viimane versioon :
18/03/2026
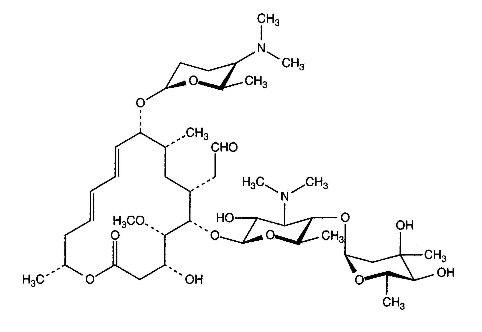
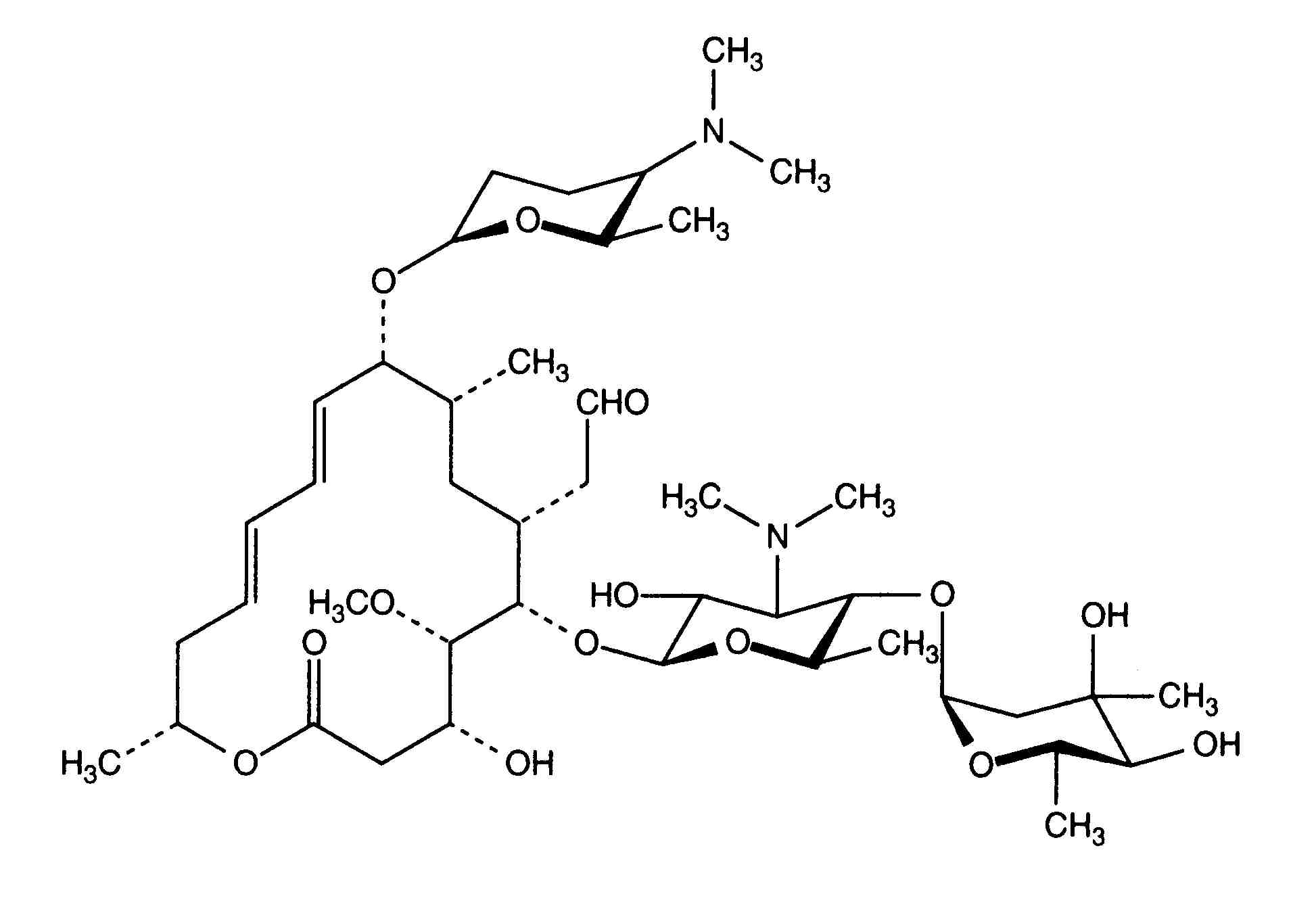
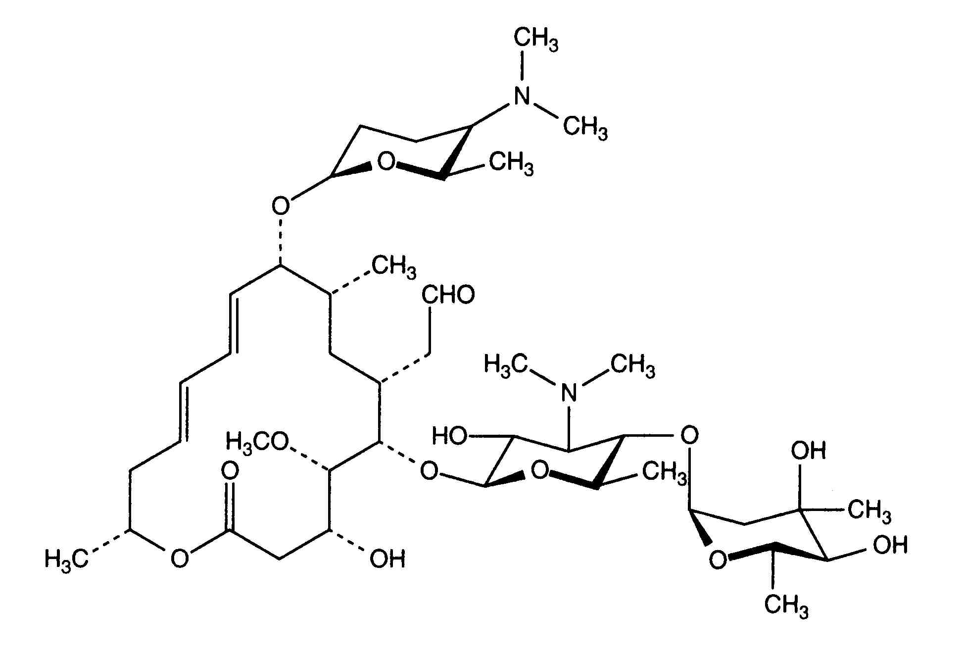
antibiootikum   Spiramycine adipate  
Süsteravim
Stabiilsus lahustes Stabiilsust mõjutavad tegurid stabiilsust mõjutavad faktorid Sobimatus Manustamis viis Viited pdf
   keemiline struktuur  

Kaubanduslikud nimed erinevates maades   Kaubanduslikud nimed erinevates maades     

Preparaatide nimed on näitlikud ja abianete sisaldus võib erineda sõltuvalt riigist ja laborist

Rovamycine Poola, Prantsusmaa
Manustamis viis   Manustamis viis :Spiramycine adipate     
Voie
intravenoosne infusioon

  Mentions Légales