Laatste update :
18/03/2026
Antibioticum   Spiramycine adipate  
injecteerbaar geneesmiddel
Stabiliteit in oplossing Stabiliteit in mengsels Factoren die de stabiliteit beïnvloeden Verenigbaarheden Toedieningswijze Literatuur pdf
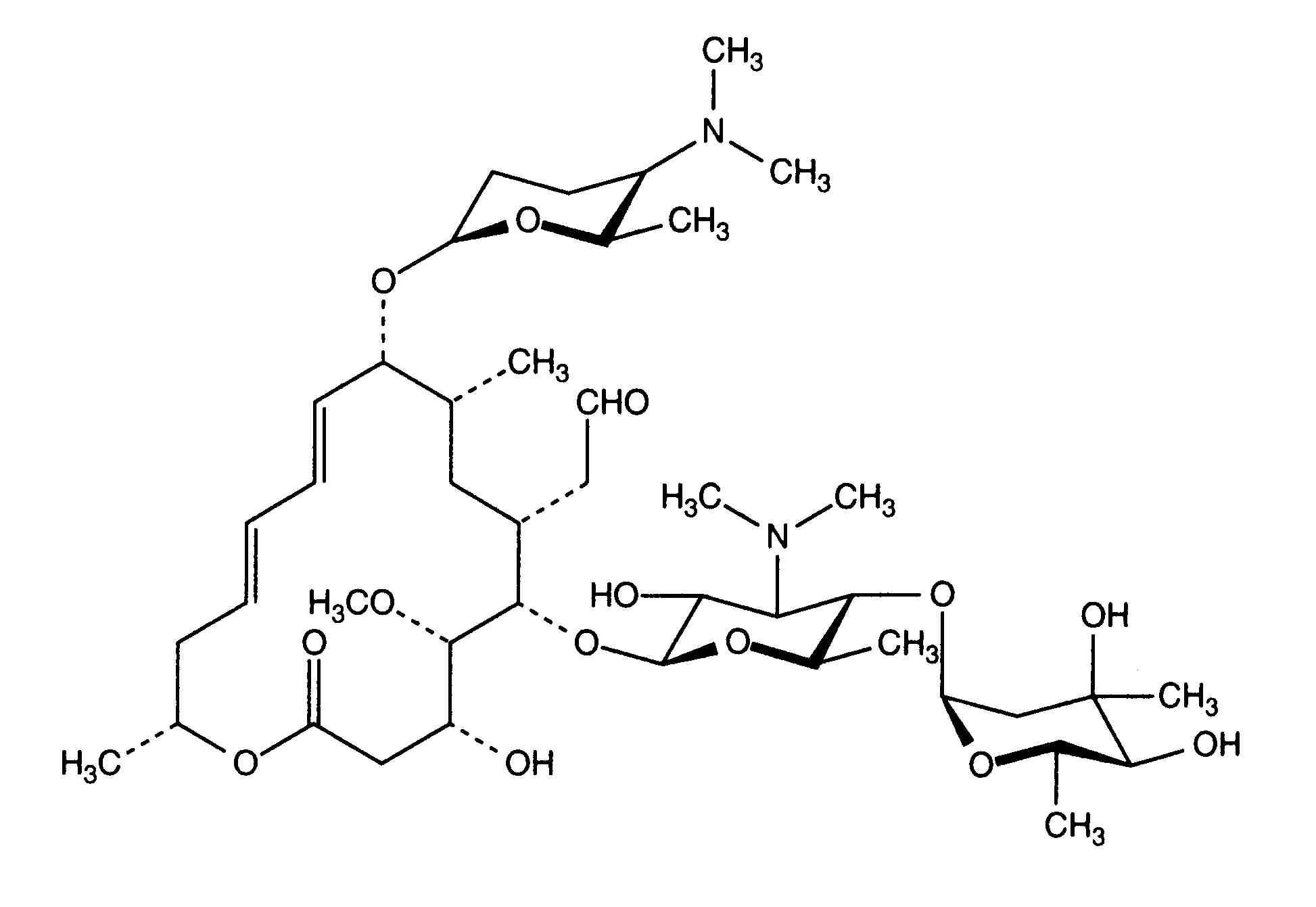
   Molecuulstructuur  

Merknamen in verschillende landen   Merknamen in verschillende landen     

Handelsnamen zijn slechts een indicatie; de samenstelling van hulpstoffen kan per land variëren afhankelijk van de fabrikant

Rovamycine Frankrijk, Polen
Toedieningswijze   Toedieningswijze :Spiramycine adipate     
Voie
Intraveneus infuus

  Mentions Légales