Poslední aktualizace :
27/11/2025
Antibiotikum   Penicillin G sodium  
injekce
Stabilita roztoků Stabilita směsí Faktory ovlivňující stabilitu Kompatibilita Způsoby aplikace Odkazy pdf
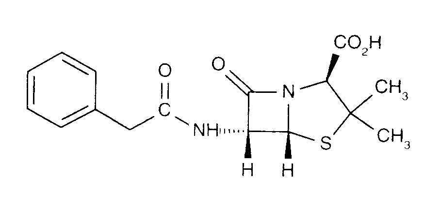
   Chemický vzorec  

Obchodní název   Obchodní název     

Trade names are indicative and excipients composition can be different depending on the country and manufacturers

Benapen BrazÌlie
Bencilpenicilina Chile, Ekvádor, Peru
Benpen Austrálie, nový Zéland
Bensylpenicillin Švédsko
Benzapen Írán
Benzatec Jihoafrická republika
Benzatron BrazÌlie
Benzylpenicillin Dánsko, Egypt, Finsko, Norsko, Švédsko
Benzylpenicilline Tunisko
Biconcillina Ekvádor
Crystapen Irsko, Kanada, Velká Británie
Declin Mexiko
Fortepen Saúdská Arábie
Geepenil Finsko
Natrium penicillin G Nizozemsko
Novopen Jihoafrická republika
Pebencil Venezuela
Penbendox Mexiko
Penibiot äpanÏlsko
Penicillin Norsko
Penicillina G sodica Argentina, Chile, Ekvádor, Kolumbie, Portugalsko
Penilevel äpanÏlsko
Sodiopen äpanÏlsko
Unicillina äpanÏlsko
Stabilita směsí   injekce   Stabilita směsí : Penicillin G sodium     
žádná data

  Mentions Légales