Ostatnia aktualizacja :
27/04/2026
Antybiotyk   Penicillin G sodium  
Injekcje
Trwałość roztworów Trwałość w mieszaninie Czynnik wpływający na trwałość Zgodność Sposób podania Bibliografia pdf
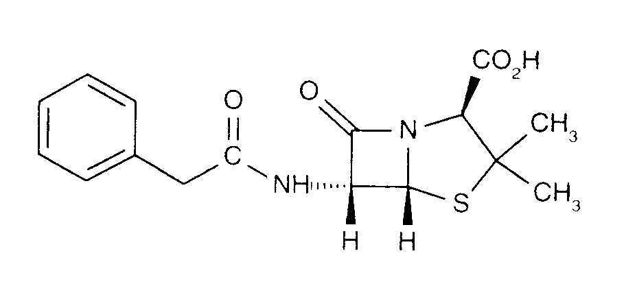
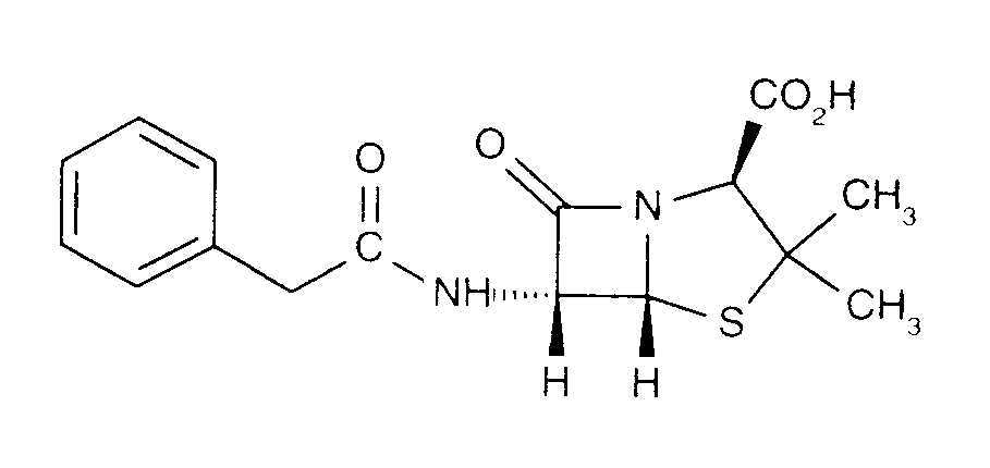
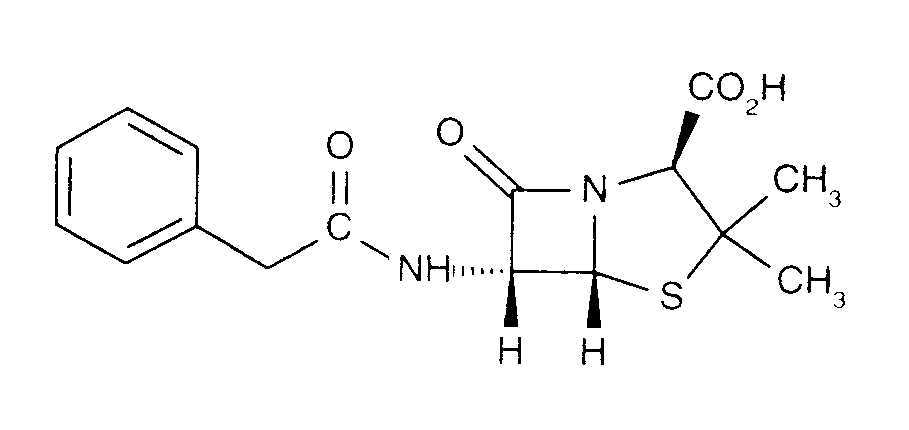
   Struktura chemiczna  

Nazwa handlowa   Nazwa handlowa     

Trade names are indicative and excipients composition can be different depending on the country and manufacturers

Benapen Brazylia
Bencilpenicilina Chile, Ekwador, Peru
Benpen Australia, nowa Zelandia
Bensylpenicillin Szwecja
Benzapen Iran
Benzatec Afryka Południowa
Benzatron Brazylia
Benzylpenicillin Dania, Egipt, Finlandia, Norwegia, Szwecja
Benzylpenicilline Tunisie
Biconcillina Ekwador
Crystapen Irlandia, Kanada, Wielka Brytania
Declin Meksyk
Fortepen Arabia Saudyjska
Geepenil Finlandia
Natrium penicillin G Holandia
Novopen Afryka Południowa
Pebencil Wenezuela
Penbendox Meksyk
Penibiot Hiszpania
Penicillin Norwegia
Penicillina G sodica Argentyna, Chile, Ekwador, KolumbiaKolumbia, Portugalia
Penilevel Hiszpania
Sodiopen Hiszpania
Unicillina Hiszpania
Trwałość w mieszaninie   Injekcje   Trwałość w mieszaninie : Penicillin G sodium     
Brak danych

  Mentions Légales