Utolsó frissítés :
18/03/2026
Antibiotikum   Spiramycine adipate  
Injekció
Az oldatok stabilitása A keverékek stabilitása Stabilitást befolyásoló tényezők Kompatibilitás Az alkalmazás módja Irodalom pdf
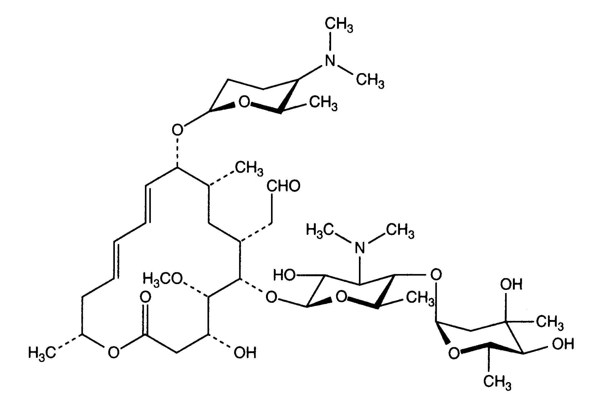
   Kémiai szerkezet   

Kereskedelmi név   Kereskedelmi név     

A kereskedelmi név meghatározó jelentőségű: a készítmények összetétele országonként, előállítóként eltérő lehet

Rovamycine Franciaország, Lengyelország
Az alkalmazás módja   Az alkalmazás módja :Spiramycine adipate     
Voie
Intravénás infúzió

  Mentions Légales