, Švédsko, Taliansko, Thajsko, Turecko, Veľká Británia
spôsob podania   spôsob podania :Amphotericin B liposomale     
Voie
intravenózna infúzia

  Mentions Légales