Last update :
27/11/2025
Antibiotic   Penicillin G sodium  
injection
Stability in solutions Stability of mixtures Factors which affect stability Compatibility Route of administration References pdf
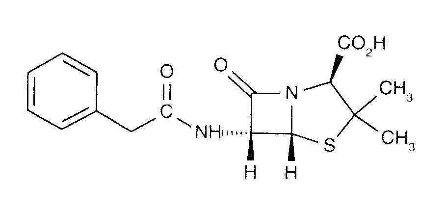
   Chemical structure  

Tradename   Tradename     

Trade names are indicative and excipients composition can be different depending on the country and manufacturers

Benapen Brazil
Bencilpenicilina Chile, Ecuador, Peru
Benpen Australia, New Zealand
Bensylpenicillin Sweden
Benzapen Iran
Benzatec Republic of South Africa
Benzatron Brazil
Benzylpenicillin Denmark, Egypt, Finland, Norway, Sweden
Benzylpenicilline Tunisia
Biconcillina Ecuador
Crystapen Canada, Great Britain, Ireland
Declin Mexico
Fortepen Saudi Arabia
Geepenil Finland
Natrium penicillin G Netherlands
Novopen Republic of South Africa
Pebencil Venezuela
Penbendox Mexico
Penibiot Spain
Penicillin Norway
Penicillina G sodica Argentina, Chile, Colombia, Ecuador, Portugal
Penilevel Spain
Sodiopen Spain
Unicillina Spain
Stability of mixtures   injection   Stability of mixtures : Penicillin G sodium     
No data

  Mentions Légales