Posledná aktualizácia :
18/03/2026
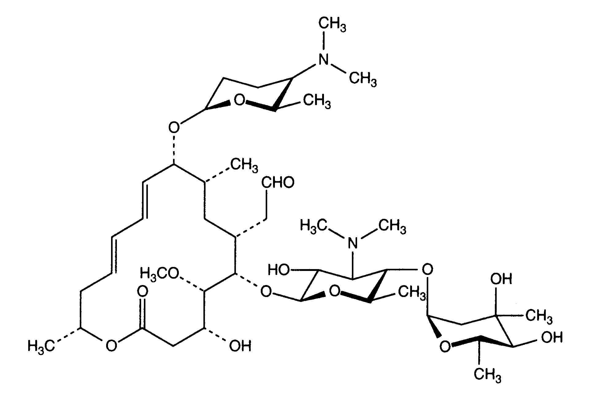
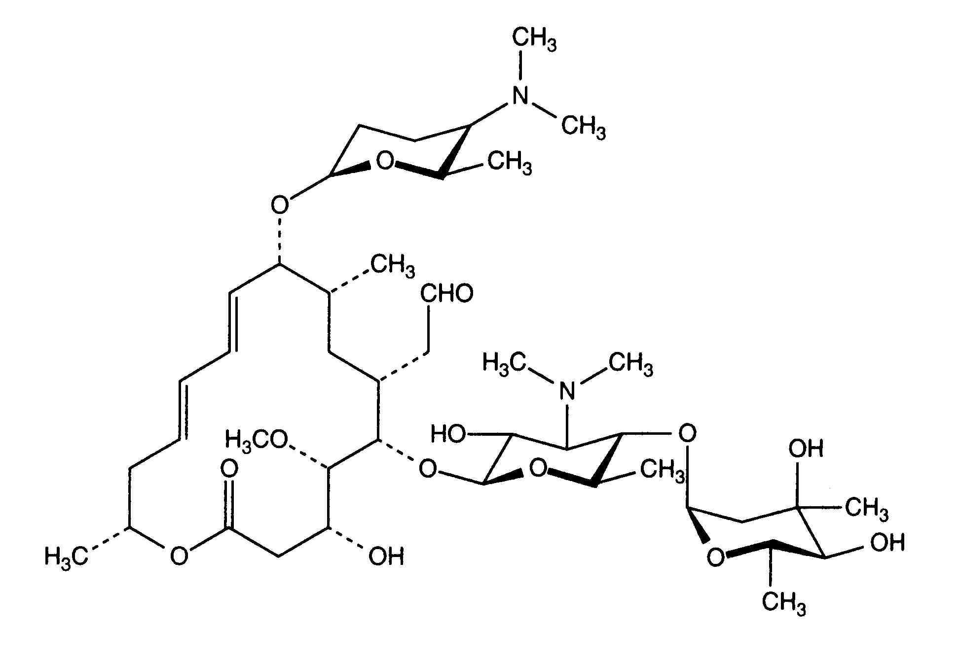
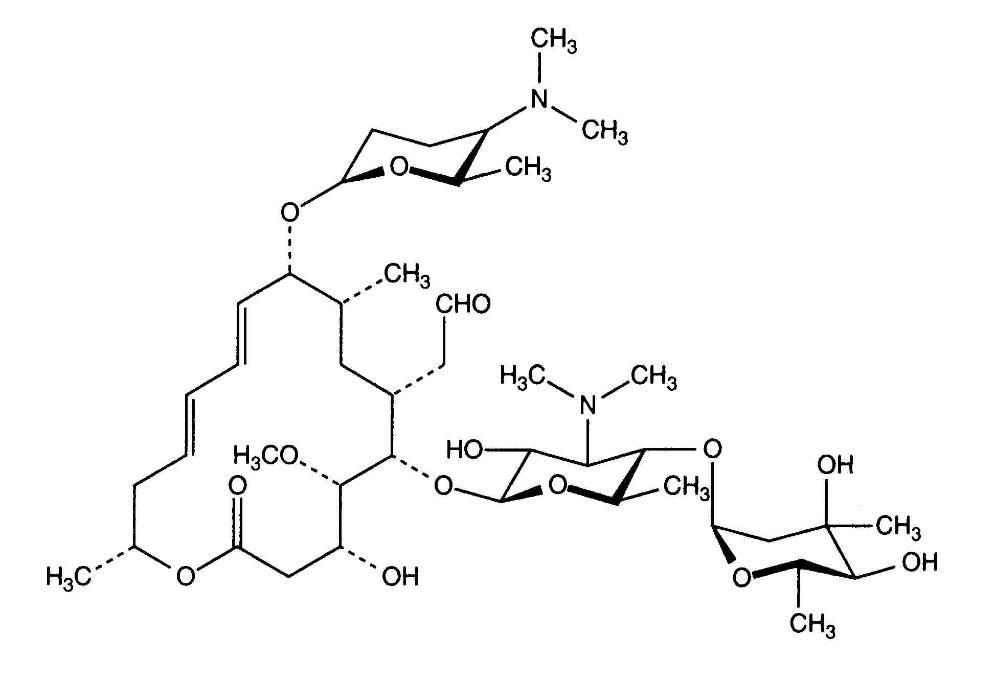
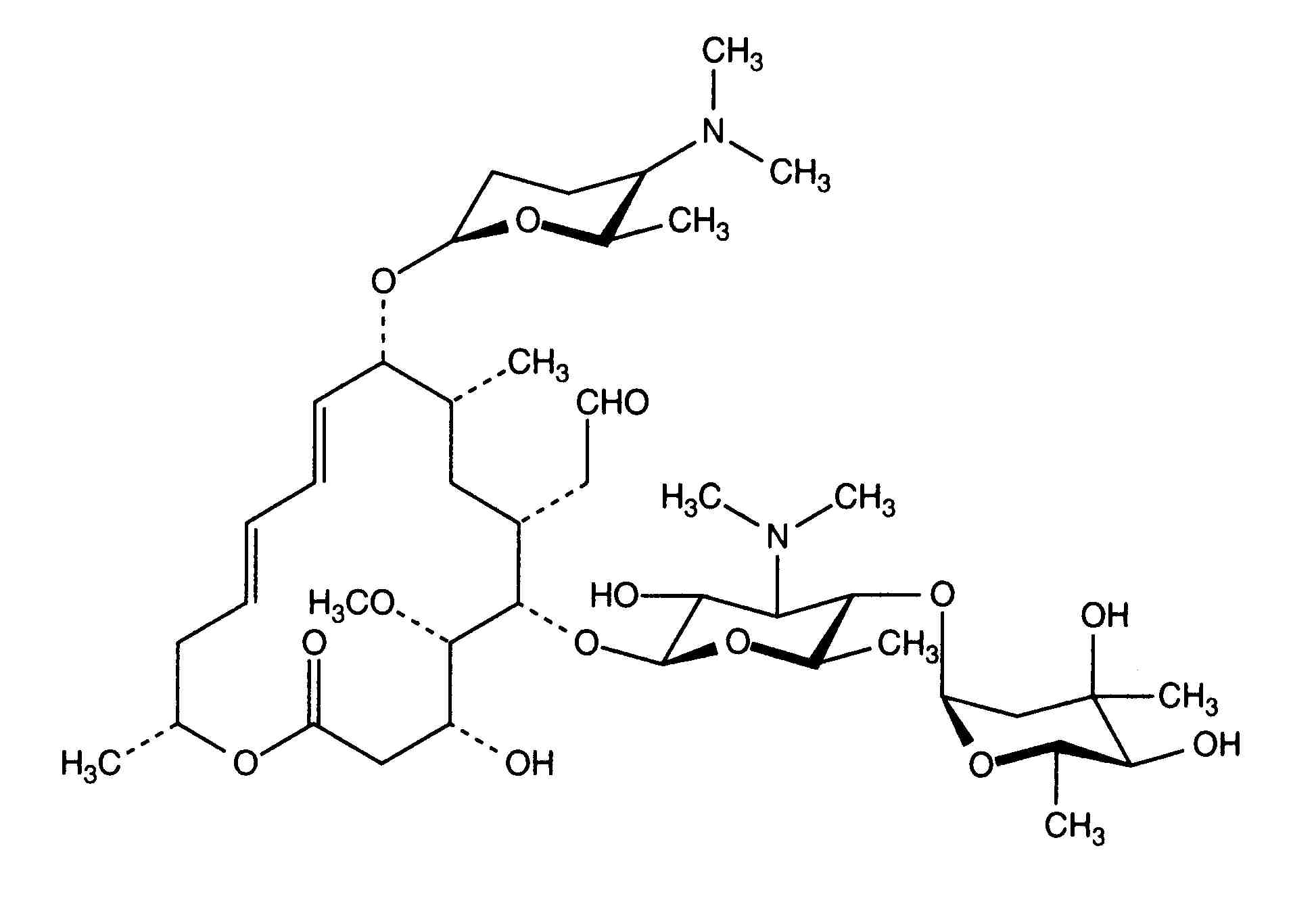
antibiotikum   Spiramycine adipate  
Injekcia
Stabilita roztokov Stabilita v zmesiach Faktory ovplyvňujúce stabilitu Kompatibility spôsob podania Odkazy na literatúru PDF
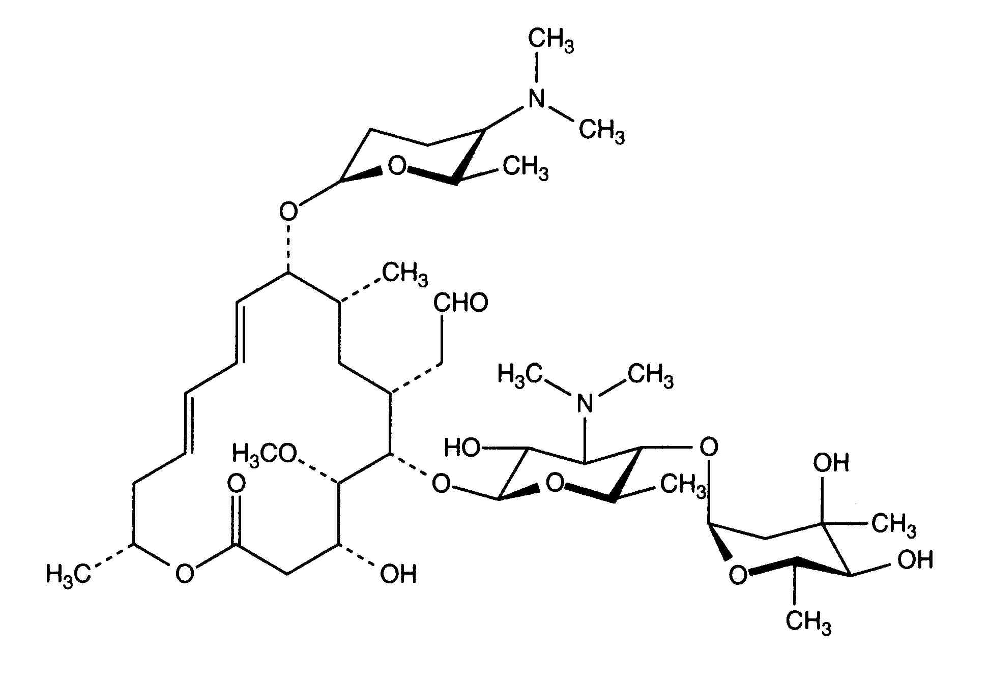
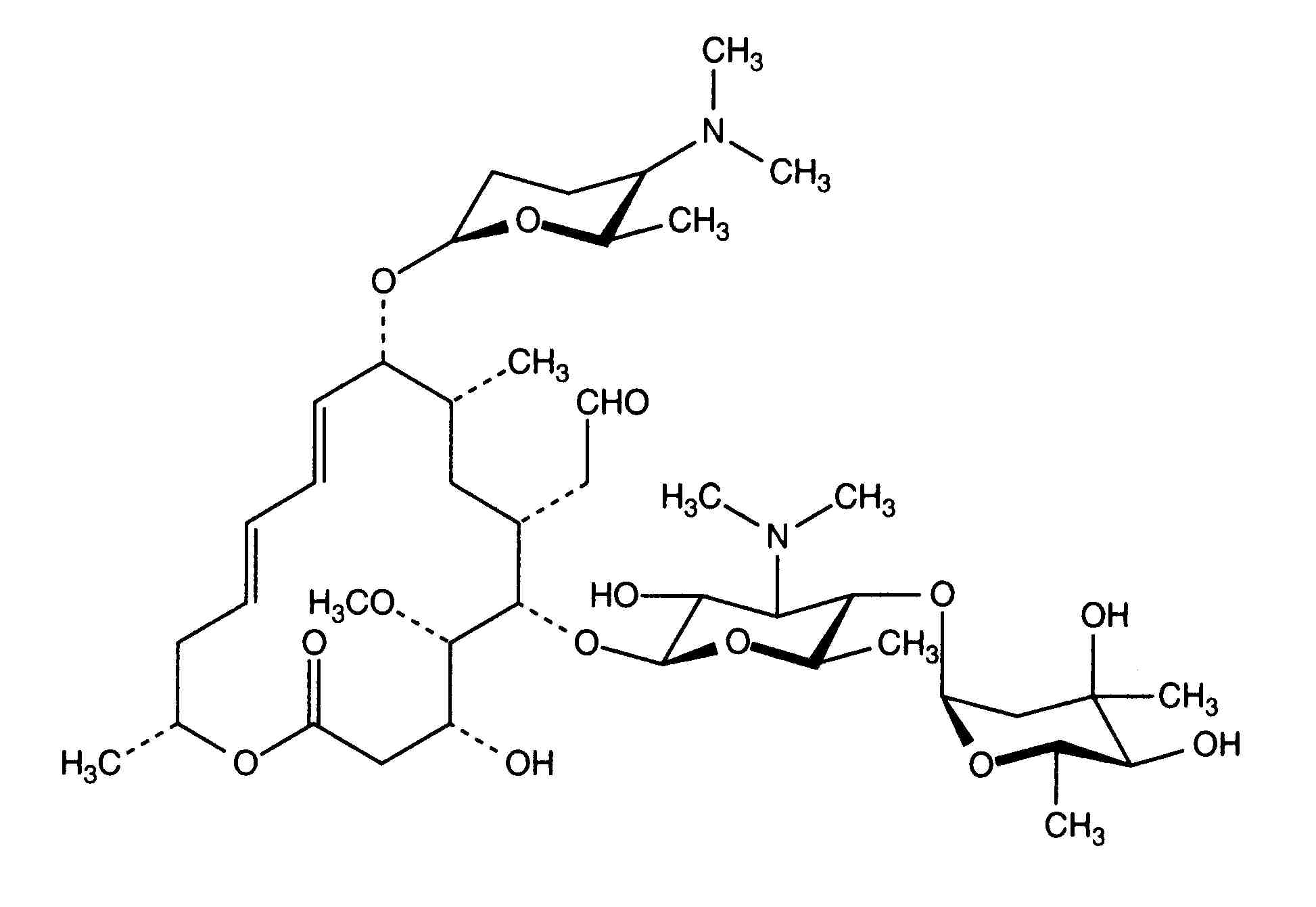
   Chemický vzorec  

Obchodný názov   Obchodný názov     

Obchodné názvy sú orientačné, a zloženie pomocných látok sa môže líšiť v závislosti od krajiny a výrobcu.

Rovamycine Francúzsko, Poľsko
spôsob podania   spôsob podania :Spiramycine adipate     
Voie
intravenózna infúzia

  Mentions Légales