Posledná aktualizácia :
17/12/2025
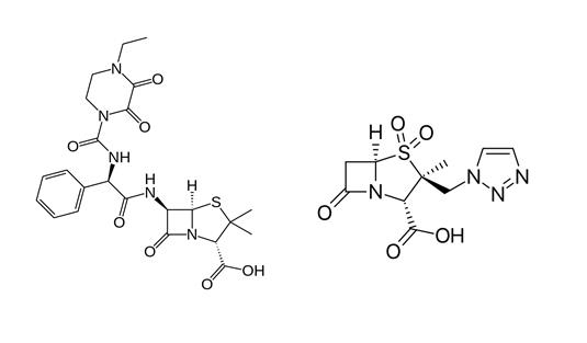
antibiotikum   Piperacillin sodium / tazobactam  
Injekcia
Stabilita roztokov Stabilita v zmesiach Faktory ovplyvňujúce stabilitu Kompatibility spôsob podania Odkazy na literatúru PDF
   Chemický vzorec  

Obchodný názov   Obchodný názov     

Obchodné názvy sú orientačné, a zloženie pomocných látok sa môže líšiť v závislosti od krajiny a výrobcu.

Bagotaz Argentína
Betampil Ekvádor
Bioval Čile
Petezam Argentína
Piperac Nemecko
Piperacillin tazobactam Belgicko, Kanada, Nemecko
Piperazam Brazília
Pipetazo Čile
Pipitaz Rakúsko
Pixamol Kolumbia
Tazobac Ekvádor, Portugalsko, Švajčiarsko, Taliansko
Tazocel Španielsko
Tazocilline Francúzsko
Tazocin Argentína, Austrália, Brazília, Chorvátsko, Dánsko, Egypt, Fínsko, Grécko, Holandsko, Juhoafrická republika, Kolumbia, Luxembursko, Maďarsko, Mexiko, Nórsko, nový Zéland, peru, Poľsko, Severné Írsko, Spojené arabské emiráty, Švédsko, Taliansko, Turecko, Veľká Británia
Tazonam Čile, Rakúsko
Tazopip Austrália
Tazpen Kolumbia, Mexiko
Tazrobida Kolumbia
Tigux Čile
Tratac Čile
Trital Ekvádor
Zosyn Japonsko, Spojené štáty Americké
Stabilita roztokov   Injekcia   Stabilita roztokov : Piperacillin sodium / tazobactam     
obal rozpúšťadlo koncentrácia teplota uchovávanie Trvanie stability odkazy na lieteratúru
Sklo voda na injekciu 20/2,5 mg/ml 2-8°C Chránené pred svetlom
2 dní
4922
Úroveň dôkazov D

Sklo NaCl 0.9% + fenol 0.4% 20/2,5 mg/ml 2-8°C Chránené pred svetlom
2 dní
4922
Úroveň dôkazov D

polyvinylchlorid (PVC) 0,9% chlorid sodný 20 / 2.5 mg/ml 23°C
72 hodín
2345
Úroveň dôkazov A

polyvinylchlorid (PVC) 0,9% chlorid sodný 20 / 2.5 mg/ml 5°C Chránené pred svetlom
28 dní
2345
Úroveň dôkazov A

polyvinylchlorid (PVC) 0,9% chlorid sodný 40 / 5 mg/ml 25°C Za svetla
4 dní
2026
Úroveň dôkazov B

polyvinylchlorid (PVC) 0,9% chlorid sodný 40 / 5 mg/ml 7°C Chránené pred svetlom
5 dní
2026
Úroveň dôkazov B

polyvinylchlorid (PVC) 0,9% chlorid sodný 80 / 10 mg/ml -15°C Chránené pred svetlom
30 dní
274
Úroveň dôkazov D

polyvinylchlorid (PVC) 0,9% chlorid sodný 80 / 10 mg/ml 25°C nešpecifikované
24 hodín
274
Úroveň dôkazov D

polyvinylchlorid (PVC) 0,9% chlorid sodný 80 / 10 mg/ml 4°C Chránené pred svetlom
7 dní
274
Úroveň dôkazov D

polyvinylchlorid (PVC) 5% glukóza 33.3 / 4.1 mg/ml -20°C Chránené pred svetlom
90 dní
1946

polyvinylchlorid (PVC) 5% glukóza 33.3 / 4.1 mg/ml 4°C nešpecifikované
35 dní
1946

polyvinylchlorid (PVC) 5% glukóza 80 / 10 mg/ml -15°C Chránené pred svetlom
30 dní
274
Úroveň dôkazov D

polyvinylchlorid (PVC) 5% glukóza 80 / 10 mg/ml 23°C
72 hodín
2345
Úroveň dôkazov A

polyvinylchlorid (PVC) 5% glukóza 80 / 10 mg/ml 25°C nešpecifikované
24 hodín
274
Úroveň dôkazov D

polyvinylchlorid (PVC) 5% glukóza 80 / 10 mg/ml 4°C Chránené pred svetlom
7 dní
274
Úroveň dôkazov D

polyvinylchlorid (PVC) 5% glukóza 80 / 10 mg/ml 5°C Chránené pred svetlom
28 dní
2345
Úroveň dôkazov A

polyolefín 0,9% chlorid sodný 40 / 5 mg/ml 25°C Za svetla
3 dní
2026
Úroveň dôkazov B

polyolefín 0,9% chlorid sodný 40 / 5 mg/ml 7°C Chránené pred svetlom
17 dní
2026
Úroveň dôkazov B

polyolefín 0,9% chlorid sodný 50.6 / 6.3 mg/ml 2-8°C nešpecifikované
17 dní
4620
Úroveň dôkazov A+

polyolefín 0,9% chlorid sodný 50.6 / 6.3 mg/ml 25°C nešpecifikované
3 hodín
4620
Úroveň dôkazov A+

polyolefín 5% glukóza 33,3 / 4,1 mg/ml -20°C Chránené pred svetlom
90 dní
4148
Úroveň dôkazov D

polyolefín 5% glukóza 33,3 / 4,1 mg/ml 2-8°C nešpecifikované
58 dní
4148
Úroveň dôkazov D

polyolefín 5% glukóza 50.6 / 6.3 mg/ml 2-8°C nešpecifikované
17 dní
4621
Úroveň dôkazov A+

polyolefín 5% glukóza 50.6 / 6.3 mg/ml 25°C nešpecifikované
3 hodín
4621
Úroveň dôkazov A+

Injekčná striekačka polypropylén voda na injekciu 20/2,5 mg/ml 2-8°C Chránené pred svetlom
2 dní
4922
Úroveň dôkazov D

Injekčná striekačka polypropylén 0,9% chlorid sodný 125/15,6 mg/ml 20-25°C Za svetla
48 hodín
4634
Úroveň dôkazov C+

Injekčná striekačka polypropylén 0,9% chlorid sodný 150 / 18,75 mg/ml 4°C Chránené pred svetlom
7 dní
274
Úroveň dôkazov D

Injekčná striekačka polypropylén 0,9% chlorid sodný 150 / 18.75 mg/ml -15°C Chránené pred svetlom
30 dní
274
Úroveň dôkazov D

Injekčná striekačka polypropylén 0,9% chlorid sodný 150 / 18.75 mg/ml 25°C nešpecifikované
24 hodín
274
Úroveň dôkazov D

Injekčná striekačka polypropylén 0,9% chlorid sodný 200 / 25 mg/ml -15°C Chránené pred svetlom
30 dní
274
Úroveň dôkazov D

Injekčná striekačka polypropylén 0,9% chlorid sodný 200 / 25 mg/ml 25°C nešpecifikované
24 hodín
274
Úroveň dôkazov D

Injekčná striekačka polypropylén 0,9% chlorid sodný 200 / 25 mg/ml 4°C Chránené pred svetlom
7 dní
274
Úroveň dôkazov D

Injekčná striekačka polypropylén 0,9% chlorid sodný 80 / 10 mg/ml 25°C Za svetla
12 hodín
4326
Úroveň dôkazov B

Injekčná striekačka polypropylén 5% glukóza 125/15,6 mg/ml 20-25°C Za svetla
48 hodín
4634
Úroveň dôkazov C+

Injekčná striekačka polypropylén 5% glukóza 150 / 18,75 mg/ml 4°C Chránené pred svetlom
7 dní
274
Úroveň dôkazov D

Injekčná striekačka polypropylén 5% glukóza 150 / 18.75 mg/ml -15°C Chránené pred svetlom
30 dní
274
Úroveň dôkazov D

Injekčná striekačka polypropylén 5% glukóza 150 / 18.75 mg/ml 25°C nešpecifikované
24 hodín
274
Úroveň dôkazov D

Injekčná striekačka polypropylén 5% glukóza 200 / 25 mg/ml -15°C Chránené pred svetlom
30 dní
274
Úroveň dôkazov D

Injekčná striekačka polypropylén 5% glukóza 200 / 25 mg/ml 25°C nešpecifikované
24 hodín
274
Úroveň dôkazov D

Injekčná striekačka polypropylén 5% glukóza 200 / 25 mg/ml 4°C Chránené pred svetlom
7 dní
274
Úroveň dôkazov D

Injekčná striekačka polypropylén NaCl 0.9% + fenol 0.4% 20/2,5 mg/ml 2-8°C Chránené pred svetlom
2 dní
4922
Úroveň dôkazov D

Polyizoprénový elastomer 0,9% chlorid sodný 50 / 6,25 mg/ml 32°C Chránené pred svetlom
24 hodín
4850
Úroveň dôkazov A+

Polyizoprénový elastomer 0,9% chlorid sodný 66,7/8,3 mg/ml 37°C Chránené pred svetlom
8 hodín
4634
Úroveň dôkazov C+

Polyizoprénový elastomer 0,9% chlorid sodný 80 / 10 & 10 / 1.25 mg/ml 25°C nešpecifikované
24 hodín
604
Údaje o stabilite od výrobcu

Polyizoprénový elastomer 0,9% chlorid sodný 80 / 10 & 10 / 1.25 mg/ml 4°C Chránené pred svetlom
7 dní
604
Údaje o stabilite od výrobcu

Polyizoprénový elastomer 5% glukóza 66,7/8,3 mg/ml 37°C Chránené pred svetlom
24 hodín
4634
Úroveň dôkazov C+

Polyizoprénový elastomer 5% glukóza 80 / 10 & 10 / 1.25 mg/ml 25°C nešpecifikované
24 hodín
604
Údaje o stabilite od výrobcu

Polyizoprénový elastomer 5% glukóza 80 / 10 & 10 / 1.25 mg/ml 4°C Chránené pred svetlom
7 dní
604
Údaje o stabilite od výrobcu

Polyizoprénový elastomer NaCl 0,9% tampon citrát 0,3% pH7 22 / 3 mg/ml 2-8°C nešpecifikované
13 dní
4512
Úroveň dôkazov A+

Polyizoprénový elastomer NaCl 0,9% tampon citrát 0,3% pH7 22 / 3 mg/ml 32°C nešpecifikované
24 hodín
4512
Úroveň dôkazov A+

Polyizoprénový elastomer NaCl 0,9% tampon citrát 0,3% pH7 80 / 10 mg/ml 2-8°C nešpecifikované
13 dní
4512
Úroveň dôkazov A+

Polyizoprénový elastomer NaCl 0,9% tampon citrát 0,3% pH7 80 / 10 mg/ml 32°C nešpecifikované
24 hodín
4512
Úroveň dôkazov A+

Silikónový elastomer NaCl 0,9% tampon citrát 0,3% pH7 22 / 3 mg/ml 2-8°C nešpecifikované
13 dní
4512
Úroveň dôkazov A+

Silikónový elastomer NaCl 0,9% tampon citrát 0,3% pH7 22 / 3 mg/ml 32°C nešpecifikované
24 hodín
4512
Úroveň dôkazov A+

Silikónový elastomer NaCl 0,9% tampon citrát 0,3% pH7 80 / 10 mg/ml 2-8°C nešpecifikované
13 dní
4512
Úroveň dôkazov A+

Silikónový elastomer NaCl 0,9% tampon citrát 0,3% pH7 80 / 10 mg/ml 32°C nešpecifikované
24 hodín
4512
Úroveň dôkazov A+

Elastomer (nešpecifikovaný) voda na injekciu 128 / 16 mg/ml 25°C nešpecifikované
72 hodín
2042
Úroveň dôkazov D

Elastomer (nešpecifikovaný) voda na injekciu 128 / 16 mg/ml 37°C nešpecifikované
24 hodín
2042
Úroveň dôkazov D

nešpecifikované 0,9% chlorid sodný 40 / 5 mg/ml 22-23°C Chránené pred svetlom
24 hodín
4758
Úroveň dôkazov B

nešpecifikované Dianéal® PD2 4.25% glukóza (Baxter) 0.2 / 0.025 mg/ml 23°C nešpecifikované
7 dní
2451
Úroveň dôkazov A

nešpecifikované Dianéal® PD2 4.25% glukóza (Baxter) 0.2 / 0.025 mg/ml 37°C nešpecifikované
24 hodín
2451
Úroveň dôkazov A

nešpecifikované Dianéal® PD2 4.25% glukóza (Baxter) 0.2 / 0.025 mg/ml 4°C nešpecifikované
14 dní
2451
Úroveň dôkazov A

nešpecifikované Dianéal® PD2 1.5% glukóza (Baxter) 0.2 / 0.025 mg/ml 23°C nešpecifikované
7 dní
2451
Úroveň dôkazov A

nešpecifikované Dianéal® PD2 1.5% glukóza (Baxter) 0.2 / 0.025 mg/ml 37°C nešpecifikované
24 hodín
2451
Úroveň dôkazov A

nešpecifikované Dianéal® PD2 1.5% glukóza (Baxter) 0.2 / 0.025 mg/ml 4°C nešpecifikované
14 dní
2451
Úroveň dôkazov A


  Mentions Légales