Pēdējā atjaunošana :
12/12/2025
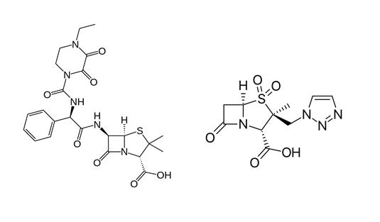
Antibiotika   Piperacillin sodium / tazobactam  
Injekcija
Šķīduma stabilitāte Maisījuma stabilitāte Stabilitāti ietekmējoši faktori Saderība Levadīšanas veids Literatūras saraksts pdf
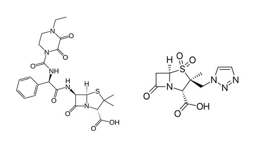
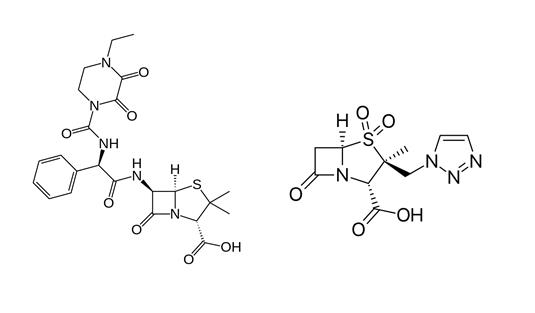
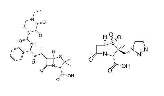
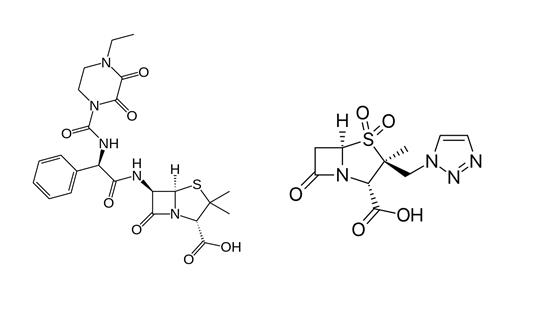
   Ķīmiskā uzbūve   

Oriģinālais nosaukums   Oriģinālais nosaukums     

Tirdzniecības nosaukumi ir apzīmējoši un palīgvielas var atšķirties dažādām valstīm un laboratorijām

Bagotaz Argentīna
Betampil Ekvadora
Bioval Čīle
Petezam Argentīna
Piperac Vācija
Piperacillin tazobactam Beļģija, Kanāda, Vācija
Piperazam Brazīlija
Pipetazo Čīle
Pipitaz Austrija
Pixamol Kolumbija
Tazobac Ekvadora, Itālija, Portugāle, Šveice
Tazocel Spānija
Tazocilline Francija
Tazocin Apvienotie Arābu Emirāti, Argentīna, Austrālija, Brazīlija, Dānija, Dienvidāfrikas Republika, Ēģipte, Grieķija, Holande, Horvātija, Itālija, Jaunzēlande, Kolumbija, Lielbritānija, Luksemburga, Meksika, Norvēģija, Peru, Polija, Somija, Turcija, Ungārija, Ziemeļīrija, Zviedrija
Tazonam Austrija, Čīle
Tazopip Austrālija
Tazpen Kolumbija, Meksika
Tazrobida Kolumbija
Tigux Čīle
Tratac Čīle
Trital Ekvadora
Zosyn Amerikas Savienotās Valstis, Japāna
Šķīduma stabilitāte   Injekcija   Šķīduma stabilitāte : Piperacillin sodium / tazobactam     
Iepakojums Šķīdinātājs Koncentrācija Temperatūra Glabāšana Stabilitātes ilgums Literatūras saraksts
Stikls Ūdens injekcijām 20/2,5 mg/ml 2-8°C Aizsargāt no gaismas
2 Diena
4922
Pierādījumu līmenis D

Stikls NaCl 0.9% + fenols 0.4% 20/2,5 mg/ml 2-8°C Aizsargāt no gaismas
2 Diena
4922
Pierādījumu līmenis D

Polivinilhlorīds Nātrija hlorīds 0.9% 20 / 2.5 mg/ml 23°C
72 Stunda
2345
Pierādījumu līmenis A

Polivinilhlorīds Nātrija hlorīds 0.9% 20 / 2.5 mg/ml 5°C Aizsargāt no gaismas
28 Diena
2345
Pierādījumu līmenis A

Polivinilhlorīds Nātrija hlorīds 0.9% 40 / 5 mg/ml 25°C Gaisma
4 Diena
2026
Pierādījumu līmenis B

Polivinilhlorīds Nātrija hlorīds 0.9% 40 / 5 mg/ml 7°C Aizsargāt no gaismas
5 Diena
2026
Pierādījumu līmenis B

Polivinilhlorīds Nātrija hlorīds 0.9% 80 / 10 mg/ml -15°C Aizsargāt no gaismas
30 Diena
274
Pierādījumu līmenis D

Polivinilhlorīds Nātrija hlorīds 0.9% 80 / 10 mg/ml 25°C Nav specifisks
24 Stunda
274
Pierādījumu līmenis D

Polivinilhlorīds Nātrija hlorīds 0.9% 80 / 10 mg/ml 4°C Aizsargāt no gaismas
7 Diena
274
Pierādījumu līmenis D

Polivinilhlorīds 5% glikoze 33.3 / 4.1 mg/ml -20°C Aizsargāt no gaismas
90 Diena
1946

Polivinilhlorīds 5% glikoze 33.3 / 4.1 mg/ml 4°C Nav specifisks
35 Diena
1946

Polivinilhlorīds 5% glikoze 80 / 10 mg/ml -15°C Aizsargāt no gaismas
30 Diena
274
Pierādījumu līmenis D

Polivinilhlorīds 5% glikoze 80 / 10 mg/ml 23°C
72 Stunda
2345
Pierādījumu līmenis A

Polivinilhlorīds 5% glikoze 80 / 10 mg/ml 25°C Nav specifisks
24 Stunda
274
Pierādījumu līmenis D

Polivinilhlorīds 5% glikoze 80 / 10 mg/ml 4°C Aizsargāt no gaismas
7 Diena
274
Pierādījumu līmenis D

Polivinilhlorīds 5% glikoze 80 / 10 mg/ml 5°C Aizsargāt no gaismas
28 Diena
2345
Pierādījumu līmenis A

Poliolefīns Nātrija hlorīds 0.9% 40 / 5 mg/ml 25°C Gaisma
3 Diena
2026
Pierādījumu līmenis B

Poliolefīns Nātrija hlorīds 0.9% 40 / 5 mg/ml 7°C Aizsargāt no gaismas
17 Diena
2026
Pierādījumu līmenis B

Poliolefīns Nātrija hlorīds 0.9% 50.6 / 6.3 mg/ml 2-8°C Nav specifisks
17 Diena
4620
Pierādījumu līmenis A+

Poliolefīns Nātrija hlorīds 0.9% 50.6 / 6.3 mg/ml 25°C Nav specifisks
3 Stunda
4620
Pierādījumu līmenis A+

Poliolefīns 5% glikoze 33,3 / 4,1 mg/ml -20°C Aizsargāt no gaismas
90 Diena
4148
Pierādījumu līmenis D

Poliolefīns 5% glikoze 33,3 / 4,1 mg/ml 2-8°C Nav specifisks
58 Diena
4148
Pierādījumu līmenis D

Poliolefīns 5% glikoze 50.6 / 6.3 mg/ml 2-8°C Nav specifisks
17 Diena
4621
Pierādījumu līmenis A+

Poliolefīns 5% glikoze 50.6 / 6.3 mg/ml 25°C Nav specifisks
3 Stunda
4621
Pierādījumu līmenis A+

Šļirce polipropilēna Ūdens injekcijām 20/2,5 mg/ml 2-8°C Aizsargāt no gaismas
2 Diena
4922
Pierādījumu līmenis D

Šļirce polipropilēna Nātrija hlorīds 0.9% 125/15,6 mg/ml 20-25°C Gaisma
48 Stunda
4634
Pierādījumu līmenis C+

Šļirce polipropilēna Nātrija hlorīds 0.9% 150 / 18,75 mg/ml 4°C Aizsargāt no gaismas
7 Diena
274
Pierādījumu līmenis D

Šļirce polipropilēna Nātrija hlorīds 0.9% 150 / 18.75 mg/ml -15°C Aizsargāt no gaismas
30 Diena
274
Pierādījumu līmenis D

Šļirce polipropilēna Nātrija hlorīds 0.9% 150 / 18.75 mg/ml 25°C Nav specifisks
24 Stunda
274
Pierādījumu līmenis D

Šļirce polipropilēna Nātrija hlorīds 0.9% 200 / 25 mg/ml -15°C Aizsargāt no gaismas
30 Diena
274
Pierādījumu līmenis D

Šļirce polipropilēna Nātrija hlorīds 0.9% 200 / 25 mg/ml 25°C Nav specifisks
24 Stunda
274
Pierādījumu līmenis D

Šļirce polipropilēna Nātrija hlorīds 0.9% 200 / 25 mg/ml 4°C Aizsargāt no gaismas
7 Diena
274
Pierādījumu līmenis D

Šļirce polipropilēna Nātrija hlorīds 0.9% 80 / 10 mg/ml 25°C Gaisma
12 Stunda
4326
Pierādījumu līmenis B

Šļirce polipropilēna 5% glikoze 125/15,6 mg/ml 20-25°C Gaisma
48 Stunda
4634
Pierādījumu līmenis C+

Šļirce polipropilēna 5% glikoze 150 / 18,75 mg/ml 4°C Aizsargāt no gaismas
7 Diena
274
Pierādījumu līmenis D

Šļirce polipropilēna 5% glikoze 150 / 18.75 mg/ml -15°C Aizsargāt no gaismas
30 Diena
274
Pierādījumu līmenis D

Šļirce polipropilēna 5% glikoze 150 / 18.75 mg/ml 25°C Nav specifisks
24 Stunda
274
Pierādījumu līmenis D

Šļirce polipropilēna 5% glikoze 200 / 25 mg/ml -15°C Aizsargāt no gaismas
30 Diena
274
Pierādījumu līmenis D

Šļirce polipropilēna 5% glikoze 200 / 25 mg/ml 25°C Nav specifisks
24 Stunda
274
Pierādījumu līmenis D

Šļirce polipropilēna 5% glikoze 200 / 25 mg/ml 4°C Aizsargāt no gaismas
7 Diena
274
Pierādījumu līmenis D

Šļirce polipropilēna NaCl 0.9% + fenols 0.4% 20/2,5 mg/ml 2-8°C Aizsargāt no gaismas
2 Diena
4922
Pierādījumu līmenis D

Poliizoprēna elastomērs Nātrija hlorīds 0.9% 50 / 6,25 mg/ml 32°C Aizsargāt no gaismas
24 Stunda
4850
Pierādījumu līmenis A+

Poliizoprēna elastomērs Nātrija hlorīds 0.9% 66,7/8,3 mg/ml 37°C Aizsargāt no gaismas
8 Stunda
4634
Pierādījumu līmenis C+

Poliizoprēna elastomērs Nātrija hlorīds 0.9% 80 / 10 & 10 / 1.25 mg/ml 25°C Nav specifisks
24 Stunda
604
Ražotāja stabilitātes dati

Poliizoprēna elastomērs Nātrija hlorīds 0.9% 80 / 10 & 10 / 1.25 mg/ml 4°C Aizsargāt no gaismas
7 Diena
604
Ražotāja stabilitātes dati

Poliizoprēna elastomērs 5% glikoze 66,7/8,3 mg/ml 37°C Aizsargāt no gaismas
24 Stunda
4634
Pierādījumu līmenis C+

Poliizoprēna elastomērs 5% glikoze 80 / 10 & 10 / 1.25 mg/ml 25°C Nav specifisks
24 Stunda
604
Ražotāja stabilitātes dati

Poliizoprēna elastomērs 5% glikoze 80 / 10 & 10 / 1.25 mg/ml 4°C Aizsargāt no gaismas
7 Diena
604
Ražotāja stabilitātes dati

Poliizoprēna elastomērs NaCl 0,9% tamponu citrāts 0,3% pH7 22 / 3 mg/ml 2-8°C Nav specifisks
13 Diena
4512
Pierādījumu līmenis A+

Poliizoprēna elastomērs NaCl 0,9% tamponu citrāts 0,3% pH7 22 / 3 mg/ml 32°C Nav specifisks
24 Stunda
4512
Pierādījumu līmenis A+

Poliizoprēna elastomērs NaCl 0,9% tamponu citrāts 0,3% pH7 80 / 10 mg/ml 2-8°C Nav specifisks
13 Diena
4512
Pierādījumu līmenis A+

Poliizoprēna elastomērs NaCl 0,9% tamponu citrāts 0,3% pH7 80 / 10 mg/ml 32°C Nav specifisks
24 Stunda
4512
Pierādījumu līmenis A+

Silikona elastomērs NaCl 0,9% tamponu citrāts 0,3% pH7 22 / 3 mg/ml 2-8°C Nav specifisks
13 Diena
4512
Pierādījumu līmenis A+

Silikona elastomērs NaCl 0,9% tamponu citrāts 0,3% pH7 22 / 3 mg/ml 32°C Nav specifisks
24 Stunda
4512
Pierādījumu līmenis A+

Silikona elastomērs NaCl 0,9% tamponu citrāts 0,3% pH7 80 / 10 mg/ml 2-8°C Nav specifisks
13 Diena
4512
Pierādījumu līmenis A+

Silikona elastomērs NaCl 0,9% tamponu citrāts 0,3% pH7 80 / 10 mg/ml 32°C Nav specifisks
24 Stunda
4512
Pierādījumu līmenis A+

Elastomērs (nenoteikts) Ūdens injekcijām 128 / 16 mg/ml 25°C Nav specifisks
72 Stunda
2042
Pierādījumu līmenis D

Elastomērs (nenoteikts) Ūdens injekcijām 128 / 16 mg/ml 37°C Nav specifisks
24 Stunda
2042
Pierādījumu līmenis D

Nespecifisks Nātrija hlorīds 0.9% 40 / 5 mg/ml 22-23°C Aizsargāt no gaismas
24 Stunda
4758
Pierādījumu līmenis B

Nespecifisks Dianéal® PD2 4.25% glikoze (Baxter) 0.2 / 0.025 mg/ml 23°C Nav specifisks
7 Diena
2451
Pierādījumu līmenis A

Nespecifisks Dianéal® PD2 4.25% glikoze (Baxter) 0.2 / 0.025 mg/ml 37°C Nav specifisks
24 Stunda
2451
Pierādījumu līmenis A

Nespecifisks Dianéal® PD2 4.25% glikoze (Baxter) 0.2 / 0.025 mg/ml 4°C Nav specifisks
14 Diena
2451
Pierādījumu līmenis A

Nespecifisks Dianéal® PD2 1.5% glikoze (Baxter) 0.2 / 0.025 mg/ml 23°C Nav specifisks
7 Diena
2451
Pierādījumu līmenis A

Nespecifisks Dianéal® PD2 1.5% glikoze (Baxter) 0.2 / 0.025 mg/ml 37°C Nav specifisks
24 Stunda
2451
Pierādījumu līmenis A

Nespecifisks Dianéal® PD2 1.5% glikoze (Baxter) 0.2 / 0.025 mg/ml 4°C Nav specifisks
14 Diena
2451
Pierādījumu līmenis A


  Mentions Légales