Ultimo aggiornamento :
27/04/2026
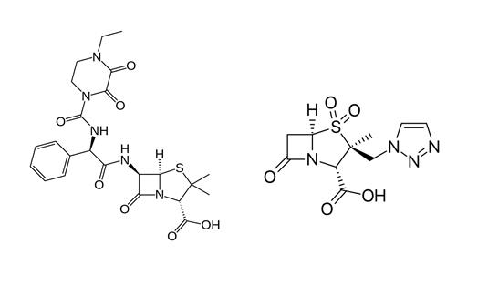
Antibiotico   Piperacillin sodium / tazobactam  
Iniezione
Stabilità in soluzione Stabilità in miscela Fattori che influenzano la stabilità Compatibilità metodo di iniezione Bibliografia pdf
   Struttura chimica  

Nome commerciale   Nome commerciale     

Trade names are indicative and excipients composition can be different depending on the country and manufacturers

Bagotaz Argentina
Betampil Ecuador
Bioval Chile
Petezam Argentina
Piperac Germania
Piperacillin tazobactam Belgio, Canada, Germania
Piperazam Brasile
Pipetazo Chile
Pipitaz Austria
Pixamol Colombia
Tazobac Ecuador, Italia, Portogallo, Svizzera
Tazocel Spagna
Tazocilline Francia
Tazocin Africa del Sud, Argentina, Australia, Brasile, Colombia, Croazia, Danimarca, Egitto, Emirati Arabi Uniti, Finlandia, Gran Bretagna, Grecia, Irlanda del Nord, Italia, Lussemburgo, Messico, Norvegia, nuova Zelanda, Paesi Bassi, Perù, Polonia, Svezia, Turchia, Ungheria
Tazonam Austria, Chile
Tazopip Australia
Tazpen Colombia, Messico
Tazrobida Colombia
Tigux Chile
Tratac Chile
Trital Ecuador
Zosyn Giappone, Stati Uniti d’America
Stabilità in soluzione   Iniezione   Stabilità in soluzione : Piperacillin sodium / tazobactam     
contenitore Solvente Concentrazione Temperatura Conservazione Durata della stabilità Bibliografia
Vetro Acqua per preparato iniettabile 20/2,5 mg/ml 2-8°C Al riparo dalla luce
2 Giorno
4922
Livello di evidenza D

Vetro NaCl 0.9% + fenolo 0.4% 20/2,5 mg/ml 2-8°C Al riparo dalla luce
2 Giorno
4922
Livello di evidenza D

Cloruro di polivinile Cloruro di sodio 0,9% 20 / 2.5 mg/ml 23°C
72 Ora
2345
Livello di evidenza A

Cloruro di polivinile Cloruro di sodio 0,9% 20 / 2.5 mg/ml 5°C Al riparo dalla luce
28 Giorno
2345
Livello di evidenza A

Cloruro di polivinile Cloruro di sodio 0,9% 40 / 5 mg/ml 25°C Luce
4 Giorno
2026
Livello di evidenza B

Cloruro di polivinile Cloruro di sodio 0,9% 40 / 5 mg/ml 7°C Al riparo dalla luce
5 Giorno
2026
Livello di evidenza B

Cloruro di polivinile Cloruro di sodio 0,9% 80 / 10 mg/ml -15°C Al riparo dalla luce
30 Giorno
274
Livello di evidenza D

Cloruro di polivinile Glucosio 5% 33.3 / 4.1 mg/ml -20°C Al riparo dalla luce
90 Giorno
1946

Cloruro di polivinile Glucosio 5% 33.3 / 4.1 mg/ml 4°C Non precisata
35 Giorno
1946

Cloruro di polivinile Glucosio 5% 80 / 10 mg/ml -15°C Al riparo dalla luce
30 Giorno
274
Livello di evidenza D

Cloruro di polivinile Glucosio 5% 80 / 10 mg/ml 23°C
72 Ora
2345
Livello di evidenza A

Cloruro di polivinile Glucosio 5% 80 / 10 mg/ml 5°C Al riparo dalla luce
28 Giorno
2345
Livello di evidenza A

Poliolefina Cloruro di sodio 0,9% 40 / 5 mg/ml 25°C Luce
3 Giorno
2026
Livello di evidenza B

Poliolefina Cloruro di sodio 0,9% 40 / 5 mg/ml 7°C Al riparo dalla luce
17 Giorno
2026
Livello di evidenza B

Poliolefina Cloruro di sodio 0,9% 50.6 / 6.3 mg/ml 2-8°C Non precisata
17 Giorno
4620
Livello di evidenza A+

Poliolefina Cloruro di sodio 0,9% 50.6 / 6.3 mg/ml 25°C Non precisata
3 Ora
4620
Livello di evidenza A+

Poliolefina Glucosio 5% 33,3 / 4,1 mg/ml -20°C Al riparo dalla luce
90 Giorno
4148
Livello di evidenza D

Poliolefina Glucosio 5% 33,3 / 4,1 mg/ml 2-8°C Non precisata
58 Giorno
4148
Livello di evidenza D

Poliolefina Glucosio 5% 50.6 / 6.3 mg/ml 2-8°C Non precisata
17 Giorno
4621
Livello di evidenza A+

Poliolefina Glucosio 5% 50.6 / 6.3 mg/ml 25°C Non precisata
3 Ora
4621
Livello di evidenza A+

siringa polipropilene Acqua per preparato iniettabile 20/2,5 mg/ml 2-8°C Al riparo dalla luce
2 Giorno
4922
Livello di evidenza D

siringa polipropilene Cloruro di sodio 0,9% 125/15,6 mg/ml 20-25°C Luce
48 Ora
4634
Livello di evidenza C+

siringa polipropilene Cloruro di sodio 0,9% 150 / 18,75 mg/ml 4°C Al riparo dalla luce
7 Giorno
274
Livello di evidenza D

siringa polipropilene Cloruro di sodio 0,9% 150 / 18.75 mg/ml -15°C Al riparo dalla luce
30 Giorno
274
Livello di evidenza D

siringa polipropilene Cloruro di sodio 0,9% 150 / 18.75 mg/ml 25°C Non precisata
24 Ora
274
Livello di evidenza D

siringa polipropilene Cloruro di sodio 0,9% 200 / 25 mg/ml -15°C Al riparo dalla luce
30 Giorno
274
Livello di evidenza D

siringa polipropilene Cloruro di sodio 0,9% 200 / 25 mg/ml 25°C Non precisata
24 Ora
274
Livello di evidenza D

siringa polipropilene Cloruro di sodio 0,9% 200 / 25 mg/ml 4°C Al riparo dalla luce
7 Giorno
274
Livello di evidenza D

siringa polipropilene Cloruro di sodio 0,9% 80 / 10 mg/ml 25°C Luce
12 Ora
4326
Livello di evidenza B

siringa polipropilene Glucosio 5% 125/15,6 mg/ml 20-25°C Luce
48 Ora
4634
Livello di evidenza C+

siringa polipropilene Glucosio 5% 150 / 18,75 mg/ml 4°C Al riparo dalla luce
7 Giorno
274
Livello di evidenza D

siringa polipropilene Glucosio 5% 150 / 18.75 mg/ml -15°C Al riparo dalla luce
30 Giorno
274
Livello di evidenza D

siringa polipropilene Glucosio 5% 150 / 18.75 mg/ml 25°C Non precisata
24 Ora
274
Livello di evidenza D

siringa polipropilene Glucosio 5% 200 / 25 mg/ml -15°C Al riparo dalla luce
30 Giorno
274
Livello di evidenza D

siringa polipropilene Glucosio 5% 200 / 25 mg/ml 25°C Non precisata
24 Ora
274
Livello di evidenza D

siringa polipropilene Glucosio 5% 200 / 25 mg/ml 4°C Al riparo dalla luce
7 Giorno
274
Livello di evidenza D

siringa polipropilene NaCl 0.9% + fenolo 0.4% 20/2,5 mg/ml 2-8°C Al riparo dalla luce
2 Giorno
4922
Livello di evidenza D

Elastomero poliisoprenico Cloruro di sodio 0,9% 50 / 6,25 mg/ml 32°C Al riparo dalla luce
24 Ora
4850
Livello di evidenza A+

Elastomero poliisoprenico Cloruro di sodio 0,9% 66,7/8,3 mg/ml 37°C Al riparo dalla luce
8 Ora
4634
Livello di evidenza C+

Elastomero poliisoprenico Cloruro di sodio 0,9% 80 / 10 & 10 / 1.25 mg/ml 25°C Non precisata
24 Ora
604
Dati di stabilità del produttore

Elastomero poliisoprenico Cloruro di sodio 0,9% 80 / 10 & 10 / 1.25 mg/ml 4°C Al riparo dalla luce
7 Giorno
604
Dati di stabilità del produttore

Elastomero poliisoprenico Glucosio 5% 66,7/8,3 mg/ml 37°C Al riparo dalla luce
24 Ora
4634
Livello di evidenza C+

Elastomero poliisoprenico Glucosio 5% 80 / 10 & 10 / 1.25 mg/ml 25°C Non precisata
24 Ora
604
Dati di stabilità del produttore

Elastomero poliisoprenico Glucosio 5% 80 / 10 & 10 / 1.25 mg/ml 4°C Al riparo dalla luce
7 Giorno
604
Dati di stabilità del produttore

Elastomero poliisoprenico NaCl tampone allo 0,9% citrato 0,3% pH7 22 / 3 mg/ml 2-8°C Non precisata
13 Giorno
4512
Livello di evidenza A+

Elastomero poliisoprenico NaCl tampone allo 0,9% citrato 0,3% pH7 22 / 3 mg/ml 32°C Non precisata
24 Ora
4512
Livello di evidenza A+

Elastomero poliisoprenico NaCl tampone allo 0,9% citrato 0,3% pH7 80 / 10 mg/ml 2-8°C Non precisata
13 Giorno
4512
Livello di evidenza A+

Elastomero poliisoprenico NaCl tampone allo 0,9% citrato 0,3% pH7 80 / 10 mg/ml 32°C Non precisata
24 Ora
4512
Livello di evidenza A+

Elastomero siliconico NaCl tampone allo 0,9% citrato 0,3% pH7 22 / 3 mg/ml 2-8°C Non precisata
13 Giorno
4512
Livello di evidenza A+

Elastomero siliconico NaCl tampone allo 0,9% citrato 0,3% pH7 22 / 3 mg/ml 32°C Non precisata
24 Ora
4512
Livello di evidenza A+

Elastomero siliconico NaCl tampone allo 0,9% citrato 0,3% pH7 80 / 10 mg/ml 2-8°C Non precisata
13 Giorno
4512
Livello di evidenza A+

Elastomero siliconico NaCl tampone allo 0,9% citrato 0,3% pH7 80 / 10 mg/ml 32°C Non precisata
24 Ora
4512
Livello di evidenza A+

Elastomero (non specificato) Acqua per preparato iniettabile 128 / 16 mg/ml 25°C Non precisata
72 Ora
2042
Livello di evidenza D

Elastomero (non specificato) Acqua per preparato iniettabile 128 / 16 mg/ml 37°C Non precisata
24 Ora
2042
Livello di evidenza D

Non precisato Cloruro di sodio 0,9% 40 / 5 mg/ml 22-23°C Al riparo dalla luce
24 Ora
4758
Livello di evidenza B

Non precisato Dianéal® PD2 4.25% Glucosio (Baxter) 0.2 / 0.025 mg/ml 23°C Non precisata
7 Giorno
2451
Livello di evidenza A

Non precisato Dianéal® PD2 4.25% Glucosio (Baxter) 0.2 / 0.025 mg/ml 37°C Non precisata
24 Ora
2451
Livello di evidenza A

Non precisato Dianéal® PD2 4.25% Glucosio (Baxter) 0.2 / 0.025 mg/ml 4°C Non precisata
14 Giorno
2451
Livello di evidenza A

Non precisato Dianéal® PD2 1.5% Glucosio (Baxter) 0.2 / 0.025 mg/ml 23°C Non precisata
7 Giorno
2451
Livello di evidenza A

Non precisato Dianéal® PD2 1.5% Glucosio (Baxter) 0.2 / 0.025 mg/ml 37°C Non precisata
24 Ora
2451
Livello di evidenza A

Non precisato Dianéal® PD2 1.5% Glucosio (Baxter) 0.2 / 0.025 mg/ml 4°C Non precisata
14 Giorno
2451
Livello di evidenza A


  Mentions Légales