Последно актуализиране :
18/03/2026
Антибиотик   Spiramycine adipate  
Инжекция/Инжекционен
Стабилност на разтвори Стабилност на смеси Фактори, повлияващи стабилността Съвместимост Път на въвеждане Библиография Pdf
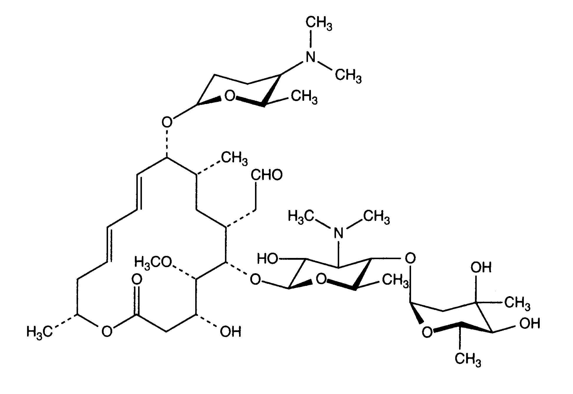
   Химична структура  

Търговско наименование   Търговско наименование     

Търговските имена са примерни и съставът на помощните вещества може да бъде различен в зависимост от държавата и лабораториите

Rovamycine Полша, Франция
Път на въвеждане   Път на въвеждане :Spiramycine adipate     
Voie
Интравенозна инфузия

  Mentions Légales