Ostatnia aktualizacja :
12/12/2025
Antybiotyk   Piperacillin sodium / tazobactam  
Injekcje
Trwałość roztworów Trwałość w mieszaninie Czynnik wpływający na trwałość Zgodność Sposób podania Bibliografia pdf
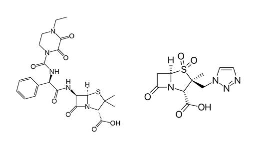
   Struktura chemiczna  

Nazwa handlowa   Nazwa handlowa     

Trade names are indicative and excipients composition can be different depending on the country and manufacturers

Bagotaz Argentyna
Betampil Ekwador
Bioval Chile
Petezam Argentyna
Piperac Niemcy
Piperacillin tazobactam Belgia, Kanada, Niemcy
Piperazam Brazylia
Pipetazo Chile
Pipitaz Austria
Pixamol KolumbiaKolumbia
Tazobac Ekwador, Portugalia, Szwajcaria, Włochy
Tazocel Hiszpania
Tazocilline Francja
Tazocin Afryka Południowa, Argentyna, Australia, Brazylia, Chorwacja, Dania, Egipt, Finlandia, Grecja, Holandia, Irlandia Północna, KolumbiaKolumbia, Luksemburg, Meksyk, Norwegia, nowa Zelandia, Peru, Polska, Szwecja, Turcja, Węgry, Wielka Brytania, Włochy, Zjednoczone Emiraty Arabskie
Tazonam Austria, Chile
Tazopip Australia
Tazpen KolumbiaKolumbia, Meksyk
Tazrobida KolumbiaKolumbia
Tigux Chile
Tratac Chile
Trital Ekwador
Zosyn Japonia, Stany Zjednoczone Ameryki
Trwałość roztworów   Injekcje   Trwałość roztworów : Piperacillin sodium / tazobactam     
Pojemnik Rozpuszczalnik Stężenie Temperatura Przechowywanie Czas trwania stabilności Bibliografia
Szkło Woda do wstrzyknięć 20/2,5 mg/ml 2-8°C Chronić od światła
2 Dzień
4922
Poziom wiarygodności D

Szkło NaCl 0.9% + fenol 0.4% 20/2,5 mg/ml 2-8°C Chronić od światła
2 Dzień
4922
Poziom wiarygodności D

Polichlorek winylu Chlorek sodu 0,9% 20 / 2.5 mg/ml 23°C
72 Godzina
2345
Poziom wiarygodności A

Polichlorek winylu Chlorek sodu 0,9% 20 / 2.5 mg/ml 5°C Chronić od światła
28 Dzień
2345
Poziom wiarygodności A

Polichlorek winylu Chlorek sodu 0,9% 40 / 5 mg/ml 25°C światło
4 Dzień
2026
Poziom wiarygodności B

Polichlorek winylu Chlorek sodu 0,9% 40 / 5 mg/ml 7°C Chronić od światła
5 Dzień
2026
Poziom wiarygodności B

Polichlorek winylu Chlorek sodu 0,9% 80 / 10 mg/ml -15°C Chronić od światła
30 Dzień
274
Poziom wiarygodności D

Polichlorek winylu Chlorek sodu 0,9% 80 / 10 mg/ml 25°C Nie wyszczególniony
24 Godzina
274
Poziom wiarygodności D

Polichlorek winylu Chlorek sodu 0,9% 80 / 10 mg/ml 4°C Chronić od światła
7 Dzień
274
Poziom wiarygodności D

Polichlorek winylu Glukoza 5% 33.3 / 4.1 mg/ml -20°C Chronić od światła
90 Dzień
1946

Polichlorek winylu Glukoza 5% 33.3 / 4.1 mg/ml 4°C Nie wyszczególniony
35 Dzień
1946

Polichlorek winylu Glukoza 5% 80 / 10 mg/ml -15°C Chronić od światła
30 Dzień
274
Poziom wiarygodności D

Polichlorek winylu Glukoza 5% 80 / 10 mg/ml 23°C
72 Godzina
2345
Poziom wiarygodności A

Polichlorek winylu Glukoza 5% 80 / 10 mg/ml 25°C Nie wyszczególniony
24 Godzina
274
Poziom wiarygodności D

Polichlorek winylu Glukoza 5% 80 / 10 mg/ml 4°C Chronić od światła
7 Dzień
274
Poziom wiarygodności D

Polichlorek winylu Glukoza 5% 80 / 10 mg/ml 5°C Chronić od światła
28 Dzień
2345
Poziom wiarygodności A

Poliolefina Chlorek sodu 0,9% 40 / 5 mg/ml 25°C światło
3 Dzień
2026
Poziom wiarygodności B

Poliolefina Chlorek sodu 0,9% 40 / 5 mg/ml 7°C Chronić od światła
17 Dzień
2026
Poziom wiarygodności B

Poliolefina Chlorek sodu 0,9% 50.6 / 6.3 mg/ml 2-8°C Nie wyszczególniony
17 Dzień
4620
Poziom wiarygodności A+

Poliolefina Chlorek sodu 0,9% 50.6 / 6.3 mg/ml 25°C Nie wyszczególniony
3 Godzina
4620
Poziom wiarygodności A+

Poliolefina Glukoza 5% 33,3 / 4,1 mg/ml -20°C Chronić od światła
90 Dzień
4148
Poziom wiarygodności D

Poliolefina Glukoza 5% 33,3 / 4,1 mg/ml 2-8°C Nie wyszczególniony
58 Dzień
4148
Poziom wiarygodności D

Poliolefina Glukoza 5% 50.6 / 6.3 mg/ml 2-8°C Nie wyszczególniony
17 Dzień
4621
Poziom wiarygodności A+

Poliolefina Glukoza 5% 50.6 / 6.3 mg/ml 25°C Nie wyszczególniony
3 Godzina
4621
Poziom wiarygodności A+

Strzykawka Woda do wstrzyknięć 20/2,5 mg/ml 2-8°C Chronić od światła
2 Dzień
4922
Poziom wiarygodności D

Strzykawka Chlorek sodu 0,9% 125/15,6 mg/ml 20-25°C światło
48 Godzina
4634
Poziom wiarygodności C+

Strzykawka Chlorek sodu 0,9% 150 / 18,75 mg/ml 4°C Chronić od światła
7 Dzień
274
Poziom wiarygodności D

Strzykawka Chlorek sodu 0,9% 150 / 18.75 mg/ml -15°C Chronić od światła
30 Dzień
274
Poziom wiarygodności D

Strzykawka Chlorek sodu 0,9% 150 / 18.75 mg/ml 25°C Nie wyszczególniony
24 Godzina
274
Poziom wiarygodności D

Strzykawka Chlorek sodu 0,9% 200 / 25 mg/ml -15°C Chronić od światła
30 Dzień
274
Poziom wiarygodności D

Strzykawka Chlorek sodu 0,9% 200 / 25 mg/ml 25°C Nie wyszczególniony
24 Godzina
274
Poziom wiarygodności D

Strzykawka Chlorek sodu 0,9% 200 / 25 mg/ml 4°C Chronić od światła
7 Dzień
274
Poziom wiarygodności D

Strzykawka Chlorek sodu 0,9% 80 / 10 mg/ml 25°C światło
12 Godzina
4326
Poziom wiarygodności B

Strzykawka Glukoza 5% 125/15,6 mg/ml 20-25°C światło
48 Godzina
4634
Poziom wiarygodności C+

Strzykawka Glukoza 5% 150 / 18,75 mg/ml 4°C Chronić od światła
7 Dzień
274
Poziom wiarygodności D

Strzykawka Glukoza 5% 150 / 18.75 mg/ml -15°C Chronić od światła
30 Dzień
274
Poziom wiarygodności D

Strzykawka Glukoza 5% 150 / 18.75 mg/ml 25°C Nie wyszczególniony
24 Godzina
274
Poziom wiarygodności D

Strzykawka Glukoza 5% 200 / 25 mg/ml -15°C Chronić od światła
30 Dzień
274
Poziom wiarygodności D

Strzykawka Glukoza 5% 200 / 25 mg/ml 25°C Nie wyszczególniony
24 Godzina
274
Poziom wiarygodności D

Strzykawka Glukoza 5% 200 / 25 mg/ml 4°C Chronić od światła
7 Dzień
274
Poziom wiarygodności D

Strzykawka NaCl 0.9% + fenol 0.4% 20/2,5 mg/ml 2-8°C Chronić od światła
2 Dzień
4922
Poziom wiarygodności D

Elastomer poliizoprenowy Chlorek sodu 0,9% 50 / 6,25 mg/ml 32°C Chronić od światła
24 Godzina
4850
Poziom wiarygodności A+

Elastomer poliizoprenowy Chlorek sodu 0,9% 66,7/8,3 mg/ml 37°C Chronić od światła
8 Godzina
4634
Poziom wiarygodności C+

Elastomer poliizoprenowy Chlorek sodu 0,9% 80 / 10 & 10 / 1.25 mg/ml 25°C Nie wyszczególniony
24 Godzina
604
Dane stabilności producenta

Elastomer poliizoprenowy Chlorek sodu 0,9% 80 / 10 & 10 / 1.25 mg/ml 4°C Chronić od światła
7 Dzień
604
Dane stabilności producenta

Elastomer poliizoprenowy Glukoza 5% 66,7/8,3 mg/ml 37°C Chronić od światła
24 Godzina
4634
Poziom wiarygodności C+

Elastomer poliizoprenowy Glukoza 5% 80 / 10 & 10 / 1.25 mg/ml 25°C Nie wyszczególniony
24 Godzina
604
Dane stabilności producenta

Elastomer poliizoprenowy Glukoza 5% 80 / 10 & 10 / 1.25 mg/ml 4°C Chronić od światła
7 Dzień
604
Dane stabilności producenta

Elastomer poliizoprenowy NaCl 0,9% cytrynian tamponu 0,3% pH 7 22 / 3 mg/ml 2-8°C Nie wyszczególniony
13 Dzień
4512
Poziom wiarygodności A+

Elastomer poliizoprenowy NaCl 0,9% cytrynian tamponu 0,3% pH 7 22 / 3 mg/ml 32°C Nie wyszczególniony
24 Godzina
4512
Poziom wiarygodności A+

Elastomer poliizoprenowy NaCl 0,9% cytrynian tamponu 0,3% pH 7 80 / 10 mg/ml 2-8°C Nie wyszczególniony
13 Dzień
4512
Poziom wiarygodności A+

Elastomer poliizoprenowy NaCl 0,9% cytrynian tamponu 0,3% pH 7 80 / 10 mg/ml 32°C Nie wyszczególniony
24 Godzina
4512
Poziom wiarygodności A+

Elastomer silikonowy NaCl 0,9% cytrynian tamponu 0,3% pH 7 22 / 3 mg/ml 2-8°C Nie wyszczególniony
13 Dzień
4512
Poziom wiarygodności A+

Elastomer silikonowy NaCl 0,9% cytrynian tamponu 0,3% pH 7 22 / 3 mg/ml 32°C Nie wyszczególniony
24 Godzina
4512
Poziom wiarygodności A+

Elastomer silikonowy NaCl 0,9% cytrynian tamponu 0,3% pH 7 80 / 10 mg/ml 2-8°C Nie wyszczególniony
13 Dzień
4512
Poziom wiarygodności A+

Elastomer silikonowy NaCl 0,9% cytrynian tamponu 0,3% pH 7 80 / 10 mg/ml 32°C Nie wyszczególniony
24 Godzina
4512
Poziom wiarygodności A+

Elastomer (nieokreślony) Woda do wstrzyknięć 128 / 16 mg/ml 25°C Nie wyszczególniony
72 Godzina
2042
Poziom wiarygodności D

Elastomer (nieokreślony) Woda do wstrzyknięć 128 / 16 mg/ml 37°C Nie wyszczególniony
24 Godzina
2042
Poziom wiarygodności D

Brak informacji Chlorek sodu 0,9% 40 / 5 mg/ml 22-23°C Chronić od światła
24 Godzina
4758
Poziom wiarygodności B

Brak informacji Dianéal® PD2 4.25% Glukoza (Baxter) 0.2 / 0.025 mg/ml 23°C Nie wyszczególniony
7 Dzień
2451
Poziom wiarygodności A

Brak informacji Dianéal® PD2 4.25% Glukoza (Baxter) 0.2 / 0.025 mg/ml 37°C Nie wyszczególniony
24 Godzina
2451
Poziom wiarygodności A

Brak informacji Dianéal® PD2 4.25% Glukoza (Baxter) 0.2 / 0.025 mg/ml 4°C Nie wyszczególniony
14 Dzień
2451
Poziom wiarygodności A

Brak informacji Dianéal® PD2 1.5% Glukoza (Baxter) 0.2 / 0.025 mg/ml 23°C Nie wyszczególniony
7 Dzień
2451
Poziom wiarygodności A

Brak informacji Dianéal® PD2 1.5% Glukoza (Baxter) 0.2 / 0.025 mg/ml 37°C Nie wyszczególniony
24 Godzina
2451
Poziom wiarygodności A

Brak informacji Dianéal® PD2 1.5% Glukoza (Baxter) 0.2 / 0.025 mg/ml 4°C Nie wyszczególniony
14 Dzień
2451
Poziom wiarygodności A


  Mentions Légales