Siste oppdatering :
27/11/2025
Antibiotika   Penicillin G sodium  
Injeksjon
Oppløsningsstabilitet Stabilitet i blandinger Faktorer som påvirker stabiliteten Kompatibilitet Administrasjonsmåte Referanser pdf
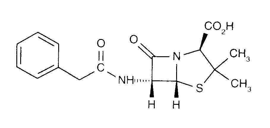
   Kjemisk struktur  

Handelsnavn   Handelsnavn     

Handelsnavn er veiledende og sammensetning av hjelpestoffer kan være forskjellig avhengig av land og produsent

Benapen Brasil
Bencilpenicilina Chile, Ecuador, Peru
Benpen Australia, New Zealand
Bensylpenicillin Sverige
Benzapen Iran
Benzatec Sør-Afrika
Benzatron Brasil
Benzylpenicillin Danmark, Egypt, Finland, Norge, Sverige
Benzylpenicilline Tunisia
Biconcillina Ecuador
Crystapen Canada, Irland, Storbritannia
Declin Mexico
Fortepen Saudi-Arabia
Geepenil Finland
Natrium penicillin G Nederland
Novopen Sør-Afrika
Pebencil Venezuela
Penbendox Mexico
Penibiot Spania
Penicillin Norge
Penicillina G sodica Argentina, Chile, Colombia, Ecuador, Portugal
Penilevel Spania
Sodiopen Spania
Unicillina Spania
Stabilitet i blandinger   Injeksjon   Stabilitet i blandinger : Penicillin G sodium     
Ingen opplysninger

  Mentions Légales