Poslední aktualizace :
18/03/2026
Antibiotikas   Spiramycine adipate  
Įpurškimas
Tirpalų stabilumas Mišinių stabilumas Stabilumą lemiantys veiksniai Suderinamumas Leidimo būdai Bibliografija pdf
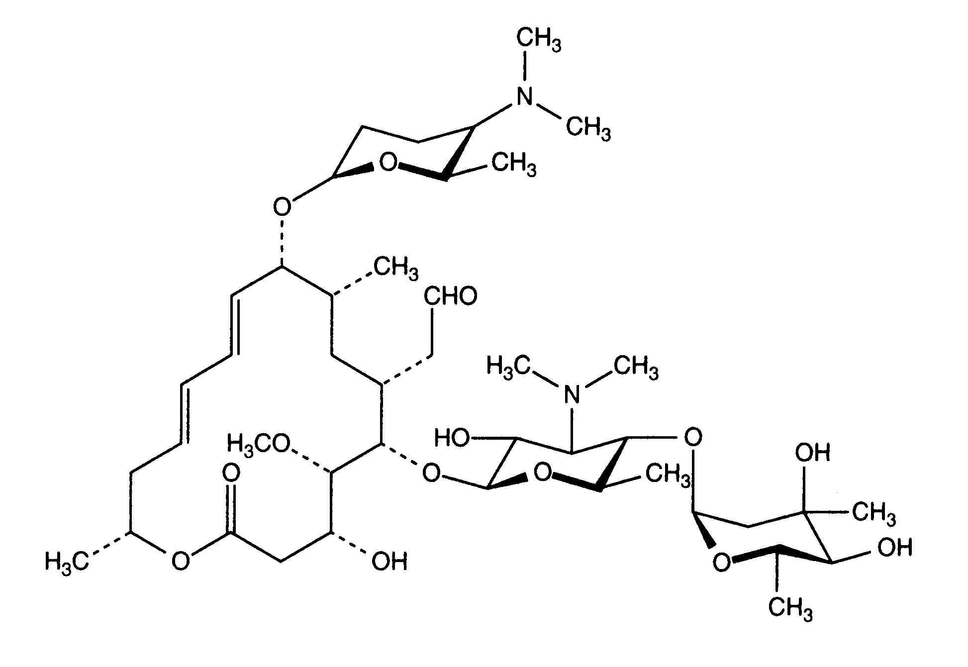
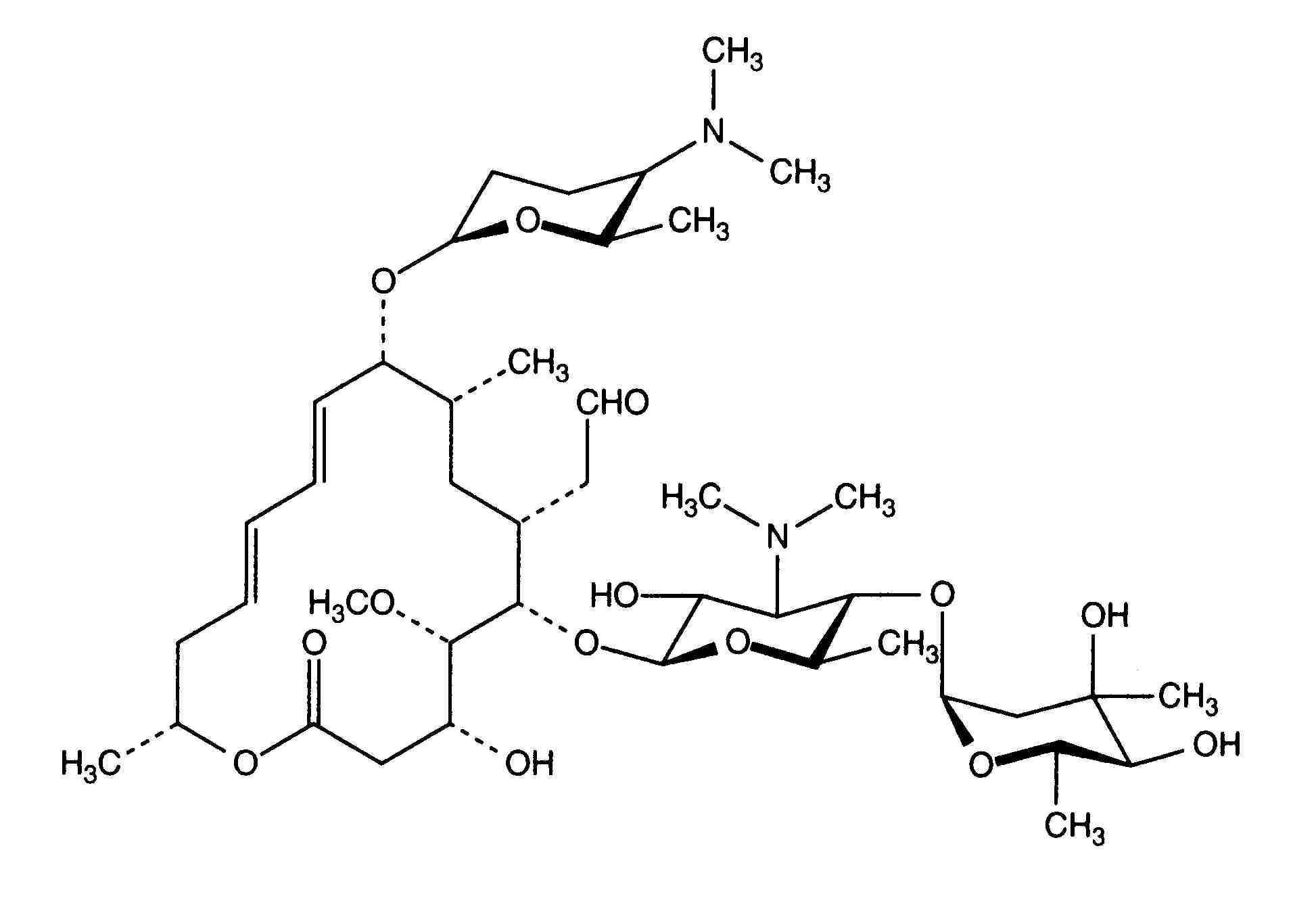
   Cheminė sandara  

Prekinis pavadinimas   Prekinis pavadinimas     

Trade names are indicative and excipients composition can be different depending on the country and manufacturers

Rovamycine Lenkija, Prancūzija
Leidimo būdai   Leidimo būdai :Spiramycine adipate     
Voie
Intraveninė infuzija

  Mentions Légales