آخر تحديث :
27/04/2026
مضاد حيوي   Penicillin G sodium  
حقن
الاستقرار في حلول استقرار مخاليط العوامل التي تؤثر على الاستقرار التوافق طريقة التعاطي مراجع pdf
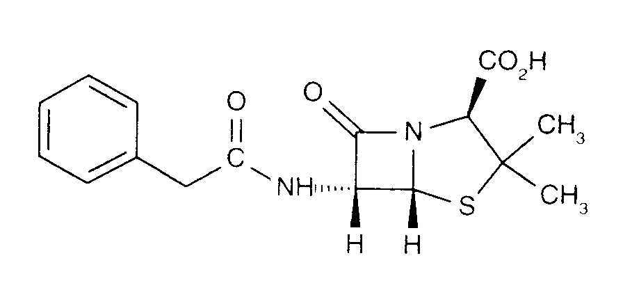
   التركيب الكيميائي  

حجز الاسم التجاري   حجز الاسم التجاري     

تحذير الأسماء التجاريه المختلفه قد تحتوي علي محتوي إضافات مختلفة حسب الدوله و المعمل

Benapen البرازيل
Bencilpenicilina الإكوادور, بيرو, تشيلي
Benpen أستراليا, زيلاندا الجديدة
Bensylpenicillin السويد
Benzapen إيران
Benzatec جمهورية جنوب أفريقيا
Benzatron البرازيل
Benzylpenicillin الدنمارك, السويد, النرويج, فنلندا, مصر
Benzylpenicilline تونس
Biconcillina الإكوادور
Crystapen ايرلندا, بريطانيا العظمي, كندا
Declin المكسيك
Fortepen العربية السعودية
Geepenil فنلندا
Natrium penicillin G هولندا
Novopen جمهورية جنوب أفريقيا
Pebencil فنزويلا
Penbendox المكسيك
Penibiot إسبانيا
Penicillin النرويج
Penicillina G sodica الأرجنتين, الإكوادور, البرتغال, تشيلي, كولومبيا
Penilevel إسبانيا
Sodiopen إسبانيا
Unicillina إسبانيا
استقرار مخاليط   حقن   استقرار مخاليط : Penicillin G sodium     
لا توجد بيانات

  Mentions Légales