Utolsó frissítés :
17/12/2025
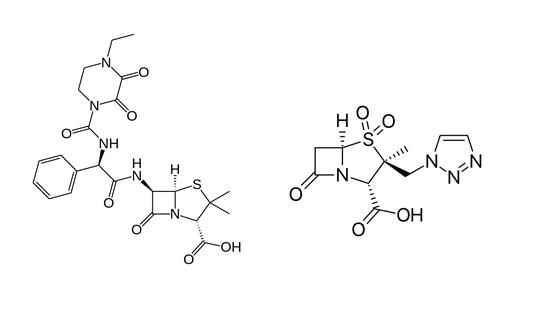
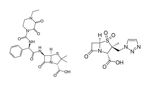
Antibiotikum   Piperacillin sodium / tazobactam  
Injekció
Az oldatok stabilitása A keverékek stabilitása Stabilitást befolyásoló tényezők Kompatibilitás Az alkalmazás módja Irodalom pdf
   Kémiai szerkezet   

Kereskedelmi név   Kereskedelmi név     

A kereskedelmi név meghatározó jelentőségű: a készítmények összetétele országonként, előállítóként eltérő lehet

Bagotaz Argentína
Betampil Ecuador
Bioval Chile
Petezam Argentína
Piperac Németország
Piperacillin tazobactam Belgium, Kanada, Németország
Piperazam Brazília
Pipetazo Chile
Pipitaz Ausztria
Pixamol Colombia
Tazobac Ecuador, Olaszország, Portugália, Svájc
Tazocel Spanyolország
Tazocilline Franciaország
Tazocin Argentína, Ausztrália, Brazília, Colombia, Dánia, Dél-Afrikai Köztársaság, Egyesült Arab Emírségek, Egyiptom, Észak-Írország, Finnország, Görögország, Hollandia, Horvátország, Lengyelország, Luxemburg, Magyarország, Mexikó, Nagy-Britannia, Norvégia, Olaszország, Peru, Svédország, Törökország, új-Zéland
Tazonam Ausztria, Chile
Tazopip Ausztrália
Tazpen Colombia, Mexikó
Tazrobida Colombia
Tigux Chile
Tratac Chile
Trital Ecuador
Zosyn Amerikai Egyesült Államok, Japán
Az oldatok stabilitása   Injekció   Az oldatok stabilitása : Piperacillin sodium / tazobactam     
Csomagolás Oldószer Koncentráció Hőmérséklet Tárolás A stabilitás időtartama Irodalom
Üveg Injekcióhoz való víz 20/2,5 mg/ml 2-8°C Fénytől védve tartandó
2 Nap
4922
Szintű bizonyítékot D

Üveg NaCl 0.9% + fenol 0.4% 20/2,5 mg/ml 2-8°C Fénytől védve tartandó
2 Nap
4922
Szintű bizonyítékot D

Poli(vinilklorid) 0,9% nátrium-klorid 20 / 2.5 mg/ml 23°C
72 Óra
2345
Szintű bizonyítékot A

Poli(vinilklorid) 0,9% nátrium-klorid 20 / 2.5 mg/ml 5°C Fénytől védve tartandó
28 Nap
2345
Szintű bizonyítékot A

Poli(vinilklorid) 0,9% nátrium-klorid 40 / 5 mg/ml 25°C Fény
4 Nap
2026
Szintű bizonyítékot B

Poli(vinilklorid) 0,9% nátrium-klorid 40 / 5 mg/ml 7°C Fénytől védve tartandó
5 Nap
2026
Szintű bizonyítékot B

Poli(vinilklorid) 0,9% nátrium-klorid 80 / 10 mg/ml -15°C Fénytől védve tartandó
30 Nap
274
Szintű bizonyítékot D

Poli(vinilklorid) 0,9% nátrium-klorid 80 / 10 mg/ml 25°C Nincs meghatározva
24 Óra
274
Szintű bizonyítékot D

Poli(vinilklorid) 0,9% nátrium-klorid 80 / 10 mg/ml 4°C Fénytől védve tartandó
7 Nap
274
Szintű bizonyítékot D

Poli(vinilklorid) 5% glükóz 33.3 / 4.1 mg/ml -20°C Fénytől védve tartandó
90 Nap
1946

Poli(vinilklorid) 5% glükóz 33.3 / 4.1 mg/ml 4°C Nincs meghatározva
35 Nap
1946

Poli(vinilklorid) 5% glükóz 80 / 10 mg/ml -15°C Fénytől védve tartandó
30 Nap
274
Szintű bizonyítékot D

Poli(vinilklorid) 5% glükóz 80 / 10 mg/ml 23°C
72 Óra
2345
Szintű bizonyítékot A

Poli(vinilklorid) 5% glükóz 80 / 10 mg/ml 25°C Nincs meghatározva
24 Óra
274
Szintű bizonyítékot D

Poli(vinilklorid) 5% glükóz 80 / 10 mg/ml 4°C Fénytől védve tartandó
7 Nap
274
Szintű bizonyítékot D

Poli(vinilklorid) 5% glükóz 80 / 10 mg/ml 5°C Fénytől védve tartandó
28 Nap
2345
Szintű bizonyítékot A

Poliolefin 0,9% nátrium-klorid 40 / 5 mg/ml 25°C Fény
3 Nap
2026
Szintű bizonyítékot B

Poliolefin 0,9% nátrium-klorid 40 / 5 mg/ml 7°C Fénytől védve tartandó
17 Nap
2026
Szintű bizonyítékot B

Poliolefin 0,9% nátrium-klorid 50.6 / 6.3 mg/ml 2-8°C Nincs meghatározva
17 Nap
4620
Szintű bizonyítékot A+

Poliolefin 0,9% nátrium-klorid 50.6 / 6.3 mg/ml 25°C Nincs meghatározva
3 Óra
4620
Szintű bizonyítékot A+

Poliolefin 5% glükóz 33,3 / 4,1 mg/ml -20°C Fénytől védve tartandó
90 Nap
4148
Szintű bizonyítékot D

Poliolefin 5% glükóz 33,3 / 4,1 mg/ml 2-8°C Nincs meghatározva
58 Nap
4148
Szintű bizonyítékot D

Poliolefin 5% glükóz 50.6 / 6.3 mg/ml 2-8°C Nincs meghatározva
17 Nap
4621
Szintű bizonyítékot A+

Poliolefin 5% glükóz 50.6 / 6.3 mg/ml 25°C Nincs meghatározva
3 Óra
4621
Szintű bizonyítékot A+

fecskendő polipropilén Injekcióhoz való víz 20/2,5 mg/ml 2-8°C Fénytől védve tartandó
2 Nap
4922
Szintű bizonyítékot D

fecskendő polipropilén 0,9% nátrium-klorid 125/15,6 mg/ml 20-25°C Fény
48 Óra
4634
Szintű bizonyítékot C+

fecskendő polipropilén 0,9% nátrium-klorid 150 / 18,75 mg/ml 4°C Fénytől védve tartandó
7 Nap
274
Szintű bizonyítékot D

fecskendő polipropilén 0,9% nátrium-klorid 150 / 18.75 mg/ml -15°C Fénytől védve tartandó
30 Nap
274
Szintű bizonyítékot D

fecskendő polipropilén 0,9% nátrium-klorid 150 / 18.75 mg/ml 25°C Nincs meghatározva
24 Óra
274
Szintű bizonyítékot D

fecskendő polipropilén 0,9% nátrium-klorid 200 / 25 mg/ml -15°C Fénytől védve tartandó
30 Nap
274
Szintű bizonyítékot D

fecskendő polipropilén 0,9% nátrium-klorid 200 / 25 mg/ml 25°C Nincs meghatározva
24 Óra
274
Szintű bizonyítékot D

fecskendő polipropilén 0,9% nátrium-klorid 200 / 25 mg/ml 4°C Fénytől védve tartandó
7 Nap
274
Szintű bizonyítékot D

fecskendő polipropilén 0,9% nátrium-klorid 80 / 10 mg/ml 25°C Fény
12 Óra
4326
Szintű bizonyítékot B

fecskendő polipropilén 5% glükóz 125/15,6 mg/ml 20-25°C Fény
48 Óra
4634
Szintű bizonyítékot C+

fecskendő polipropilén 5% glükóz 150 / 18,75 mg/ml 4°C Fénytől védve tartandó
7 Nap
274
Szintű bizonyítékot D

fecskendő polipropilén 5% glükóz 150 / 18.75 mg/ml -15°C Fénytől védve tartandó
30 Nap
274
Szintű bizonyítékot D

fecskendő polipropilén 5% glükóz 150 / 18.75 mg/ml 25°C Nincs meghatározva
24 Óra
274
Szintű bizonyítékot D

fecskendő polipropilén 5% glükóz 200 / 25 mg/ml -15°C Fénytől védve tartandó
30 Nap
274
Szintű bizonyítékot D

fecskendő polipropilén 5% glükóz 200 / 25 mg/ml 25°C Nincs meghatározva
24 Óra
274
Szintű bizonyítékot D

fecskendő polipropilén 5% glükóz 200 / 25 mg/ml 4°C Fénytől védve tartandó
7 Nap
274
Szintű bizonyítékot D

fecskendő polipropilén NaCl 0.9% + fenol 0.4% 20/2,5 mg/ml 2-8°C Fénytől védve tartandó
2 Nap
4922
Szintű bizonyítékot D

Poliizoprén elasztomer 0,9% nátrium-klorid 50 / 6,25 mg/ml 32°C Fénytől védve tartandó
24 Óra
4850
Szintű bizonyítékot A+

Poliizoprén elasztomer 0,9% nátrium-klorid 66,7/8,3 mg/ml 37°C Fénytől védve tartandó
8 Óra
4634
Szintű bizonyítékot C+

Poliizoprén elasztomer 0,9% nátrium-klorid 80 / 10 & 10 / 1.25 mg/ml 25°C Nincs meghatározva
24 Óra
604
Gyártó stabilitási adatokra

Poliizoprén elasztomer 0,9% nátrium-klorid 80 / 10 & 10 / 1.25 mg/ml 4°C Fénytől védve tartandó
7 Nap
604
Gyártó stabilitási adatokra

Poliizoprén elasztomer 5% glükóz 66,7/8,3 mg/ml 37°C Fénytől védve tartandó
24 Óra
4634
Szintű bizonyítékot C+

Poliizoprén elasztomer 5% glükóz 80 / 10 & 10 / 1.25 mg/ml 25°C Nincs meghatározva
24 Óra
604
Gyártó stabilitási adatokra

Poliizoprén elasztomer 5% glükóz 80 / 10 & 10 / 1.25 mg/ml 4°C Fénytől védve tartandó
7 Nap
604
Gyártó stabilitási adatokra

Poliizoprén elasztomer NaCl 0,9% tampon-citrát 0,3% pH7 22 / 3 mg/ml 2-8°C Nincs meghatározva
13 Nap
4512
Szintű bizonyítékot A+

Poliizoprén elasztomer NaCl 0,9% tampon-citrát 0,3% pH7 22 / 3 mg/ml 32°C Nincs meghatározva
24 Óra
4512
Szintű bizonyítékot A+

Poliizoprén elasztomer NaCl 0,9% tampon-citrát 0,3% pH7 80 / 10 mg/ml 2-8°C Nincs meghatározva
13 Nap
4512
Szintű bizonyítékot A+

Poliizoprén elasztomer NaCl 0,9% tampon-citrát 0,3% pH7 80 / 10 mg/ml 32°C Nincs meghatározva
24 Óra
4512
Szintű bizonyítékot A+

Szilikon elasztomer NaCl 0,9% tampon-citrát 0,3% pH7 22 / 3 mg/ml 2-8°C Nincs meghatározva
13 Nap
4512
Szintű bizonyítékot A+

Szilikon elasztomer NaCl 0,9% tampon-citrát 0,3% pH7 22 / 3 mg/ml 32°C Nincs meghatározva
24 Óra
4512
Szintű bizonyítékot A+

Szilikon elasztomer NaCl 0,9% tampon-citrát 0,3% pH7 80 / 10 mg/ml 2-8°C Nincs meghatározva
13 Nap
4512
Szintű bizonyítékot A+

Szilikon elasztomer NaCl 0,9% tampon-citrát 0,3% pH7 80 / 10 mg/ml 32°C Nincs meghatározva
24 Óra
4512
Szintű bizonyítékot A+

Elasztomer (nem meghatározott) Injekcióhoz való víz 128 / 16 mg/ml 25°C Nincs meghatározva
72 Óra
2042
Szintű bizonyítékot D

Elasztomer (nem meghatározott) Injekcióhoz való víz 128 / 16 mg/ml 37°C Nincs meghatározva
24 Óra
2042
Szintű bizonyítékot D

Nincs meghatározva 0,9% nátrium-klorid 40 / 5 mg/ml 22-23°C Fénytől védve tartandó
24 Óra
4758
Szintű bizonyítékot B

Nincs meghatározva Dianéal® PD2 4.25% glükóz (Baxter) 0.2 / 0.025 mg/ml 23°C Nincs meghatározva
7 Nap
2451
Szintű bizonyítékot A

Nincs meghatározva Dianéal® PD2 4.25% glükóz (Baxter) 0.2 / 0.025 mg/ml 37°C Nincs meghatározva
24 Óra
2451
Szintű bizonyítékot A

Nincs meghatározva Dianéal® PD2 4.25% glükóz (Baxter) 0.2 / 0.025 mg/ml 4°C Nincs meghatározva
14 Nap
2451
Szintű bizonyítékot A

Nincs meghatározva Dianéal® PD2 1.5% glükóz (Baxter) 0.2 / 0.025 mg/ml 23°C Nincs meghatározva
7 Nap
2451
Szintű bizonyítékot A

Nincs meghatározva Dianéal® PD2 1.5% glükóz (Baxter) 0.2 / 0.025 mg/ml 37°C Nincs meghatározva
24 Óra
2451
Szintű bizonyítékot A

Nincs meghatározva Dianéal® PD2 1.5% glükóz (Baxter) 0.2 / 0.025 mg/ml 4°C Nincs meghatározva
14 Nap
2451
Szintű bizonyítékot A


  Mentions Légales