Viimeisin päivitys :
27/11/2025
Antibiootit   Amikacin sulfate  
Injektioneste
Stabilius liuoksessa Stabilius seoksissa Tekijät, jotka vaikuttavat stabiliuteen Yhteensopivuus Antotapa Viitteet pdf
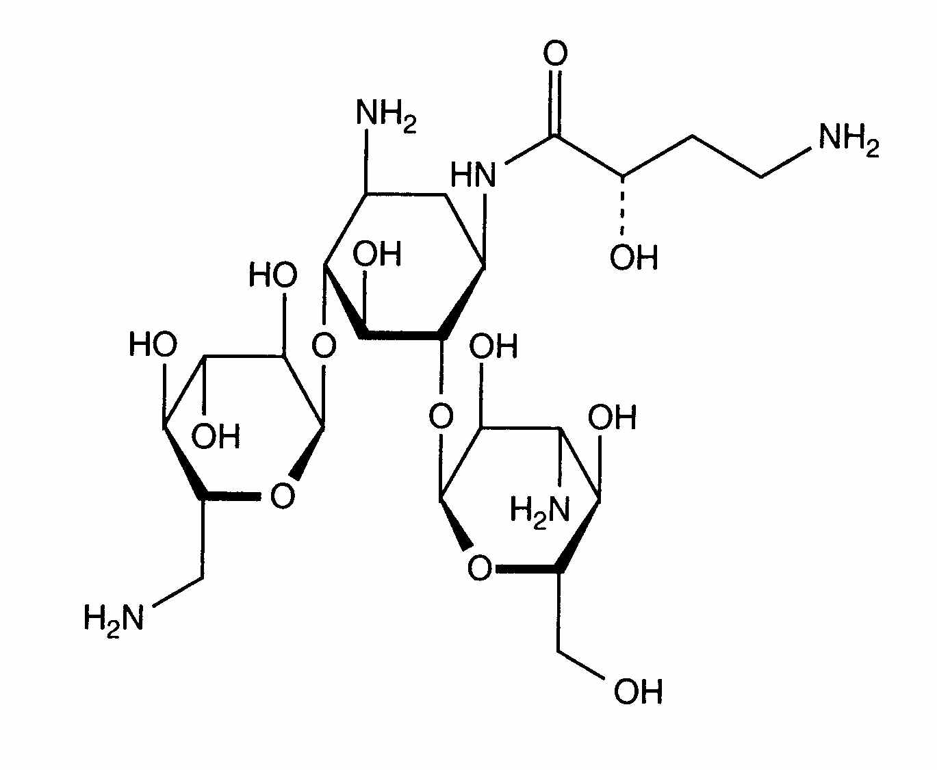
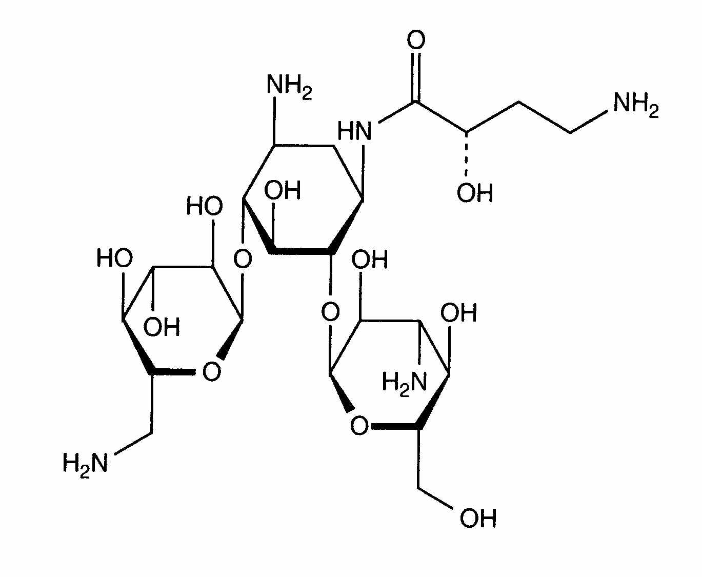
   Kemiallinen rakenne  

Kauppanimi   Kauppanimi     

Trade names are indicative and excipients composition can be different depending on the country and manufacturers

Adnet Intia
Agnicin Meksiko
Akamin Ecuador
Akim Ecuador
Amicacil Brasilia
Amicilon Brasilia
Amicin Malesia
Amicip Venezuela
Amijeksin Turkki
Amikabiot Ecuador, Marokko
Amikacin Egypti, Iran, Iso-Britannia, Kanada, Malesia, New Zealand, Saksa, Saudi-Arabia, Yhdysvallat
Amikacina Argentiina, Chile, Ecuador, Espanja, Italia, Kolumbia, Marokko, Meksiko, Venezuela
Amikacine Belgia, Hollanti, Marokko, Ranska
Amikafur Meksiko
Amikagram Marokko
Amikalem Meksiko
Amikamed Marokko
Amikamek Marokko
Amikan Italia
Amikavax Venezuela
Amikaver Turkki
Amikayect Meksiko
Amikem Marokko
Amiketem Turkki
Amikin Australia, Brasilia, Ecuador, Egypti, Irlanti, Iso-Britannia, Kolumbia, Marokko, Meksiko, Puola, Saudi-Arabia, Sveitsi, Tunisia, Unkari, Yhdysvallat
Amiklin Ranska, Turkki
Amikosit Romania, Tunisia, Turkki
Amikram Marokko
Amukin Belgia, Hollanti, Luxemburg
Apalin Malesia
Baxi K Chile, Meksiko
Behcacin Intia, Venezuela
Belka Intia
Biclin Espanja, Itävalta, Meksiko, Portugali, Ruotsi, Saksa, Suomi
Biodacyna Puola
Biokacin Meksiko
Briklin Kreikka
Cadicin Intia
Chemacin Italia
Cikabit Intia
Cinamica Intia
Cinas Intia
Consumonit Kreikka
Domak Intia
Doxocar Argentiina
Elcin Intia
Elmik Intia
Emcin Intia
Emica Intia
Farcyclin Kreikka
Flexelite Kreikka
Greini Argentiina
Ipacin Iran
Itukacin Marokko
Kancin Kreikka
Lanomycin Kreikka
Lukadin Italia
Masmika Intia
Mediamik Italia
Micalpha Kreikka
Micigen Meksiko
Migracin Italia
Mikacin Saudi-Arabia
Nekacin Italia
Novamin Brasilia
Orlobin Kreikka
Remikin Kreikka
Rovericlin Kreikka
Uzix Kreikka
Viitteet   Injektioneste   Viitteet : Amikacin sulfate  
tyyppi julkaisu
3 Lehti Trissel LA, Martinez JF.
Compatibility of amifostine with selected drugs during simulated Y-site administration.
Am J Health-Syst Pharm 1995 ; 52: 2208-2212.
59 Lehti Trissel LA, Gilbert DL, Martinez JF, Kim MC.
Compatibility of remifentanil hydrochloride with selected drugs during simulated Y-site administration.
Am J Health-Syst Pharm 1997 ; 54: 2192-2196.
73 Lehti Lor E, Takagi J.
Visual compatibility of foscarnet with other injectable drugs.
Am J Hosp Pharm 1990 ; 47: 157-159.
84 Lehti Trissel LA, Martinez JF.
Visual, turbidimetric, and particle-content assessment of compatibility of vinorelbine tartrate with selected drugs during simulated Y-site injection.
Am J Hosp Pharm 1994 ; 51: 495-499.
99 Lehti Trissel LA, Martinez JF.
Compatibility of aztreonam with selected drugs during simulated Y-site administration.
Am J Health-Syst Pharm 1995 ; 52: 1086-1090.
104 Lehti Hall PD, Yui D, Lyons S, Bosso JA.
Compatibility of filgrastim with selected antimicrobial drugs during simulated Y-site administration.
Am J Health-Syst Pharm 1997 ; 54: 185-189.
132 Lehti Najari Z, Rusho WJ.
Compatibility of commonly used bone marrow transplant drugs during Y-site delivery.
Am J Health-Syst Pharm 1997 ; 54: 181-184.
169 Lehti Trissel LA, Martinez JF.
Physical compatibility of melphalan with selected drugs during simulated Y-site administration.
Am J Hosp Pharm 1993 ; 50: 2359-2363.
182 Lehti Trissel LA, Gilbert DL, Martinez JF.
Compatibility of granisetron hydrochloride with selected drugs during simulated Y-site administration.
Am J Health-Syst Pharm 1997 ; 54: 56-60.
186 Lehti Swart EL, Mooren RAG, Van Loenen AC.
Compatibility of midazolam hydrochloride and lorazepam with selected drugs during simulated Y-site administration.
Am J Health-Syst Pharm 1995 ; 52: 2020-2022.
198 Lehti Gayed AA, Kheshary PR, Hinkle RL.
Visual compatibility of diltiazem injection with various diluents and medications during simulated Y-site injection.
Am J Health-Syst Pharm 1995 ; 52: 516-520.
244 Lehti Trissel LA, Martinez JF.
Compatibility of filgrastim with selected drugs during simulated Y-site administration.
Am J Hosp Pharm 1994 ; 51: 1907-1913.
248 Lehti Trissel LA, Martinez JF.
Turbidimetric assessment of the compatibility of taxol with 42 other drugs during simulated Y-site injection.
Am J Hosp Pharm 1993 ; 50: 300-304.
249 Lehti Trissel LA, Martinez JF.
Compatibility of thiotepa (lyophilized) with selected drugs during simulated Y-site administration.
Am J Health-Syst Pharm 1996 ; 53: 1041-1045.
253 Lehti Trissel LA, Chandler SW, Folstad JT.
Visual compatibility of amsacrine with selected drugs during simulated Y-site injection.
Am J Hosp Pharm 1990 ; 47: 2525-2528.
256 Lehti Inagaki K, Takagi J, Lor E, Lee KJ, Nii L, Gill MA.
Stability of fluconazole in commonly used intravenous antibiotic solutions.
Am J Hosp Pharm 1993 ; 50: 1206-1208.
280 Lehti Allen LV, Stiles ML, Prince SJ, Sylvestri MF.
Stability of cefpirome sulfate in the presence of commonly used intensive care drugs during simulated Y-site injection.
Am J Health-Syst Pharm 1995 ; 52: 2427-2433.
285 Lehti Elmore RL, Contois ME, Kelly J, Noe A, Poirier A.
Stability and compatibility of admixtures of intravenous ciprofloxacin and selected drugs.
Clin Ther 1996 ; 18: 246-255.
299 Lehti Trissel LA, Martinez JF, Gilbert DL.
Compatibility of cisatracurium besylate with selected drugs during simulated Y-site administration.
Am J Health-Syst Pharm 1997 ; 54: 1735-1741.
300 Lehti Trissel LA, Gilbert DL, Martinez JF.
Compatibility of propofol injectable emulsion with selected drugs during simulated Y-site administration.
Am J Health-Syst Pharm 1997 ; 54: 1287-1292.
301 Lehti Trissel LA, Gilbert DL, Martinez JF, Baker MB, Walter WV, Mirtallo JM.
Compatibility of parenteral nutrient solutions with selected drugs during simulated Y-site administration.
Am J Health-Syst Pharm 1997 ; 54: 1295-1300.
307 Lehti Trissel LA, Martinez JF.
Compatibility of allopurinol sodium with selected drugs during simulated Y-site administration.
Am J Hosp Pharm 1994 ; 51: 1792-1799.
316 Lehti Veltri M, Lee CKK.
Compatibility of neonatal parenteral nutrient solutions with selected intravenous drugs.
Am J Health-Syst Pharm 1996 ; 53: 2611-2613.
334 Lehti Trissel LA, Tramonte SM, Grilley BJ.
Visual compatibility of ondansetron hydrochloride with selected drugs during simulated Y-site injection.
Am J Hosp Pharm 1991 ; 48: 988-992.
335 Lehti Trissel LA, Bready BB, Kwan JW, Santiago NM.
Visual compatibility of sargramostim with selected antineoplasic agents, anti-infectives, or other drugs during simulated Y-site injection.
Am J Hosp Pharm 1992 ; 49: 402-406.
336 Lehti Forman JK, Lachs JR, Souney PF.
Visual compatibility of acyclovir sodium with commonly used intravenous drugs during simulated Y-site injection.
Am J Hosp Pharm 1987 ; 44: 1408-1409.
337 Lehti Bashaw ED, Amantea MA, Minor JR, Galleli JF.
Visual compatibility of zidovudine with other drugs during simulated Y-site administration.
Am J Hosp Pharm 1988 ; 45: 2532-2533.
367 Lehti Thompson DF, Allen LV, Desai SR, Rao PS.
Compatibility of furosemide with aminoglycoside admixtures.
Am J Hosp Pharm 1985 ; 42: 116-119.
384 Lehti Colucci RD, Cobuzzi LE, Halpern NA.
Visual compatibility of esmolol hydrochloride and various injectable drugs during simulated Y-site injection.
Am J Hosp Pharm 1988 ; 45: 630-632.
385 Lehti Benedict MK, Roche VF, Banakar UV, Hilleman DE.
Visual compatibility of amiodarone hydrochloride with various antimicrobial agents during simulated Y-site injection.
Am J Hosp Pharm 1988 ; 45: 1117-1118.
386 Lehti Colucci RD, Cobuzzi LE, Halpern NA.
Visual compatibility of labetalol hydrochloride injection with various injectable drugs during simulated Y-site injection.
Am J Hosp Pharm 1988 ; 45: 1357-1358.
405 Lehti Nieves-Cordero AL, Luciw HM, Souney PF.
Compatibility of narcotic analgesic solutions with various antibiotics during simulated Y-site injection.
Am J Hosp Pharm 1985 ; 42: 1108-1109.
434 Lehti Goodwin SD, Nix DE, Heyd A, Wilton JH.
Compatibility of ciprofloxacin injection with selected drugs and solutions.
Am J Hosp Pharm 1991 ; 48: 2166-2171.
472 Lehti Wohlford JG, Fowler MD.
Visual compatibility of hetastarch with injectable critical-care drugs.
Am J Hosp Pharm 1989 ; 46: 995-996.
491 Lehti Turowski RC, Durthaler JM.
Visual compatibility of idarubicin hydrochloride with selected drugs during simulated Y-site injection.
Am J Hosp Pharm 1991 ; 48: 2181-2184.
492 Lehti Trissel LA, Parks NPT, Santiago NM.
Visual compatibility of fludarabine phosphate with antineoplastic drugs, anti-infectives, and other selected drugs during simulated Y-site injection.
Am J Hosp Pharm 1991 ; 48: 2186-2189.
496 Lehti Lor E, Sheybani T, Takagi J.
Visual compatibility of fluconazole with commonly used injectable drugs during simulated Y-site administration.
Am J Hosp Pharm 1991 ; 48: 744-746.
552 Lehti Martinez JF, Trissel LA, Gilbert DL.
Compatibility of warfarin sodium with selected drugs and large-volume parenteral solutions.
Int J Pharm Compound 1997 ; 1: 356-358.
561 Lehti Nunning BC, Granatek AP.
Physical compatibility and chemical stability of amikacin sulfate in large-volume parenteral solutions. Part II.
Current Ther Res 1976 ; 20: 359-368.
565 Lehti Marble DA, Bosso JA, Townsend RJ.
Compatibility of clindamycin phosphate with amikacin sulfate at room temperature and with gentamicin sulfate and tobramycin sulfate under frozen conditions.
Drug Intell Clin Pharm 1986 ; 20: 960-963.
575 Lehti Holmes CJ, Ausman RK, Kundsin RB, Walter CW.
Effect of freezing and microwave thawing on the stability of six antibiotic admixtures in plastic bags.
Am J Hosp Pharm 1982 ; 39: 104-108.
604 Laboratorio Stabilité des médicaments dans l'Intermate® SV50, 100, 200
Baxter 1998
639 Lehti Zbrozek AS, Marble DA, Bosso JA, Bair JN, Townsend RJ.
Compatibility and stability of clindamycin phosphate - aminoglycoside combinations within polypropylene syringes.
Drug Intell Clin Pharm 1987 ; 21: 806-810.
673 Lehti Bullock L, Clark JH, Fitzgerald JF, Glick MR, Hancock BG, Baenziger JC, Black CD.
The stability of amikacin, gentamicin, and tobramycin in total nutrient admixtures.
JPEN 1989 ; 13: 505-509.
905 Lehti Trissel LA, Martinez JF.
Screening teniposide for Y-site physical incompatibilities.
Hosp Pharm 1994 ; 29: 1010-1017.
921 Lehti Trissel LA, Gilbert DL, Martinez JF.
Incompatibility and compatibility of amphotericin B cholesteryl sulfate complex with selected other drugs during simulated Y-site administration.
Hosp Pharm 1998 ; 33: 284-292.
999 Lehti Watson D.
Piggyback compatibility of antibiotics with pediatric parenteral nutrition solution.
JPEN 1985 ; 9: 220-224.
1022 Lehti Hutchinson SMW.
Heparin and aminoglycosides instability.
Drug Intell Clin Pharm 1986 ; 20: 886.
1035 Lehti Bisaillon S, Sarrazin R.
Compatibility of several antibiotics or hydrocortisone when added to metronidazole solution for intravenous infusion.
J Parenter Sci Technol 1983 ; 37: 129-132.
1047 Lehti Souney PF, Colucci RD, Mariani G, Campbell D.
Compatibility of magnesium sulfate solutions with various antibiotics during simulated Y-site injection.
Am J Hosp Pharm 1984 ; 41: 323-324.
1057 Lehti Cutie MR.
Compatibility of verapamil hydrochloride injection with commonly used additives.
Am J Hosp Pharm 1983 ; 40: 1205-1207.
1072 Lehti Saltsmann CL, Tom CM, Mitchell A, Fan JH, Gailey RA.
Compatibility of levofloxacin with 34 medications during simulated Y-site administration.
Am J Health-Syst Pharm 1999 ; 56: 1458-1459.
1201 Lehti Yuhas EM, Lofton FT, Rosenberg HA, Mayron D, Baldinus JG.
Cimetidine hydrochloride compatibility III: Room temperature stability in drug admixtures.
Am J Hosp Pharm 1981 ; 38: 1919-1922.
1315 Lehti Halpern NA, Colucci RD, Alicea M, Greenstein R.
Visual compatibility of enalaprilat with commonly used critical care medications during simulated Y-site injection.
Int J Pharm Clin Pharmacol Ther Tox 1989 ; 27: 294-297.
1410 Lehti Trissel LA, Martinez JF, Simmons M.
Compatibility of etoposide phosphate with selected drugs during simulated Y-site injection.
J Am Pharm Assoc 1999 ; 39: 141-145.
1415 Lehti Trissel L.A, Gilbert D.L, Martinez J.F, Baker M.B, Walter W.V, Mirtallo J.M.
Compatibility of medications with 3-in-1 parenteral nutrition admixtures.
JPEN 1999 ; 23: 67-74.
1423 Lehti Trissel LA, Martinez JF, Gilbert DL.
Compatibility of gemcitabine hyrochloride with 107 selected drugs during simulated Y-site injection.
J Am Pharm Assoc 1999 ; 39: 514-518.
1490 Lehti Halpern NA, Colucci RD, Alicea M, Greenstein R.
The compatibility of nicardipine hydrochloride injection with various ICU medications during simulated Y-site injection.
Int J Pharm Clin Pharmacol Ther Tox 1989 ; 27: 250-254.
1625 Lehti Trissel LA, Saenz C, Williams YW, Ingram D.
Incompatibilities of lansoprazole injection with other drugs during simulated Y-site coadministration.
Int J Pharm Compound 2001 ; 5: 314-321.
1712 Lehti Trissel LA, Saenz CA.
Compatibility screening of Precedex during simulated Y-site administration with other drugs.
Int J Pharm Compound 2002 ; 6: 230-233.
1713 Lehti Trissel LA, Saenz CA.
Compatibility screening of bivalirudin during simulated Y-site administration with other drugs.
Int J Pharm Compound 2002 ; 6: 311-315.
1721 Lehti Trissel LA, Williams KY, Baker MB.
Compatibility screening of Hextend during simulated Y-site administration with other drugs.
Int J Pharm Compound 2001 ; 5: 69-72.
1754 Lehti Trissel LA, Gilbert DL, Wolkin AC.
Compatibility of docetaxel with selected drugs during simulated Y-site administration.
Int J Pharm Compound 1999 ; 3: 241-244.
1759 Lehti Servais H, Tulkens PM.
Stability and compatibility of ceftazidime administered by continuous infusion to intensive care patients.
Antimicrob Agents Chemother 2001 ; 45: 2643-2647.
1800 Lehti Voytilla KL, Tyler LS, Rusho WJ.
Visual compatibility of azithromycin with 24 commonly used drugs during simulated Y-site delivery.
Am J Health-Syst Pharm 2002 ; 59: 853-855.
1803 Lehti Trissel, LA, Saenz CA, Ogundele OB, Ingram D, Baker MB.
Compatibility of fenoldopam mesylate with other drugs during simulated Y-site administration.
Am J Health-Syst Pharm 2003 ; 60: 80-85.
1816 Lehti Zhang Y, Trissel LA.
Stability of amikacin sulfate in autodose infusion system bags.
Int J Pharm Compound 2003 ; 7, 3: 230-232.
1868 Lehti Husson E, Crauste-Manciet S, Hadj-Salah E, ,Segier JC, Broissard D.
Stabilité galénique de mélanges commercialisés de nutrition parentérale en présence de médicaments: médicaments dans le mélange.
Nutr Clin Metab 2003 ; 17: 8-14.
1925 Lehti Trissel LA , Williams KY, Gilbert DL.
Compatibility screening of linezolid injection during simulated Y-site administration with other drugs and infusion solutions.
J Am Pharm Assoc 2000 ; 40: 515-519.
1953 Lehti Trissel LA, Saenz CA, Ogundele AB, Ingram DS.
Physical compatibility of pemetrexed disodium with other drugs during simulated Y-site administration.
Am J Health-Syst Pharm 2004 ; 61: 2289-2293.
1982 Lehti Trissel LA, Ogundele AB.
Compatibility of anidulafungin with other drugs during simulated Y-site administration.
Am J Health-Syst Pharm 2005 ; 62: 834-837.
2090 Lehti Pere H, Chasse V, Forest JM, Hildgen P.
Compatibility of injectable pantoprazole in Y-site administration.
Pharmactuel 2004 ; 37: 193-196.
2109 Lehti Pelletier E, Forest JM, Hildgen P.
Compatibilité de la kétamine injectable lors de l’administration en dérivé avec d’autres médicaments usuels.
Pharmactuel 2006 ; 39: 71-75.
2141 Lehti Barinian N, Chanteux H, Viaene E, Servais H, Tulkens PM.
Stability and compatibility study of cefepime in comparaison with ceftazidime for potential administration by continuous infusion under conditions pertinent to ambulatory treatment of cystic fibrosis patients and to administration in intensive care units.
J Antimicrob Chemother 2003 ; 51: 651-658.
2231 Lehti de Jongh R, Hens R, Basma V, mouton JW, Tulkens PM, Carryn S.
Continuous versus intermittent infusion of temocillin, a directed spectrum penicillin for intensive care patients with nosocomial pneumonia: stability, compatibility, population pharmacokinetic studies and breakpoint selection.
J Antimicrob Chemother 2008 ; 61, 2: 382-388.
2247 Lehti Chan P, Heatherly K, Kupiec T.C, Trissel L.A.
Compatibility of caspofungin acetate injection with other drugs during simulated Y-site coadministration.
Int J Pharm Compound 2008 ; 12, 3: 276-278.
2262 Lehti Brammer MK, Chan P, Heatherly K, Trusley C, Kupiec TC, Trissel LA, Psathas PA, Gilmor T, Schaufelberger D.
Compatibility of doripenem with other drugs during simulated Y-site administratioN
Am J Health-Syst Pharm 2008 ; 65: 1261-1265.
2269 Lehti Chan P, Bishop A, Kupiec TC, Trissel LA, Gole D, Jimidar IM, Vermeersch H.
Compatibility of ceftobiprole medocaril with selected drugs during simulated Y-site administration.
Am J Health-Syst Pharm 2008 ; 65, 16: 1545-1551.
2296 Laboratorio Témocilline (Negaban®) - Résumé des caractéristiques du produit
Eumedica 2017
3012 Lehti Sullivan T, Forrest J.M, Leclair G.
Compatibility of Cloxacillin Sodium with Selected Intravenous Drugs During Simulated Y-Site Administration
Hosp Pharm 2015 ; 50, 3: 214-220.
3216 Lehti Legris ME, Valiquette ME, Lavoie A, Forest JM, Leclair G.
Compatibilité physique par évaluation visuelle du salbutamol injectable lors de son administration en Y.
Pharmactuel 2011 ; 44, 1 : 14-18
3249 Lehti Singh BM, Dedhiya MG, Dinunzio J, Chan P, Kupiec TC, Trissel LA, Laudano JB.
Compatibility of ceftaroline fosamil for injection with selected drugs during simulated Y-site administration.
Am J Health-Syst Pharm 2011 ; 68: 2163-2169.
3332 Laboratorio Tigecycline (Tigacyl®) - Summary of Product characteristics
Pfizer 2012
3385 Lehti Raverdi V, Ampe E, Hecq JD, Tulkens PM.
Stability and compatibility of vancomycin for administration by continuous infusion.
J Antimicrob Chemother 2013 ; 68: 1179-1182.
3408 Lehti Tollec S, Touzin K, Pelletier E, Forest J.M.
Evaluation visuelle de la compatibilité physique de la naloxone avec d’autres médicaments intraveineux usuels.
Pharmactuel 2013 ; 46, 1 : 16-21.
3522 Laboratorio Flucloxacillin - Summary of Product Characteristics.
Actavis 2013
3523 Laboratorio Ceftriaxone (Rocephin®) - Summary of Product Characteristics.
Roche 2018
3526 Laboratorio Clindamycin (Dalacin®) - Summary of Product Characteristics
Pharmacia 2010
3527 Laboratorio Amoxicillin (Amoxil®) – Summary of Product Characteristics
Glaxo Smith Kline 2018
3540 Laboratorio Heparin sodium - Summary of Product Characteristics.
Wockhardt 2010
3543 Laboratorio Ceftazidime – Summary of Product Characteristics
Wockhardt 2013
3544 Laboratorio Cefoperazone (Cefobid®) - Summary of Product Characteristics
Pfizer 2006
3545 Laboratorio Amoxicilline / acide clavulanique - Résumé des caractéristiques du produit
Mylan SAS 2009
3546 Laboratorio Cefamandole Flavelab - Résumé des caractéristiques du produit
Panpharma SA 2007
3548 Laboratorio Cefepime (Maxipime®) - Summary of Product caracteristics.
Bristol Myers Squibb 2007
3549 Laboratorio Amikacine B Braun - Résumé des caractéristiques du produit.
B Braun 2012
3578 Laboratorio Cisplatin - Summary of Product Characteristics
Accord Healthcare 2011
3586 Laboratorio Piperacilline tazobactam Actavis® - Résumé des caractéristiques du produit
Actavis France 2010
3587 Laboratorio Ticarcilline/acide clavulanique (Timentin®) - Summary of Product Characteristics
GlaxoSmithKline 2014
3594 Laboratorio Metronidazole (Flagyl®) - Summary of Product Characteristics
Zentiva 2013
3644 Laboratorio Calcium gluconate® - Summary of Product Characteristics
Hameln Pharmaceuticals 2010
3656 Laboratorio Teicoplanine (Targocid®) - Résumé des caractéristiques du produit
Sanofi Aventis France 2014
3674 Laboratorio Erythromycin lactobionate - Summary of Product Characteristics
PanPharma 2016
3677 Laboratorio Cefpirome (Cefrom®) - Résumé des caractéristiques du produit
Sanofi Aventis France 2008
3687 Laboratorio Cefuroxime sodium - Summary of Product Characteristics
Stravencon 2013
3728 Lehti Correard F, Savry A, Gauthier-Villano L, Pisano P, Pourroy B.
Visual compatibility of defibrotide with selected drugs during simulated Y-site administration.
Am J Health-Syst Pharm 2014 ; 71: 1288-1291.
3766 Lehti Forrest J.M, Hildgen P.
Compatibilité de l’acétylcystéine injectable lors de son administration en Y avec d’autres médicaments usuels
Pharmactuel 2014 ; 47, 3 : 161-165.
3767 Lehti Legris M.E, Lavoie A, Forrest J.M, Hildgen P.
Compatibilité par évaluation visuelle du thiopental injectable lors de son administration en Y avec des médicaments usuels.
Pharmactuel 2014 ; 47, 3 : 167-172.
3791 ilmoitus Sadou Yaye H, Burtet E, Hamel C, Aljhni R, Gard C, Tilleul P.
Étude de la compatibilité physico-chimique du phloroglucinol injectable durant les mélanges au sein des tubulures en Y.
Apifh Congress, Paris November 2014 2014
3824 Lehti Boudi S, Roy H, Forest JM, Leclair G.
Compatibilité physique de l'association amoxicilline-acide clavulanique en injection avec plusieurs autres médicaments lors d'une administration en Y.
Pharmactuel 2023 2023;56,3:91-98
3827 ilmoitus Ghazi I.M, Hamada Y, Nicolau D.P.
Compatibility of tedizolid phosphate with selected intravenous drugs via simulated Y-site conditions.
ASHP Midyear 2015
3828 ilmoitus Thabit A.K, Hamada Y, Nicolau D.P.
Ceftozolane/tazobactam physical compatibility during simulated Y-site administration.
ASHP Midyear 2015
3829 ilmoitus So W, Kim L, Thabit A.K, Nicolau D.P, Kuti J.L.
Compatibility of isavunazonium sulfate during simulated Y-site administration.
ASHP Midyear 2015
3883 Laboratorio Ceftazidime - Résumé des caractéristiques du produit
Arrow 2016
3964 Lehti Audet M.A, Forest E, Friciu M, Forest J.M, Leclair G.
Compatibilité du citrate de caféine injectable avec plusieurs autres médicaments.
Pharmactuel 2017 ; 50,1 : 27-33.
4055 Lehti Monogue M, Almarzoky Abuhussain S, Kuti J, Nicolau D.
Physical compatibility of fosfomycin for injection with select i.v. drugs during simulated Y-site administration.
Am J Health-Syst Pharm 2018 , 75, 1:36-44
4319 Lehti Lessard J-J, Caron E, Schérer H, Forest J-M, Leclair G.
Compatibility of Y-site Injection of Meropenem Trihydrate With 101 Other Injectable Drugs.
Hosp Pharm 2020 ; 55, 5: 332-337.
4354 ilmoitus Sicard G, Donnette M, Martin N, Gensollen S, Pourroy B, Fanciullino R.
Compatibilité visuelle du Vyxeos lors d'administration en Y avec une sélection de médicaments injectables.
GERPAC Congress 2019 2019
4380 Laboratorio Posaconazole (Noxafil®) - Summary of Product Characteristics
Merck Sharp & Dohme Limited 2019
4389 Lehti Côté K, Correal F, Metras M.E, Friciu M, Forest J.M, Leclair G.
Compatibilité physique des médicaments administrés en Y aux soins intensifs, en particulier la dexmédétomidine, le lévosimendan et la kétamine.
Pharmactuel 2019 ;52,4:206-213
4419 Lehti Holt R.J, Siegert S.W.K, Krishna A.
Physical Compatibility of Ibuprofen Lysine Injection with Selected Drugs During Simulated Y-site Injection.
J Pediatr Pharmacol Ther 2008 ; 13, 3: 155-161.
4524 ilmoitus Stucki C, Sautter A-M, Bonnabry P.
Physical compatibility of the propofol emulsion with 33 drugs used in anaesthesiology.
ESCP Symposium, Geneva, Switzerland 2009
4528 Lehti Lu J, Liu Q, Kupiec T, Vail H, Lunch L, Fam D, Vu N.
Physical Compatibility of Cefiderocol with Selected Intravenous Drugs During Simulated Y-site Administration.
Int J Pharm Compound 2021 ;25,1:52-61
4603 Lehti Vallée M, Barthélémy I, Friciu M, Pelletier E, Forest J.M, Benoit F, Leclair G.
Compatibility of Lactated Ringer’s Injection With 94 Selected Intravenous Drugs During Simulated Y-site Administration.
Hosp Pharm 2021 ; 56, 4: 228-234.
4650 Laboratorio Ceftobiprole (Zevtera 500 mg powder for concentrate for solution for infusion.) Summary of Product Characteristics, Advanz Pharma updated 4 aug 2021.
Advanz Pharma 2021
4654 ilmoitus Sicard G, Donnette M, Martin N, Gensollen S, Pourroy B, Fanciullino R.
Compatibilité visuelle du Vyxeos® lors d'administration en Y avec une sélection de médicaments injectables.
Communication personnelle 2021
4742 Lehti Macoviciuc M, Nguyen C, Forest J-M, Leclair G.
Compatibilité physique de l’acétaminophène injectable avec 102 autres médicaments lors d’une administration en Y.
Pharmactuel 2022 ; 55, 4: 247-255.
4801 Lehti Ruiz V, Yuwei Shen Y, Abouelhassan Y, Fouad A, Nicolau D, Kuti J.
Physical compatibility of sulbactam/durlobactam with select intravenous drugs during simulated Y-site administration.
Am J Health-Syst Pharm 2024 ;51,1:
4867 ilmoitus Dazan D, Aït Taleb S, Laroyenne N, Hamam Y, Conreur L, Paoli-Lombardo R, Primas N, Lamy E, Castera-Ducros C, Curti C et al.
Etude des compatibilités entre la nalbuphine et d'autres principes actifs pour optimiser leur administration en service de pédiatrie.
CSH (SNPHPU) Congress sept 2024 2024
4964 Laboratorio GLUCONATE DE CALCIUM 10 % B.BRAUN, solution pour perfusion - Résumé des caractéristiques du produit.
B BRAUN MELSUNGEN AG 2019
5076 Laboratorio AMIKACINE PANPHARMA 250 mg/mL, solution injectable - Résumé des caractéristiques du produit.
Panmedica 2024

  Mentions Légales