Laatste update :
27/04/2026
Antibioticum   Penicillin G sodium  
injecteerbaar geneesmiddel
Stabiliteit in oplossing Stabiliteit in mengsels Factoren die de stabiliteit beïnvloeden Verenigbaarheden Toedieningswijze Literatuur pdf
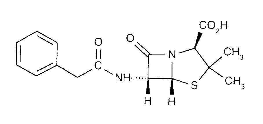
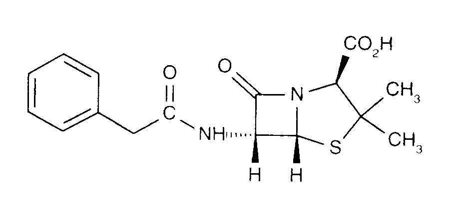
   Molecuulstructuur  

Merknamen in verschillende landen   Merknamen in verschillende landen     

Handelsnamen zijn slechts een indicatie; de samenstelling van hulpstoffen kan per land variëren afhankelijk van de fabrikant

Benapen Brazilië
Bencilpenicilina Chili, Ecuador, Peru
Benpen Australië, nieuw Zeeland
Bensylpenicillin Zweden
Benzapen Iran
Benzatec Zuid-Afrika
Benzatron Brazilië
Benzylpenicillin Denemarken, Egypte, Finland, Noorwegen, Zweden
Benzylpenicilline Tunisie
Biconcillina Ecuador
Crystapen Canada, Groot Britannië, Ierland
Declin Mexico
Fortepen Saudi-Arabië
Geepenil Finland
Natrium penicillin G Nederland
Novopen Zuid-Afrika
Pebencil Venezuela
Penbendox Mexico
Penibiot Spanje
Penicillin Noorwegen
Penicillina G sodica Argentinië, Chili, Colombia, Ecuador, Portugal
Penilevel Spanje
Sodiopen Spanje
Unicillina Spanje
Stabiliteit in mengsels   injecteerbaar geneesmiddel   Stabiliteit in mengsels : Penicillin G sodium     
geen gegevens

  Mentions Légales