Utolsó frissítés :
27/11/2025
Antibiotikum   Penicillin G sodium  
Injekció
Az oldatok stabilitása A keverékek stabilitása Stabilitást befolyásoló tényezők Kompatibilitás Az alkalmazás módja Irodalom pdf
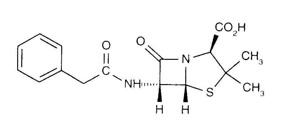
   Kémiai szerkezet   

Kereskedelmi név   Kereskedelmi név     

A kereskedelmi név meghatározó jelentőségű: a készítmények összetétele országonként, előállítóként eltérő lehet

Benapen Brazília
Bencilpenicilina Chile, Ecuador, Peru
Benpen Ausztrália, új-Zéland
Bensylpenicillin Svédország
Benzapen Irán
Benzatec Dél-Afrikai Köztársaság
Benzatron Brazília
Benzylpenicillin Dánia, Egyiptom, Finnország, Norvégia, Svédország
Benzylpenicilline Tunézia
Biconcillina Ecuador
Crystapen Írország, Kanada, Nagy-Britannia
Declin Mexikó
Fortepen Szaúd-Arábiában
Geepenil Finnország
Natrium penicillin G Hollandia
Novopen Dél-Afrikai Köztársaság
Pebencil Venezuela
Penbendox Mexikó
Penibiot Spanyolország
Penicillin Norvégia
Penicillina G sodica Argentína, Chile, Colombia, Ecuador, Portugália
Penilevel Spanyolország
Sodiopen Spanyolország
Unicillina Spanyolország
A keverékek stabilitása   Injekció   A keverékek stabilitása : Penicillin G sodium     
Hiányzó adat

  Mentions Légales