Последно актуализиране :
18/03/2026
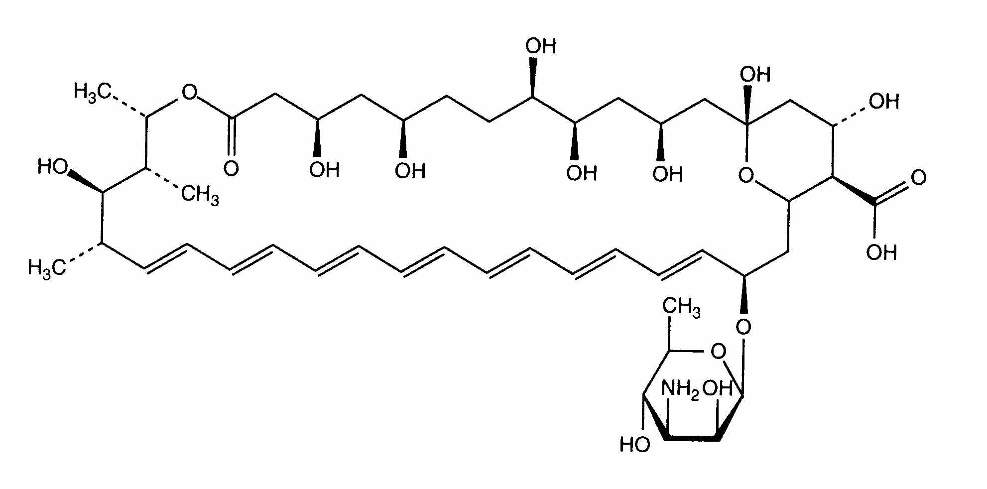
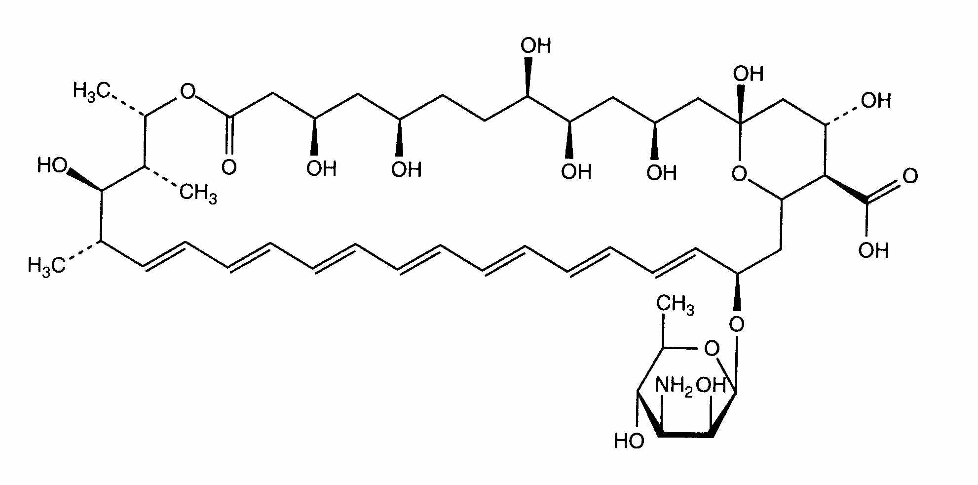
Противогъбично средство   Amphotericin B liposomale  
Инжекция/Инжекционен
Капки за очи
Стабилност на разтвори Стабилност на смеси Фактори, повлияващи стабилността Съвместимост Път на въвеждане Библиография Pdf
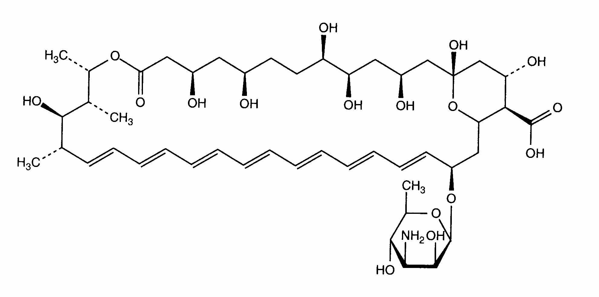
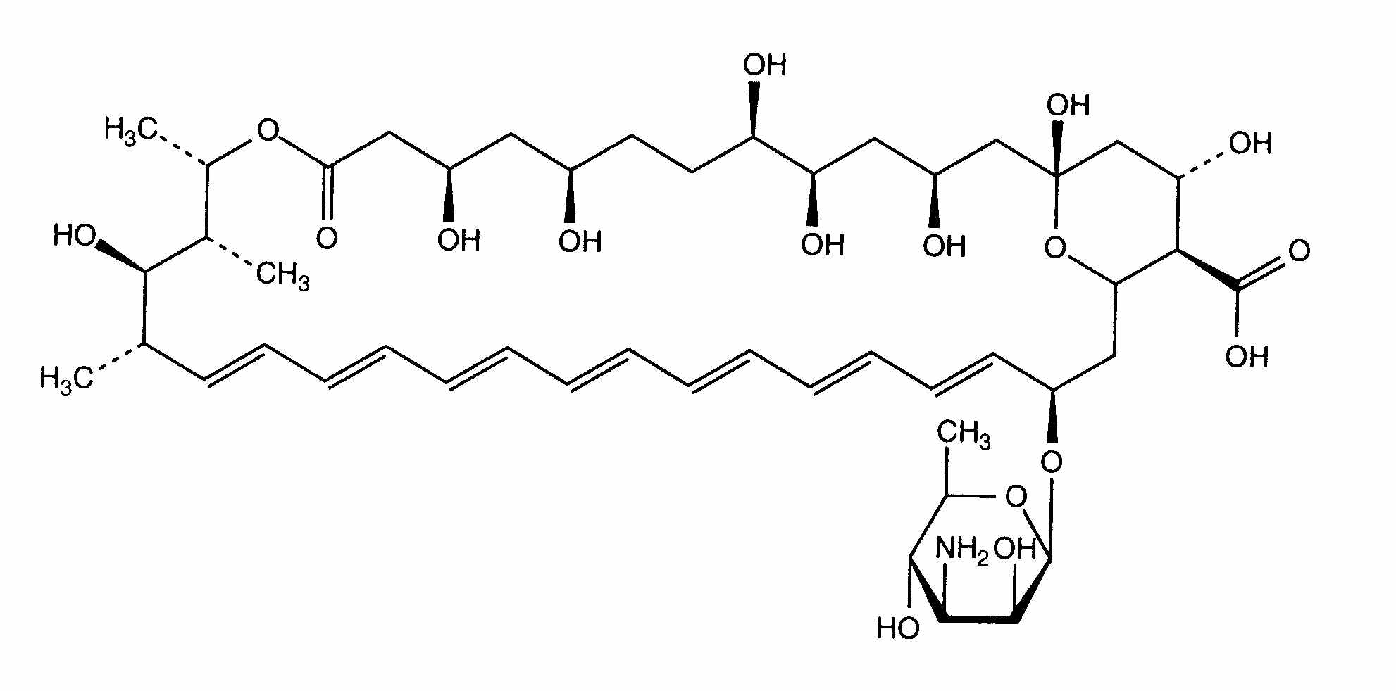
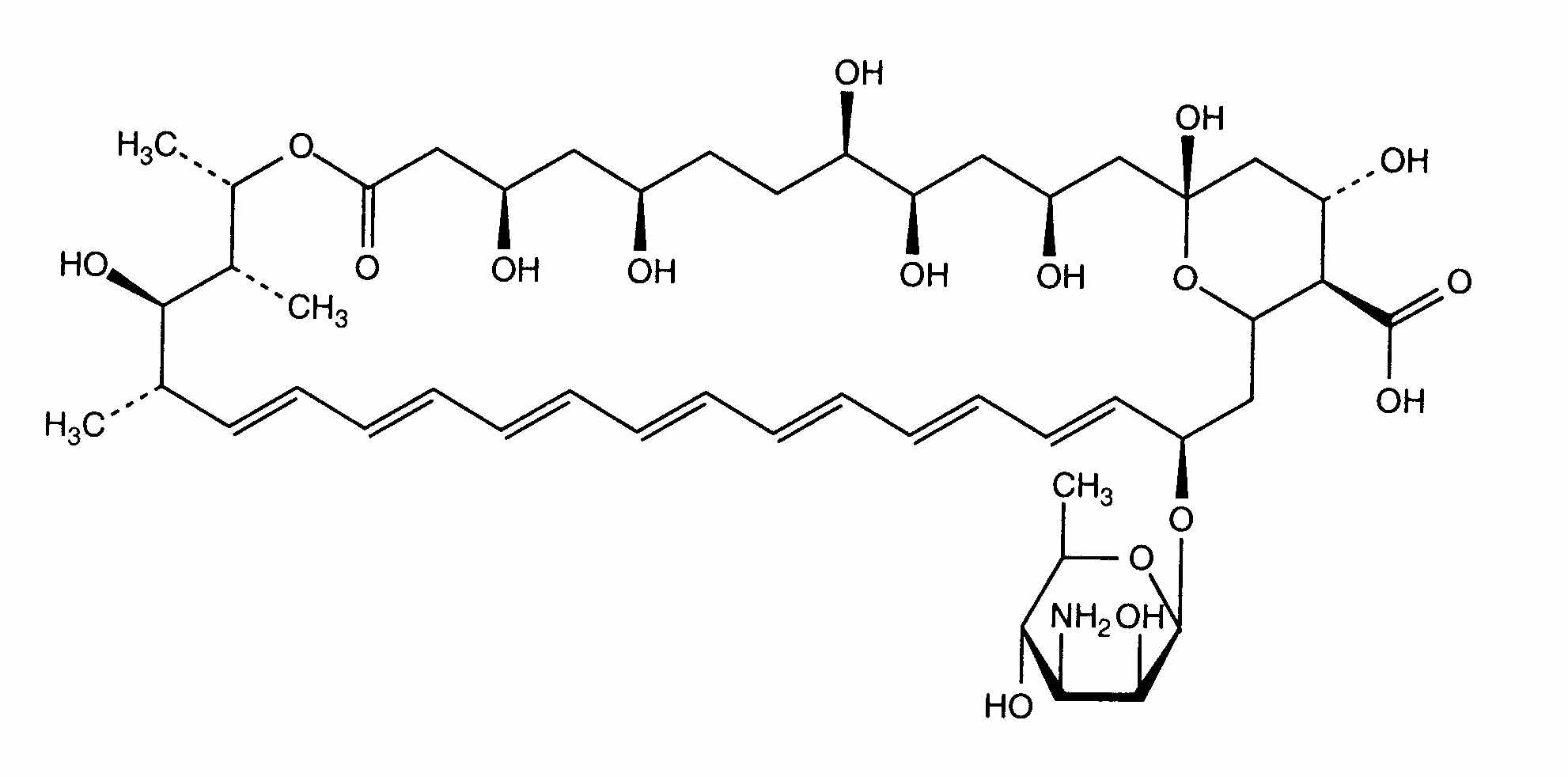
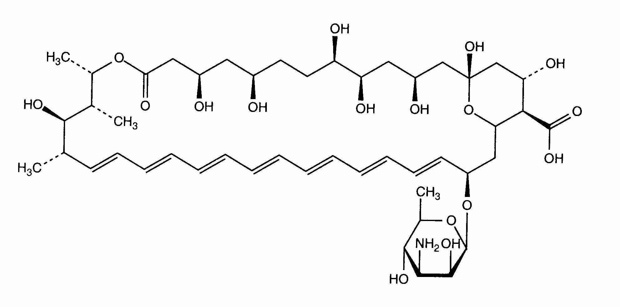
липозомен   Химична структура  

Търговско наименование   Търговско наименование     

Търговските имена са примерни и съставът на помощните вещества може да бъде различен в зависимост от държавата и лабораториите

Ambisome Австрия, Аржентина, Белгия, Бразилия, Великобритания, Германия, Гърция, Дания, Египет, Индия, Ирландия, Исландия, Испания, Италия, Канада, Люксенбург, нова Зеландия, Норвегия, Обединени арабски емирства, Перу, Полша, Португалия, Саудитска Арабия, Съединени Американски щати / САЩ, Тайланд, Турция, Унгария, Финландия, Франция, Холандия, Чили, Швейцария, Швеция, Япония
Път на въвеждане   Път на въвеждане :Amphotericin B liposomale     
Voie
Интравенозна инфузия

  Mentions Légales