zadnja posodobitev :
27/04/2026
Antibiotik   Piperacillin sodium / tazobactam  
Brizgalka
Stabilnost raztopine Stabilnost mešanice Faktorji, ki vplivajo na stabilnost Kompatibilnost način aplikacije Viri pdf
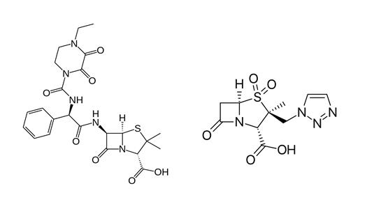
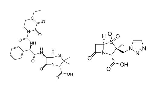
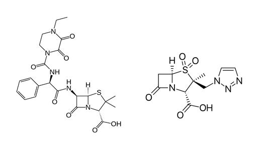
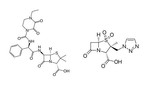
   Kemična formula  

Lastniško ime   Lastniško ime     

Sestava pomožnih snovi je med paralelami lahko različna

Bagotaz Argentina
Betampil Ekvador
Bioval Čile
Petezam Argentina
Piperac Nemčija
Piperacillin tazobactam Belgija, Kanada, Nemčija
Piperazam Brazilija
Pipetazo Čile
Pipitaz Avstrija
Pixamol Kolumbija
Tazobac Ekvador, Italija, Portugalska, Švica
Tazocel Španija
Tazocilline Francija
Tazocin Argentina, Avstralija, Brazilija, Danska, Egipt, Finska, Grčija, Hrvaška, Italija, Južnoafriška republika, Kolumbija, Luksemburg, Madžarska, Mehika, Nizozemska, Norveška, nova Zelandija, Peru, Poljska, Severna irska, Švedska, Turčija, Velika Britanija, Združeni arabski emirati
Tazonam Avstrija, Čile
Tazopip Avstralija
Tazpen Kolumbija, Mehika
Tazrobida Kolumbija
Tigux Čile
Tratac Čile
Trital Ekvador
Zosyn Japonska, Združene države Amerike
Stabilnost raztopine   Brizgalka   Stabilnost raztopine : Piperacillin sodium / tazobactam     
Vsebnik Topilo Koncentracija Temperatura Shranjevanje Trajanje stabilnosti Viri
Steklo Voda za injekcije 20/2,5 mg/ml 2-8°C Zaščiteno pred svetlobo
2 Dan
4922
 Stopnja dokaza D

Steklo NaCl 0.9% + fenol 0.4% 20/2,5 mg/ml 2-8°C Zaščiteno pred svetlobo
2 Dan
4922
 Stopnja dokaza D

Polivinil klorid Natrijev klorid 0,9% 20 / 2.5 mg/ml 23°C
72 čas
2345
 Stopnja dokaza A

Polivinil klorid Natrijev klorid 0,9% 20 / 2.5 mg/ml 5°C Zaščiteno pred svetlobo
28 Dan
2345
 Stopnja dokaza A

Polivinil klorid Natrijev klorid 0,9% 40 / 5 mg/ml 25°C Svetloba
4 Dan
2026
 Stopnja dokaza B

Polivinil klorid Natrijev klorid 0,9% 40 / 5 mg/ml 7°C Zaščiteno pred svetlobo
5 Dan
2026
 Stopnja dokaza B

Polivinil klorid Natrijev klorid 0,9% 80 / 10 mg/ml -15°C Zaščiteno pred svetlobo
30 Dan
274
 Stopnja dokaza D

Polivinil klorid Glukoza 5% 33.3 / 4.1 mg/ml -20°C Zaščiteno pred svetlobo
90 Dan
1946

Polivinil klorid Glukoza 5% 33.3 / 4.1 mg/ml 4°C Nedoločeno
35 Dan
1946

Polivinil klorid Glukoza 5% 80 / 10 mg/ml -15°C Zaščiteno pred svetlobo
30 Dan
274
 Stopnja dokaza D

Polivinil klorid Glukoza 5% 80 / 10 mg/ml 23°C
72 čas
2345
 Stopnja dokaza A

Polivinil klorid Glukoza 5% 80 / 10 mg/ml 5°C Zaščiteno pred svetlobo
28 Dan
2345
 Stopnja dokaza A

Poliolefin Natrijev klorid 0,9% 40 / 5 mg/ml 25°C Svetloba
3 Dan
2026
 Stopnja dokaza B

Poliolefin Natrijev klorid 0,9% 40 / 5 mg/ml 7°C Zaščiteno pred svetlobo
17 Dan
2026
 Stopnja dokaza B

Poliolefin Natrijev klorid 0,9% 50.6 / 6.3 mg/ml 2-8°C Nedoločeno
17 Dan
4620
 Stopnja dokaza A+

Poliolefin Natrijev klorid 0,9% 50.6 / 6.3 mg/ml 25°C Nedoločeno
3 čas
4620
 Stopnja dokaza A+

Poliolefin Glukoza 5% 33,3 / 4,1 mg/ml -20°C Zaščiteno pred svetlobo
90 Dan
4148
 Stopnja dokaza D

Poliolefin Glukoza 5% 33,3 / 4,1 mg/ml 2-8°C Nedoločeno
58 Dan
4148
 Stopnja dokaza D

Poliolefin Glukoza 5% 50.6 / 6.3 mg/ml 2-8°C Nedoločeno
17 Dan
4621
 Stopnja dokaza A+

Poliolefin Glukoza 5% 50.6 / 6.3 mg/ml 25°C Nedoločeno
3 čas
4621
 Stopnja dokaza A+

Brizgalka polipropilen Voda za injekcije 20/2,5 mg/ml 2-8°C Zaščiteno pred svetlobo
2 Dan
4922
 Stopnja dokaza D

Brizgalka polipropilen Natrijev klorid 0,9% 125/15,6 mg/ml 20-25°C Svetloba
48 čas
4634
 Stopnja dokaza C+

Brizgalka polipropilen Natrijev klorid 0,9% 150 / 18,75 mg/ml 4°C Zaščiteno pred svetlobo
7 Dan
274
 Stopnja dokaza D

Brizgalka polipropilen Natrijev klorid 0,9% 150 / 18.75 mg/ml -15°C Zaščiteno pred svetlobo
30 Dan
274
 Stopnja dokaza D

Brizgalka polipropilen Natrijev klorid 0,9% 150 / 18.75 mg/ml 25°C Nedoločeno
24 čas
274
 Stopnja dokaza D

Brizgalka polipropilen Natrijev klorid 0,9% 200 / 25 mg/ml -15°C Zaščiteno pred svetlobo
30 Dan
274
 Stopnja dokaza D

Brizgalka polipropilen Natrijev klorid 0,9% 200 / 25 mg/ml 25°C Nedoločeno
24 čas
274
 Stopnja dokaza D

Brizgalka polipropilen Natrijev klorid 0,9% 200 / 25 mg/ml 4°C Zaščiteno pred svetlobo
7 Dan
274
 Stopnja dokaza D

Brizgalka polipropilen Natrijev klorid 0,9% 80 / 10 mg/ml 25°C Svetloba
12 čas
4326
 Stopnja dokaza B

Brizgalka polipropilen Glukoza 5% 125/15,6 mg/ml 20-25°C Svetloba
48 čas
4634
 Stopnja dokaza C+

Brizgalka polipropilen Glukoza 5% 150 / 18,75 mg/ml 4°C Zaščiteno pred svetlobo
7 Dan
274
 Stopnja dokaza D

Brizgalka polipropilen Glukoza 5% 150 / 18.75 mg/ml -15°C Zaščiteno pred svetlobo
30 Dan
274
 Stopnja dokaza D

Brizgalka polipropilen Glukoza 5% 150 / 18.75 mg/ml 25°C Nedoločeno
24 čas
274
 Stopnja dokaza D

Brizgalka polipropilen Glukoza 5% 200 / 25 mg/ml -15°C Zaščiteno pred svetlobo
30 Dan
274
 Stopnja dokaza D

Brizgalka polipropilen Glukoza 5% 200 / 25 mg/ml 25°C Nedoločeno
24 čas
274
 Stopnja dokaza D

Brizgalka polipropilen Glukoza 5% 200 / 25 mg/ml 4°C Zaščiteno pred svetlobo
7 Dan
274
 Stopnja dokaza D

Brizgalka polipropilen NaCl 0.9% + fenol 0.4% 20/2,5 mg/ml 2-8°C Zaščiteno pred svetlobo
2 Dan
4922
 Stopnja dokaza D

Poliizoprenski elastomer Natrijev klorid 0,9% 50 / 6,25 mg/ml 32°C Zaščiteno pred svetlobo
24 čas
4850
 Stopnja dokaza A+

Poliizoprenski elastomer Natrijev klorid 0,9% 66,7/8,3 mg/ml 37°C Zaščiteno pred svetlobo
8 čas
4634
 Stopnja dokaza C+

Poliizoprenski elastomer Natrijev klorid 0,9% 80 / 10 & 10 / 1.25 mg/ml 25°C Nedoločeno
24 čas
604
Podatki stabilnosti proizvajalca

Poliizoprenski elastomer Natrijev klorid 0,9% 80 / 10 & 10 / 1.25 mg/ml 4°C Zaščiteno pred svetlobo
7 Dan
604
Podatki stabilnosti proizvajalca

Poliizoprenski elastomer Glukoza 5% 66,7/8,3 mg/ml 37°C Zaščiteno pred svetlobo
24 čas
4634
 Stopnja dokaza C+

Poliizoprenski elastomer Glukoza 5% 80 / 10 & 10 / 1.25 mg/ml 25°C Nedoločeno
24 čas
604
Podatki stabilnosti proizvajalca

Poliizoprenski elastomer Glukoza 5% 80 / 10 & 10 / 1.25 mg/ml 4°C Zaščiteno pred svetlobo
7 Dan
604
Podatki stabilnosti proizvajalca

Poliizoprenski elastomer NaCl 0,9% tamponski citrat 0,3% pH7 22 / 3 mg/ml 2-8°C Nedoločeno
13 Dan
4512
 Stopnja dokaza A+

Poliizoprenski elastomer NaCl 0,9% tamponski citrat 0,3% pH7 22 / 3 mg/ml 32°C Nedoločeno
24 čas
4512
 Stopnja dokaza A+

Poliizoprenski elastomer NaCl 0,9% tamponski citrat 0,3% pH7 80 / 10 mg/ml 2-8°C Nedoločeno
13 Dan
4512
 Stopnja dokaza A+

Poliizoprenski elastomer NaCl 0,9% tamponski citrat 0,3% pH7 80 / 10 mg/ml 32°C Nedoločeno
24 čas
4512
 Stopnja dokaza A+

Silikonski elastomer NaCl 0,9% tamponski citrat 0,3% pH7 22 / 3 mg/ml 2-8°C Nedoločeno
13 Dan
4512
 Stopnja dokaza A+

Silikonski elastomer NaCl 0,9% tamponski citrat 0,3% pH7 22 / 3 mg/ml 32°C Nedoločeno
24 čas
4512
 Stopnja dokaza A+

Silikonski elastomer NaCl 0,9% tamponski citrat 0,3% pH7 80 / 10 mg/ml 2-8°C Nedoločeno
13 Dan
4512
 Stopnja dokaza A+

Silikonski elastomer NaCl 0,9% tamponski citrat 0,3% pH7 80 / 10 mg/ml 32°C Nedoločeno
24 čas
4512
 Stopnja dokaza A+

Elastomer (nedoločeno) Voda za injekcije 128 / 16 mg/ml 25°C Nedoločeno
72 čas
2042
 Stopnja dokaza D

Elastomer (nedoločeno) Voda za injekcije 128 / 16 mg/ml 37°C Nedoločeno
24 čas
2042
 Stopnja dokaza D

Nedoločeno Natrijev klorid 0,9% 40 / 5 mg/ml 22-23°C Zaščiteno pred svetlobo
24 čas
4758
 Stopnja dokaza B

Nedoločeno Dianéal® PD2 4.25% Glukoza (Baxter) 0.2 / 0.025 mg/ml 23°C Nedoločeno
7 Dan
2451
 Stopnja dokaza A

Nedoločeno Dianéal® PD2 4.25% Glukoza (Baxter) 0.2 / 0.025 mg/ml 37°C Nedoločeno
24 čas
2451
 Stopnja dokaza A

Nedoločeno Dianéal® PD2 4.25% Glukoza (Baxter) 0.2 / 0.025 mg/ml 4°C Nedoločeno
14 Dan
2451
 Stopnja dokaza A

Nedoločeno Dianéal® PD2 1.5% Glukoza (Baxter) 0.2 / 0.025 mg/ml 23°C Nedoločeno
7 Dan
2451
 Stopnja dokaza A

Nedoločeno Dianéal® PD2 1.5% Glukoza (Baxter) 0.2 / 0.025 mg/ml 37°C Nedoločeno
24 čas
2451
 Stopnja dokaza A

Nedoločeno Dianéal® PD2 1.5% Glukoza (Baxter) 0.2 / 0.025 mg/ml 4°C Nedoločeno
14 Dan
2451
 Stopnja dokaza A


  Mentions Légales