Seneste opdatering :
03/02/2026
Antibiotisk   Spiramycine adipate  
Injektion
Stabilitet i (vandige) opløsninger Stabilitet i blandinger Faktorer der påvirker stabiliteten Kompatibilitet Administrationsvej Bibliografi pdf
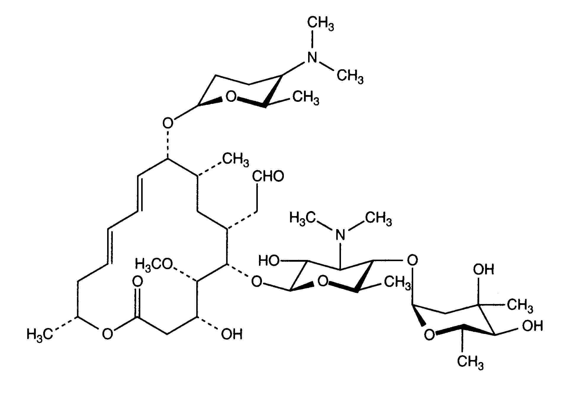
   Kemisk struktur  

Handelsnavn   Handelsnavn     

Handel navne er vejledende og hjælpestoffer sammensætning kan være forskellig afhængigt af landet og laboratorier

Rovamycine Frankrig, Polen
Administrationsvej   Administrationsvej :Spiramycine adipate     
Voie
Intravenøs infusion

  Mentions Légales