Последнее обновление :
27/11/2025
Антибиотик   Spiramycine adipate  
Инъекция
Стабильность растворов Стабильность смесей Факторы, которые влияют на стабильность Совместимость Способы введения Библиография pdf
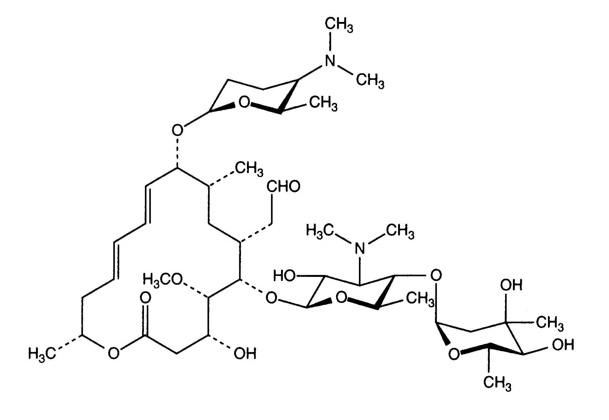
   Химическая структура  

Товарное название   Товарное название     

Trade names are indicative and excipients composition can be different depending on the country and manufacturers

Rovamycine Польша, Франция
Способы введения   Способы введения :Spiramycine adipate     
Voie
Интравенная, внутривенная инфузия

  Mentions Légales