آخر تحديث :
27/04/2026
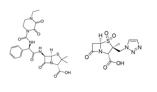
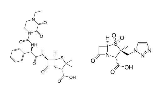
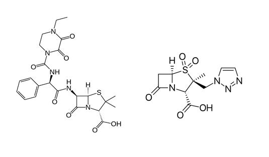
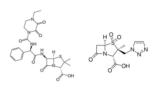
مضاد حيوي   Piperacillin sodium / tazobactam  
حقن
الاستقرار في حلول استقرار مخاليط العوامل التي تؤثر على الاستقرار التوافق طريقة التعاطي مراجع pdf
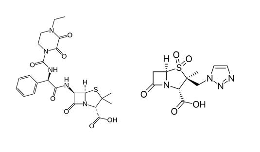
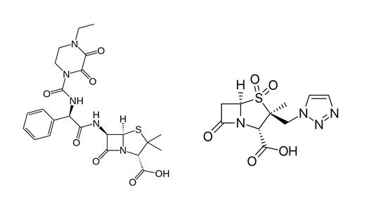
   التركيب الكيميائي  

حجز الاسم التجاري   حجز الاسم التجاري     

تحذير الأسماء التجاريه المختلفه قد تحتوي علي محتوي إضافات مختلفة حسب الدوله و المعمل

Bagotaz الأرجنتين
Betampil الإكوادور
Bioval تشيلي
Petezam الأرجنتين
Piperac ألمانيا
Piperacillin tazobactam ألمانيا, بلجيكا, كندا
Piperazam البرازيل
Pipetazo تشيلي
Pipitaz النمسا
Pixamol كولومبيا
Tazobac إيطاليا, الإكوادور, البرتغال, سويسرا
Tazocel إسبانيا
Tazocilline فرنسا
Tazocin أستراليا, إيرلندا الشمالية, إيطاليا, الأرجنتين, الإمارات العربية المتحدة, البرازيل, الدنمارك, السويد, المكسيك, النرويج, بريطانيا العظمي, بولندا, بيرو, تركيا, جمهورية جنوب أفريقيا, زيلاندا الجديدة, فنلندا, كرواتيا, كولومبيا, لوكسمبورغ, مصر, هنغاريا, هولندا, يونان
Tazonam النمسا, تشيلي
Tazopip أستراليا
Tazpen المكسيك, كولومبيا
Tazrobida كولومبيا
Tigux تشيلي
Tratac تشيلي
Trital الإكوادور
Zosyn الولايات المتحدة, اليابان
الاستقرار في حلول   حقن   الاستقرار في حلول : Piperacillin sodium / tazobactam     
حاوية مذيب تركيز درجة الحرارة تخزين مدة الاستقرار مراجع
زجاج حقن المياه لل 20/2,5 mg/ml 2-8°C بعيدا عن الضوء
2 يوم
4922
D مستوى الأدلة

زجاج NaCl 0.9% + الفينول % 0.4% 20/2,5 mg/ml 2-8°C بعيدا عن الضوء
2 يوم
4922
D مستوى الأدلة

البولي فينيل كلوريد كلوريد الصوديوم 0.9% 20 / 2.5 mg/ml 23°C
72 ساعة
2345
A مستوى الأدلة

البولي فينيل كلوريد كلوريد الصوديوم 0.9% 20 / 2.5 mg/ml 5°C بعيدا عن الضوء
28 يوم
2345
A مستوى الأدلة

البولي فينيل كلوريد كلوريد الصوديوم 0.9% 40 / 5 mg/ml 25°C ضوء
4 يوم
2026
B مستوى الأدلة

البولي فينيل كلوريد كلوريد الصوديوم 0.9% 40 / 5 mg/ml 7°C بعيدا عن الضوء
5 يوم
2026
B مستوى الأدلة

البولي فينيل كلوريد كلوريد الصوديوم 0.9% 80 / 10 mg/ml -15°C بعيدا عن الضوء
30 يوم
274
D مستوى الأدلة

البولي فينيل كلوريد الجلوكوز %5 33.3 / 4.1 mg/ml -20°C بعيدا عن الضوء
90 يوم
1946

البولي فينيل كلوريد الجلوكوز %5 33.3 / 4.1 mg/ml 4°C لم يتم تحديد
35 يوم
1946

البولي فينيل كلوريد الجلوكوز %5 80 / 10 mg/ml -15°C بعيدا عن الضوء
30 يوم
274
D مستوى الأدلة

البولي فينيل كلوريد الجلوكوز %5 80 / 10 mg/ml 23°C
72 ساعة
2345
A مستوى الأدلة

البولي فينيل كلوريد الجلوكوز %5 80 / 10 mg/ml 5°C بعيدا عن الضوء
28 يوم
2345
A مستوى الأدلة

البولي فين كلوريد الصوديوم 0.9% 40 / 5 mg/ml 25°C ضوء
3 يوم
2026
B مستوى الأدلة

البولي فين كلوريد الصوديوم 0.9% 40 / 5 mg/ml 7°C بعيدا عن الضوء
17 يوم
2026
B مستوى الأدلة

البولي فين كلوريد الصوديوم 0.9% 50.6 / 6.3 mg/ml 2-8°C لم يتم تحديد
17 يوم
4620
 A+ مستوى الأدلة

البولي فين كلوريد الصوديوم 0.9% 50.6 / 6.3 mg/ml 25°C لم يتم تحديد
3 ساعة
4620
 A+ مستوى الأدلة

البولي فين الجلوكوز %5 33,3 / 4,1 mg/ml -20°C بعيدا عن الضوء
90 يوم
4148
D مستوى الأدلة

البولي فين الجلوكوز %5 33,3 / 4,1 mg/ml 2-8°C لم يتم تحديد
58 يوم
4148
D مستوى الأدلة

البولي فين الجلوكوز %5 50.6 / 6.3 mg/ml 2-8°C لم يتم تحديد
17 يوم
4621
 A+ مستوى الأدلة

البولي فين الجلوكوز %5 50.6 / 6.3 mg/ml 25°C لم يتم تحديد
3 ساعة
4621
 A+ مستوى الأدلة

محقنة البولي بروبلين حقن المياه لل 20/2,5 mg/ml 2-8°C بعيدا عن الضوء
2 يوم
4922
D مستوى الأدلة

محقنة البولي بروبلين كلوريد الصوديوم 0.9% 125/15,6 mg/ml 20-25°C ضوء
48 ساعة
4634
C+ مستوى الأدلة

محقنة البولي بروبلين كلوريد الصوديوم 0.9% 150 / 18,75 mg/ml 4°C بعيدا عن الضوء
7 يوم
274
D مستوى الأدلة

محقنة البولي بروبلين كلوريد الصوديوم 0.9% 150 / 18.75 mg/ml -15°C بعيدا عن الضوء
30 يوم
274
D مستوى الأدلة

محقنة البولي بروبلين كلوريد الصوديوم 0.9% 150 / 18.75 mg/ml 25°C لم يتم تحديد
24 ساعة
274
D مستوى الأدلة

محقنة البولي بروبلين كلوريد الصوديوم 0.9% 200 / 25 mg/ml -15°C بعيدا عن الضوء
30 يوم
274
D مستوى الأدلة

محقنة البولي بروبلين كلوريد الصوديوم 0.9% 200 / 25 mg/ml 25°C لم يتم تحديد
24 ساعة
274
D مستوى الأدلة

محقنة البولي بروبلين كلوريد الصوديوم 0.9% 200 / 25 mg/ml 4°C بعيدا عن الضوء
7 يوم
274
D مستوى الأدلة

محقنة البولي بروبلين كلوريد الصوديوم 0.9% 80 / 10 mg/ml 25°C ضوء
12 ساعة
4326
B مستوى الأدلة

محقنة البولي بروبلين الجلوكوز %5 125/15,6 mg/ml 20-25°C ضوء
48 ساعة
4634
C+ مستوى الأدلة

محقنة البولي بروبلين الجلوكوز %5 150 / 18,75 mg/ml 4°C بعيدا عن الضوء
7 يوم
274
D مستوى الأدلة

محقنة البولي بروبلين الجلوكوز %5 150 / 18.75 mg/ml -15°C بعيدا عن الضوء
30 يوم
274
D مستوى الأدلة

محقنة البولي بروبلين الجلوكوز %5 150 / 18.75 mg/ml 25°C لم يتم تحديد
24 ساعة
274
D مستوى الأدلة

محقنة البولي بروبلين الجلوكوز %5 200 / 25 mg/ml -15°C بعيدا عن الضوء
30 يوم
274
D مستوى الأدلة

محقنة البولي بروبلين الجلوكوز %5 200 / 25 mg/ml 25°C لم يتم تحديد
24 ساعة
274
D مستوى الأدلة

محقنة البولي بروبلين الجلوكوز %5 200 / 25 mg/ml 4°C بعيدا عن الضوء
7 يوم
274
D مستوى الأدلة

محقنة البولي بروبلين NaCl 0.9% + الفينول % 0.4% 20/2,5 mg/ml 2-8°C بعيدا عن الضوء
2 يوم
4922
D مستوى الأدلة

ولي إيزوبرين إلاستومر كلوريد الصوديوم 0.9% 50 / 6,25 mg/ml 32°C بعيدا عن الضوء
24 ساعة
4850
 A+ مستوى الأدلة

ولي إيزوبرين إلاستومر كلوريد الصوديوم 0.9% 66,7/8,3 mg/ml 37°C بعيدا عن الضوء
8 ساعة
4634
C+ مستوى الأدلة

ولي إيزوبرين إلاستومر كلوريد الصوديوم 0.9% 80 / 10 & 10 / 1.25 mg/ml 25°C لم يتم تحديد
24 ساعة
604
بيانات الشركة المصنعة \\ \'ق الاستقرار

ولي إيزوبرين إلاستومر كلوريد الصوديوم 0.9% 80 / 10 & 10 / 1.25 mg/ml 4°C بعيدا عن الضوء
7 يوم
604
بيانات الشركة المصنعة \\ \'ق الاستقرار

ولي إيزوبرين إلاستومر الجلوكوز %5 66,7/8,3 mg/ml 37°C بعيدا عن الضوء
24 ساعة
4634
C+ مستوى الأدلة

ولي إيزوبرين إلاستومر الجلوكوز %5 80 / 10 & 10 / 1.25 mg/ml 25°C لم يتم تحديد
24 ساعة
604
بيانات الشركة المصنعة \\ \'ق الاستقرار

ولي إيزوبرين إلاستومر الجلوكوز %5 80 / 10 & 10 / 1.25 mg/ml 4°C بعيدا عن الضوء
7 يوم
604
بيانات الشركة المصنعة \\ \'ق الاستقرار

ولي إيزوبرين إلاستومر  عازلة سترات 0.3٪ NaCl 0.9٪ 22 / 3 mg/ml 2-8°C لم يتم تحديد
13 يوم
4512
 A+ مستوى الأدلة

ولي إيزوبرين إلاستومر  عازلة سترات 0.3٪ NaCl 0.9٪ 22 / 3 mg/ml 32°C لم يتم تحديد
24 ساعة
4512
 A+ مستوى الأدلة

ولي إيزوبرين إلاستومر  عازلة سترات 0.3٪ NaCl 0.9٪ 80 / 10 mg/ml 2-8°C لم يتم تحديد
13 يوم
4512
 A+ مستوى الأدلة

ولي إيزوبرين إلاستومر  عازلة سترات 0.3٪ NaCl 0.9٪ 80 / 10 mg/ml 32°C لم يتم تحديد
24 ساعة
4512
 A+ مستوى الأدلة

مطاط السيليكون  عازلة سترات 0.3٪ NaCl 0.9٪ 22 / 3 mg/ml 2-8°C لم يتم تحديد
13 يوم
4512
 A+ مستوى الأدلة

مطاط السيليكون  عازلة سترات 0.3٪ NaCl 0.9٪ 22 / 3 mg/ml 32°C لم يتم تحديد
24 ساعة
4512
 A+ مستوى الأدلة

مطاط السيليكون  عازلة سترات 0.3٪ NaCl 0.9٪ 80 / 10 mg/ml 2-8°C لم يتم تحديد
13 يوم
4512
 A+ مستوى الأدلة

مطاط السيليكون  عازلة سترات 0.3٪ NaCl 0.9٪ 80 / 10 mg/ml 32°C لم يتم تحديد
24 ساعة
4512
 A+ مستوى الأدلة

إلاستومر (غير محدد) حقن المياه لل 128 / 16 mg/ml 25°C لم يتم تحديد
72 ساعة
2042
D مستوى الأدلة

إلاستومر (غير محدد) حقن المياه لل 128 / 16 mg/ml 37°C لم يتم تحديد
24 ساعة
2042
D مستوى الأدلة

لم يتم تحديد كلوريد الصوديوم 0.9% 40 / 5 mg/ml 22-23°C بعيدا عن الضوء
24 ساعة
4758
B مستوى الأدلة

لم يتم تحديد Dianéal PD2 الجلوكوز%4.25 (باكستر) 0.2 / 0.025 mg/ml 23°C لم يتم تحديد
7 يوم
2451
A مستوى الأدلة

لم يتم تحديد Dianéal PD2 الجلوكوز%4.25 (باكستر) 0.2 / 0.025 mg/ml 37°C لم يتم تحديد
24 ساعة
2451
A مستوى الأدلة

لم يتم تحديد Dianéal PD2 الجلوكوز%4.25 (باكستر) 0.2 / 0.025 mg/ml 4°C لم يتم تحديد
14 يوم
2451
A مستوى الأدلة

لم يتم تحديد Dianéal PD2 الجلوكوز%1.5 (باكستر) 0.2 / 0.025 mg/ml 23°C لم يتم تحديد
7 يوم
2451
A مستوى الأدلة

لم يتم تحديد Dianéal PD2 الجلوكوز%1.5 (باكستر) 0.2 / 0.025 mg/ml 37°C لم يتم تحديد
24 ساعة
2451
A مستوى الأدلة

لم يتم تحديد Dianéal PD2 الجلوكوز%1.5 (باكستر) 0.2 / 0.025 mg/ml 4°C لم يتم تحديد
14 يوم
2451
A مستوى الأدلة


  Mentions Légales