zadnja posodobitev :
18/03/2026
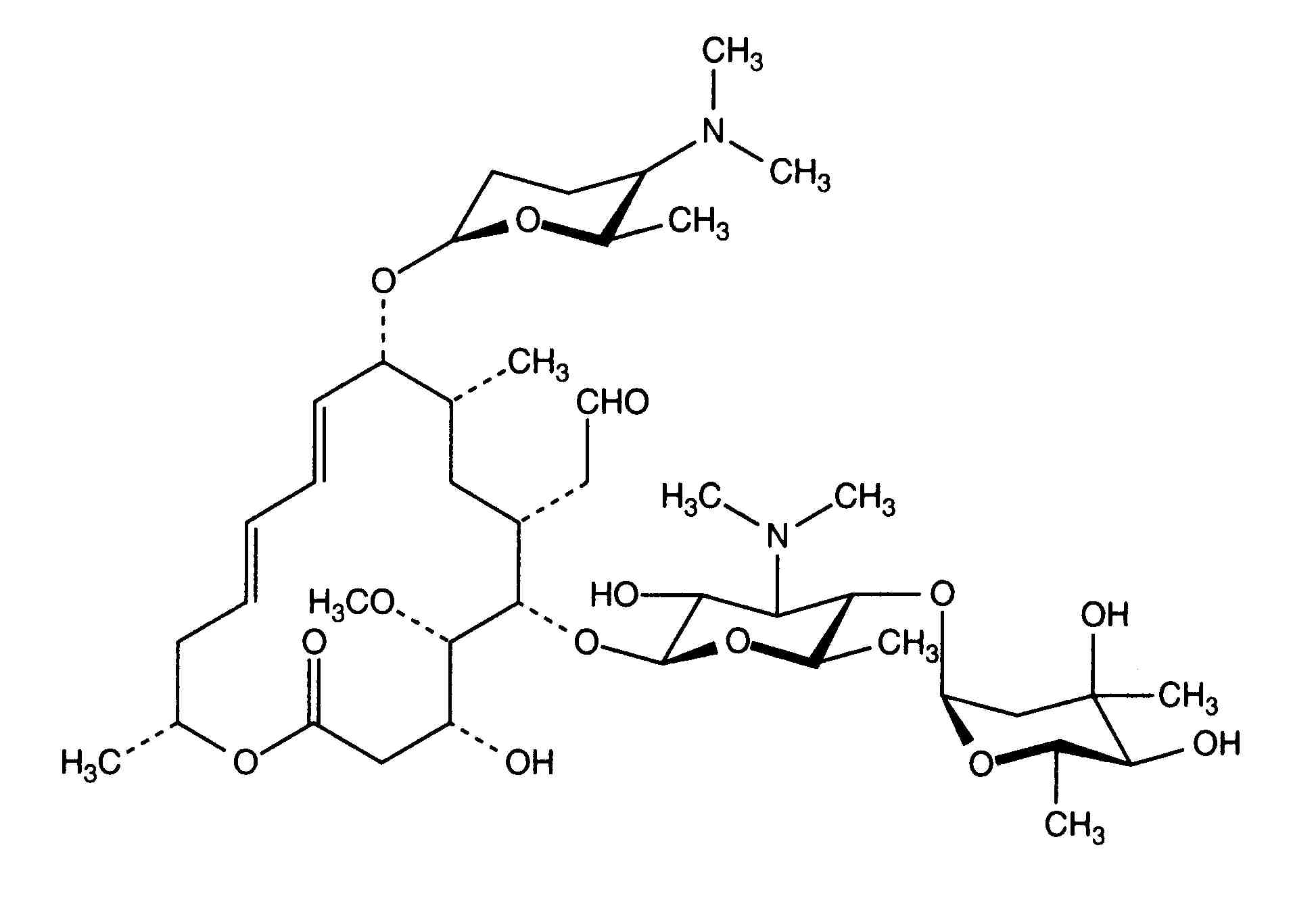
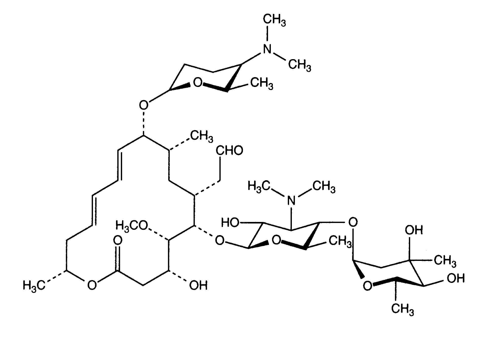
Antibiotik   Spiramycine adipate  
Brizgalka
Stabilnost raztopine Stabilnost mešanice Faktorji, ki vplivajo na stabilnost Kompatibilnost način aplikacije Viri pdf
   Kemična formula  

Lastniško ime   Lastniško ime     

Sestava pomožnih snovi je med paralelami lahko različna

Rovamycine Francija, Poljska
način aplikacije   način aplikacije :Spiramycine adipate     
Voie
Intravenska infuzija

  Mentions Légales