Cập nhật lần cuối :
27/04/2026
Kháng sinh   Penicillin G sodium  
Dạng tiêm
Tính ổn định của các dung dịch Độ ổn định khi trộn lẫn Những yếu tố ảnh hưởng đến độ ổn định Khả năng tương thích Đường dùng Tài liệu tham khảo Pdf
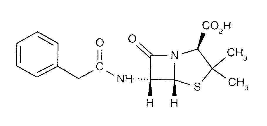
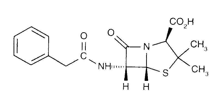
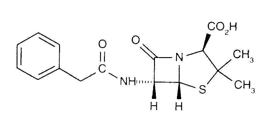
   Cấu trúc hóa học  

Tên thương mại   Tên thương mại     

Các tên thương mại được cung cấp và thành phần tá dược có thể khác nhau giữa các quốc gia và các hãng dược

Benapen Brazil
Bencilpenicilina Chile, Ecuador, Peru
Benpen new zealand, Úc
Bensylpenicillin Thụy Điển
Benzapen Iran
Benzatec Cộng hòa Nam Phi
Benzatron Brazil
Benzylpenicillin Ả Rập, Na Uy, Phần Lan, Thụy Điển, Đan Mạch
Benzylpenicilline Tunisia
Biconcillina Ecuador
Crystapen Anh, Canada, Ireland
Declin Mexico
Fortepen Ả Rập Saudi
Geepenil Phần Lan
Natrium penicillin G Hà Lan
Novopen Cộng hòa Nam Phi
Pebencil Venezuela
Penbendox Mexico
Penibiot Tây Ban Nha
Penicillin Na Uy
Penicillina G sodica Argentina, Bồ Đào Nha, Chile, Colombia, Ecuador
Penilevel Tây Ban Nha
Sodiopen Tây Ban Nha
Unicillina Tây Ban Nha
Độ ổn định khi trộn lẫn   Dạng tiêm   Độ ổn định khi trộn lẫn : Penicillin G sodium     
Không có dữ liệu

  Mentions Légales