Ostatnia aktualizacja :
17/12/2025
Antybiotyk   Piperacillin sodium / tazobactam  
Injekcje
Trwałość roztworów Trwałość w mieszaninie Czynnik wpływający na trwałość Zgodność Sposób podania Bibliografia pdf
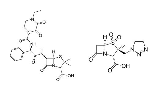
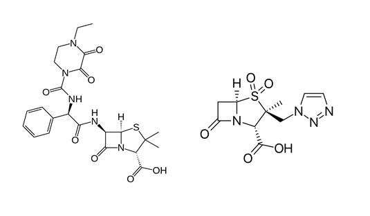
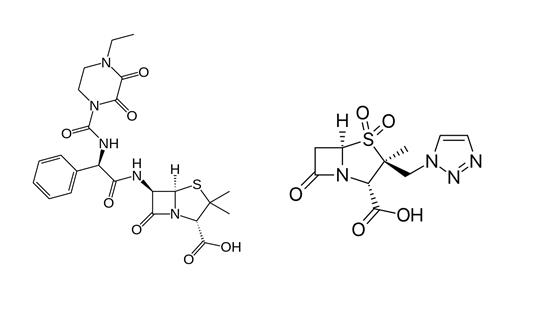
   Struktura chemiczna  

Nazwa handlowa   Nazwa handlowa     

Trade names are indicative and excipients composition can be different depending on the country and manufacturers

Bagotaz Argentyna
Betampil Ekwador
Bioval Chile
Petezam Argentyna
Piperac Niemcy
Piperacillin tazobactam Belgia, Kanada, Niemcy
Piperazam Brazylia
Pipetazo Chile
Pipitaz Austria
Pixamol KolumbiaKolumbia
Tazobac Ekwador, Portugalia, Szwajcaria, Włochy
Tazocel Hiszpania
Tazocilline Francja
Tazocin Afryka Południowa, Argentyna, Australia, Brazylia, Chorwacja, Dania, Egipt, Finlandia, Grecja, Holandia, Irlandia Północna, KolumbiaKolumbia, Luksemburg, Meksyk, Norwegia, nowa Zelandia, Peru, Polska, Szwecja, Turcja, Węgry, Wielka Brytania, Włochy, Zjednoczone Emiraty Arabskie
Tazonam Austria, Chile
Tazopip Australia
Tazpen KolumbiaKolumbia, Meksyk
Tazrobida KolumbiaKolumbia
Tigux Chile
Tratac Chile
Trital Ekwador
Zosyn Japonia, Stany Zjednoczone Ameryki
Bibliografia   Injekcje   Bibliografia : Piperacillin sodium / tazobactam  
typ publikacja
16 Czasopismo Chung KC, Moon YSK, Chin A, Ulrich WU, Gill MA.
Compatibility of ondansetron hydrochloride and piperacillin sodium-tazobactam sodium during simulated Y-site administration.
Am J Health-Syst Pharm 1995 ; 52: 1554-1556.
59 Czasopismo Trissel LA, Gilbert DL, Martinez JF, Kim MC.
Compatibility of remifentanil hydrochloride with selected drugs during simulated Y-site administration.
Am J Health-Syst Pharm 1997 ; 54: 2192-2196.
81 Czasopismo Trissel LA, Martinez JF.
Compatibility of piperacillin sodium plus tazobactam with selected drugs during simulated Y-site injection.
Am J Hosp Pharm 1994 ; 51: 672-678.
182 Czasopismo Trissel LA, Gilbert DL, Martinez JF.
Compatibility of granisetron hydrochloride with selected drugs during simulated Y-site administration.
Am J Health-Syst Pharm 1997 ; 54: 56-60.
235 Czasopismo Choi JS, Burm JP, Jhee SS, Chin A, Ulrich RW, Gill MA.
Stability of piperacillin sodium-tazobactam sodium and ranitidine hydrochloride in 0.9% sodium chloride injection during simulated Y-site administration.
Am J Hosp Pharm 1994 ; 51: 2273-2276.
251 Czasopismo Trissel LA, Gilbert DL, Martinez JF.
Compatibility of doxorubicin hydrochloride liposome injection with selected other drugs during simulated Y-site administration.
Am J Health-Syst Pharm 1997 ; 54: 2708-2713.
274 Czasopismo Moon YSK, Chung KC, Chin A, Gill MA.
Stability of piperacillin sodium-tazobactam sodium in polypropylene syringes and polyvinyl chloride minibags.
Am J Health-Syst Pharm 1995 ; 52: 999-1001.
299 Czasopismo Trissel LA, Martinez JF, Gilbert DL.
Compatibility of cisatracurium besylate with selected drugs during simulated Y-site administration.
Am J Health-Syst Pharm 1997 ; 54: 1735-1741.
301 Czasopismo Trissel LA, Gilbert DL, Martinez JF, Baker MB, Walter WV, Mirtallo JM.
Compatibility of parenteral nutrient solutions with selected drugs during simulated Y-site administration.
Am J Health-Syst Pharm 1997 ; 54: 1295-1300.
604 Laboratorium Stabilité des médicaments dans l'Intermate® SV50, 100, 200
Baxter 1998
921 Czasopismo Trissel LA, Gilbert DL, Martinez JF.
Incompatibility and compatibility of amphotericin B cholesteryl sulfate complex with selected other drugs during simulated Y-site administration.
Hosp Pharm 1998 ; 33: 284-292.
1410 Czasopismo Trissel LA, Martinez JF, Simmons M.
Compatibility of etoposide phosphate with selected drugs during simulated Y-site injection.
J Am Pharm Assoc 1999 ; 39: 141-145.
1415 Czasopismo Trissel L.A, Gilbert D.L, Martinez J.F, Baker M.B, Walter W.V, Mirtallo J.M.
Compatibility of medications with 3-in-1 parenteral nutrition admixtures.
JPEN 1999 ; 23: 67-74.
1423 Czasopismo Trissel LA, Martinez JF, Gilbert DL.
Compatibility of gemcitabine hyrochloride with 107 selected drugs during simulated Y-site injection.
J Am Pharm Assoc 1999 ; 39: 514-518.
1508 Czasopismo Voirol P, Berger-Gryllaki M, Pannatier A, Eggimann P, Sadeghipour F.
Visual compatibility of insulin aspart with intravenous drugs frequently used in ICU.
EJHP 2015 ;22:123-124.
1611 Czasopismo Chalmers JR, Bobek MB, Militello MA.
Visual compatibility of amiodarone hydrochloride injection with various intravenous drugs.
Am J Health-Syst Pharm 2001 ; 58: 504-506.
1625 Czasopismo Trissel LA, Saenz C, Williams YW, Ingram D.
Incompatibilities of lansoprazole injection with other drugs during simulated Y-site coadministration.
Int J Pharm Compound 2001 ; 5: 314-321.
1674 Czasopismo Trissel LA, Gilbert DL, Martinez JF.
Concentration dependency of vancomycin hydrochloride compatibility with beta-lactam antibiotics during simulated Y-site administration.
Hosp Pharm 1998 ; 33: 1515-1522.
1712 Czasopismo Trissel LA, Saenz CA.
Compatibility screening of Precedex during simulated Y-site administration with other drugs.
Int J Pharm Compound 2002 ; 6: 230-233.
1713 Czasopismo Trissel LA, Saenz CA.
Compatibility screening of bivalirudin during simulated Y-site administration with other drugs.
Int J Pharm Compound 2002 ; 6: 311-315.
1721 Czasopismo Trissel LA, Williams KY, Baker MB.
Compatibility screening of Hextend during simulated Y-site administration with other drugs.
Int J Pharm Compound 2001 ; 5: 69-72.
1754 Czasopismo Trissel LA, Gilbert DL, Wolkin AC.
Compatibility of docetaxel with selected drugs during simulated Y-site administration.
Int J Pharm Compound 1999 ; 3: 241-244.
1800 Czasopismo Voytilla KL, Tyler LS, Rusho WJ.
Visual compatibility of azithromycin with 24 commonly used drugs during simulated Y-site delivery.
Am J Health-Syst Pharm 2002 ; 59: 853-855.
1803 Czasopismo Trissel, LA, Saenz CA, Ogundele OB, Ingram D, Baker MB.
Compatibility of fenoldopam mesylate with other drugs during simulated Y-site administration.
Am J Health-Syst Pharm 2003 ; 60: 80-85.
1925 Czasopismo Trissel LA , Williams KY, Gilbert DL.
Compatibility screening of linezolid injection during simulated Y-site administration with other drugs and infusion solutions.
J Am Pharm Assoc 2000 ; 40: 515-519.
1946 Czasopismo Hecq JD, Berlage V, Vanbeckbergen D, Jamart J, Galanti L.
Effects of freezing, long-term storage, and microwave thawing on the stability of piperacillin plus tazobactam in 5% dextrose for infusion.
Can J Hosp Pharm 2004 ; 57, 5: 276-282.
1982 Czasopismo Trissel LA, Ogundele AB.
Compatibility of anidulafungin with other drugs during simulated Y-site administration.
Am J Health-Syst Pharm 2005 ; 62: 834-837.
2017 Czasopismo Barker B, Feddema S, Rusho WJ, Dengg R.
Visual compatibility of vasopressin with other injectable drugs.
Am J Health-Syst Pharm 2005 ; 62: 1969-1976.
2026 Czasopismo Rigge D, Jones MF.
Shelf lives of aseptically prepared medicines - stability of piperacillin/tazobactam in PVC and non-PVC bags.
J Pharm Biomed Anal 2005 ; 39: 339-343.
2042 Czasopismo Viaene E, Chanteux H, Servais H, Mingeot-Leclerq MP, Tulkens PM.
Comparative stability studies of antipseudomonal ß-lactams for potential administration through portable elastomeric pumps (home therapy for cystic fibrosis patients) and motor-operated syringes (intensive care units).
Antimicrob Agents Chemother 2002 ; 46: 2327-2332.
2087 Czasopismo Ferreira E, Forest JM, Hildgen P.
Compatibility of dimenhydrinate injectable by Y administration.
Pharmactuel 2004 ; 37: 17-20.
2090 Czasopismo Pere H, Chasse V, Forest JM, Hildgen P.
Compatibility of injectable pantoprazole in Y-site administration.
Pharmactuel 2004 ; 37: 193-196.
2109 Czasopismo Pelletier E, Forest JM, Hildgen P.
Compatibilité de la kétamine injectable lors de l’administration en dérivé avec d’autres médicaments usuels.
Pharmactuel 2006 ; 39: 71-75.
2231 Czasopismo de Jongh R, Hens R, Basma V, mouton JW, Tulkens PM, Carryn S.
Continuous versus intermittent infusion of temocillin, a directed spectrum penicillin for intensive care patients with nosocomial pneumonia: stability, compatibility, population pharmacokinetic studies and breakpoint selection.
J Antimicrob Chemother 2008 ; 61, 2: 382-388.
2233 Czasopismo Condie C.K, Tyler L.S, Barker B, Canann D.M.
Visual compatibility of caspofungin acetate with commonly used drugs during simulated Y-site delivery
Am J Health-Syst Pharm 2008 ; 65, 5: 454-457.
2247 Czasopismo Chan P, Heatherly K, Kupiec T.C, Trissel L.A.
Compatibility of caspofungin acetate injection with other drugs during simulated Y-site coadministration.
Int J Pharm Compound 2008 ; 12, 3: 276-278.
2345 Czasopismo Donnelly R.F.
Stability of aseptically prepared Tazocin solutions in polyvinyl chloride bags.
Can J Hosp Pharm 2009 ; 62, 3: 226-231.
2451 Czasopismo Park TW, Le-Bui LP, Chung KC, Rho JP, Gill MA.
Stability of piperacillin sodium-tazobactam sodium in peritoneal dialysis solutions
Am J Health-Syst Pharm 1995 ; 52: 2022 - 2024.
2475 Czasopismo Wade J, Cooper M, Ragan R.
Simulated Y-Site Compatibility of Vancomycin and Piperacillin-Tazobactam
Hosp Pharm 2015 ; 50: 376-379.
3012 Czasopismo Sullivan T, Forrest J.M, Leclair G.
Compatibility of Cloxacillin Sodium with Selected Intravenous Drugs During Simulated Y-Site Administration
Hosp Pharm 2015 ; 50, 3: 214-220.
3216 Czasopismo Legris ME, Valiquette ME, Lavoie A, Forest JM, Leclair G.
Compatibilité physique par évaluation visuelle du salbutamol injectable lors de son administration en Y.
Pharmactuel 2011 ; 44, 1 : 14-18
3254 Czasopismo Housman S.T, Tessier P.R, Nicolau D.P, Kuti J.L.
Physical compatibility of telavancin hydrochloride with select i.v. drugs during simulated Y-site administration
Am J Health-Syst Pharm 2011 ; 68: 2265-2270.
3332 Laboratorium Tigecycline (Tigacyl®) - Summary of Product characteristics
Pfizer 2012
3365 Czasopismo Nichols K.R, DeMarco M.W, Vertin M.D, Knoderer C.A.
Y-Site Compatibility of Vancomycin and Piperacillin/Tazobactam at Commonly Utilized Pediatric Concentrations.
Hosp Pharm 2013 ; 1: 44-47
3385 Czasopismo Raverdi V, Ampe E, Hecq JD, Tulkens PM.
Stability and compatibility of vancomycin for administration by continuous infusion.
J Antimicrob Chemother 2013 ; 68: 1179-1182.
3408 Czasopismo Tollec S, Touzin K, Pelletier E, Forest J.M.
Evaluation visuelle de la compatibilité physique de la naloxone avec d’autres médicaments intraveineux usuels.
Pharmactuel 2013 ; 46, 1 : 16-21.
3421 Czasopismo Leung E, Venkatesan N, Ly S.C, Scheetz M.H.
Physical compatibility of vancomycin and piperacillin sodium–tazobactam at concentrations typically used during prolonged infusions.
Am J Health-Syst Pharm 2013 ;70:1163-1166.
3428 Czasopismo Nichols K.R, DeMarco M.W, Vertin M.D, Knoderer C.A.
Y-site compatibility of vancomycin and piperacillin/tazobactam at commonly utilized pediatric concentrations.
Hosp Pharm 2013 ; 48, 1: 44-47.
3520 Laboratorium Cidomycin - Summary of product Chracteristics.
Sanofi 2011
3529 Laboratorium Ciprofloxacin – Summary of Product Characteristics
Hospira 2013
3549 Laboratorium Amikacine B Braun - Résumé des caractéristiques du produit.
B Braun 2012
3571 Czasopismo Anderson C, Boehme S, Ouellette J, Stidham C, MacKay M.
Physical and Chemical Compatibility of Injectable Acetaminophen During Simulated Y-Site Administration.
Hosp Pharm 2014 ; 49, 1: 42-47.
3586 Laboratorium Piperacilline tazobactam Actavis® - Résumé des caractéristiques du produit
Actavis France 2010
3595 Laboratorium Aciclovir - Summary of Product Characteristics
Hospira 2009
3643 Laboratorium Gentamicin sulphate (Cidomycin®) - Summary of Product Characteristics
Sanofi 2015
3674 Laboratorium Erythromycin lactobionate - Summary of Product Characteristics
PanPharma 2016
3766 Czasopismo Forrest J.M, Hildgen P.
Compatibilité de l’acétylcystéine injectable lors de son administration en Y avec d’autres médicaments usuels
Pharmactuel 2014 ; 47, 3 : 161-165.
3767 Czasopismo Legris M.E, Lavoie A, Forrest J.M, Hildgen P.
Compatibilité par évaluation visuelle du thiopental injectable lors de son administration en Y avec des médicaments usuels.
Pharmactuel 2014 ; 47, 3 : 167-172.
3824 Czasopismo Boudi S, Roy H, Forest JM, Leclair G.
Compatibilité physique de l'association amoxicilline-acide clavulanique en injection avec plusieurs autres médicaments lors d'une administration en Y.
Pharmactuel 2023 2023;56,3:91-98
3827 plakat Ghazi I.M, Hamada Y, Nicolau D.P.
Compatibility of tedizolid phosphate with selected intravenous drugs via simulated Y-site conditions.
ASHP Midyear 2015
3828 plakat Thabit A.K, Hamada Y, Nicolau D.P.
Ceftozolane/tazobactam physical compatibility during simulated Y-site administration.
ASHP Midyear 2015
3829 plakat So W, Kim L, Thabit A.K, Nicolau D.P, Kuti J.L.
Compatibility of isavunazonium sulfate during simulated Y-site administration.
ASHP Midyear 2015
3841 Czasopismo Nicholas O?Donnell J, Venkatesan N, Manek M, Rhodes N.J, Scheetz M.H.
Visual and absorbance analyses of admixtures containing vancomycin and piperacillin–tazobactam at commonly used concentrations.
Am J Health-Syst Pharm 2016 ; 73:241-246
3948 Czasopismo Bouchoud L, Fonzo-Christe C, Klingm?ller M, Bonnabry P .
Compatibility of Intravenous Medications With Parenteral Nutrition - In Vitro Evaluation.
JPEN 2012 ;30. 416?424.
3960 Czasopismo Kufel W.D, Miller C.D, Johnson P.R, Reid K., Zahra J.J, Seabury R.W.
Y-site Incompatibility Between Premix Concentrations of Vancomycin and Piperacillin-Tazobactam: Do Current Compatibility Testing Methodologies Tell the Whole Story?
Hosp Pharm 2017 ;52,2:132-137.
3964 Czasopismo Audet M.A, Forest E, Friciu M, Forest J.M, Leclair G.
Compatibilité du citrate de caféine injectable avec plusieurs autres médicaments.
Pharmactuel 2017 ; 50,1 : 27-33.
3984 Czasopismo Meyer K, Santarossa M, Danziger L.H, Wenzler E.
Compatibility of Ceftazidime-Avibactam, Ceftolozane-Tazobactam and Piperacillin-Tazobactam with Vancomycin in Dextrose 5% in Water.
Hosp Pharm 2017 ,52;3 : 221-228
3997 Czasopismo Katip W.
Visual compatibility of colistin injection with other antibiotics during simulated Y-site administration.
Am J Health-Syst Pharm 2017 ; 74:14 : 1099-1102
4055 Czasopismo Monogue M, Almarzoky Abuhussain S, Kuti J, Nicolau D.
Physical compatibility of fosfomycin for injection with select i.v. drugs during simulated Y-site administration.
Am J Health-Syst Pharm 2018 , 75, 1:36-44
4145 Czasopismo Asempa T.E, Avery L.M, Kidd J.M, Kuti J.L, Nicolau D.P.
Physical compatibility of plazomicin with select i.v. drugs during simulated Y-site administration.
Am J Health-Syst Pharm 2018 ;75,14:1048-1056
4148 Czasopismo Huvelle S, Godet M, Galanti L, Closset M, Bihin B, Jamart J, Hecq J.D.
Long-Term Stability Comparison between an Original and a Generic Version of Piperacillin/Tazobactam in Dextrose 5% Infusion Polyolefin Bags at 5+/-3°C after Microwave Freeze-Thaw Treatment.
Pharmaceutical Technology in Hospital Pharmacy 2018 ; 3(3): 143–151.
4180 Czasopismo Mendes K, Harmanjeet H, Sedeeq M, Modi A, Wanandy T, Zaidi S, Ming L, Castelino R, Sud K, Peterson G, Patel R.
Stability of meropenem and piperacillin/tazobactam with heparin in various peritoneal dialysis solutions.
Perit Dial Int 2018 ;38,6:430-440
4254 Czasopismo D'Huart E, Vigneron J, Demoré B.
Physical Compatibility of Intravenous Drugs Commonly Used in Intensive Care Units: An Observational Study and Physical Compatibility Laboratory Tests on Anti-Infective Drugs
Pharmaceutical Technology in Hospital Pharmacy 2019 ;4,1:29-40
4319 Czasopismo Lessard J-J, Caron E, Schérer H, Forest J-M, Leclair G.
Compatibility of Y-site Injection of Meropenem Trihydrate With 101 Other Injectable Drugs.
Hosp Pharm 2020 ; 55, 5: 332-337.
4326 Czasopismo Curti C, Harti Souab K, Lamy E, Mathias F, Bornet C, Guinard B, Fersing C, Primas N, Albanèse J, Vanelle P.
Stability studies of antipyocyanic beta-lactam antibiotics used in continuous infusion.
Pharmazie 2019 ; 74: 357-362.
4354 plakat Sicard G, Donnette M, Martin N, Gensollen S, Pourroy B, Fanciullino R.
Compatibilité visuelle du Vyxeos lors d'administration en Y avec une sélection de médicaments injectables.
GERPAC Congress 2019 2019
4434 Czasopismo Avery L.M, Chen, I.H, Reyes, S, Nicolau, D.P, Kuti J.L.
Assessment of the Physical Compatibility of Eravacycline and Common Parenteral Drugs During Simulated Y-site Administration.
Clin Ther 2019 ; 41, 10: 2162-2170.
4470 Czasopismo Claeysoone K, Basma V, Hens R, Van Bambeke F, de Jongh R, Tulkens P.
Continuous versus intermittent infusion of temocillin in intensive care unit patient.
Critical care 2005 ; 9(Suppl 1) P37
4512 Czasopismo Jamieson C,Ozolina L,Seaton RA, Gilchrist M, Hills T, Drummond F, Wilkinson AS.
Assessment of the stability of citrate- buffered piperacillin/tazobactam for continuous infusion when stored in two commercially available elastomeric devices for outpatient parenteral antimicrobial chemotherapy: a study compliant with the NHS Yellow Cover Document requirements
EJHP 2020 2020;0:1-5.
4521 Czasopismo Polo C, D’Huart E, Lesperlette G, Vigneron J, Meyer F, Demoré B.
Compatibility of injectable posaconazole with drugs commonly used in a hematology care unit.
Pharmaceutical Technology in Hospital Pharmacy 2020
4538 Czasopismo Campbell A, Petrovski M, Senarathna G, Mukadam ,Strunk T, Batty K.
Compatibility of pentoxifylline and parenteral medications.
Archives of Disease in Childhood 2020 ; 105: 395-397.
4569 Czasopismo Lee T.M , Villareal C.L, Meyer L.M.
Y-Site Compatibility of Intravenous Levetiracetam With Commonly Used Critical Care Medications.
Hosp Pharm 2021 ; 56, 4: 282-286.
4603 Czasopismo Vallée M, Barthélémy I, Friciu M, Pelletier E, Forest J.M, Benoit F, Leclair G.
Compatibility of Lactated Ringer’s Injection With 94 Selected Intravenous Drugs During Simulated Y-site Administration.
Hosp Pharm 2021 ; 56, 4: 228-234.
4620 Laboratorium kontroli jakości SimmsD, Roberts J, Rigge D.
Stability Study for Piperacillin/Tazobactam 56.9 mg/mL in Sodium Chloride 0.9% w/v in 50mL Infusion Bags.
Quality Control North West, Stockport NHS Foundati 2021
4621 Laboratorium kontroli jakości Simms D, Roberts J, Rigge D.
Stability Study for Piperacillin/Tazobactam 56.9 mg/mL in Glucose 5.0% w/v in 50mL Infusion Bags.
Quality Control North West, Stockport NHS Foundati 2021
4634 Czasopismo Loeuille G, D'Huart E, Vigneron J, Nisse YE, Beiler B, Polo C, Ayari G, Sacrez M, Demoré B, Charmillon A.
Stability studies of 16 Antibiotics for Continuous Infusion in Intensive Care Units and for Performing Outpatient Parenteral Antimicrobial Therapy.
Antibiotics 2022 ;11,4: 458
4654 plakat Sicard G, Donnette M, Martin N, Gensollen S, Pourroy B, Fanciullino R.
Compatibilité visuelle du Vyxeos® lors d'administration en Y avec une sélection de médicaments injectables.
Communication personnelle 2021
4655 Czasopismo Holyk A, Lindner A, Lindner S, Shippert B
Physical compatibility of Normosol-R with critical care medications used in patients with COVID-19 during simulated Y-site administration.
Am J Health-Syst Pharm 2022 ;79,1:27-33
4742 Czasopismo Macoviciuc M, Nguyen C, Forest J-M, Leclair G.
Compatibilité physique de l’acétaminophène injectable avec 102 autres médicaments lors d’une administration en Y.
Pharmactuel 2022 ; 55, 4: 247-255.
4758 Czasopismo Schmidt J.P, Steppe M.
Stability Study and Simultaneous Determination of Norepinephrine, Moxifloxacin, and Piperacillin + Tazobactam Mixtures Applied in Intensive Care Medicine .
Curr Pharm Anal 2023 ; 19, 4: 307-316.
4801 Czasopismo Ruiz V, Yuwei Shen Y, Abouelhassan Y, Fouad A, Nicolau D, Kuti J.
Physical compatibility of sulbactam/durlobactam with select intravenous drugs during simulated Y-site administration.
Am J Health-Syst Pharm 2024 ;51,1:
4837 Czasopismo De Silva, D.T.N Petrovski M, Strunk T, Mukadam N, Page‑Sharp N, Moore B.R, Batty K.T.
Physicochemical compatibility of caffeine citrate and caffeine base injections with parenteral medications used in neonatal intensive care settings.
Eur J Clin Pharmacol 2024 ; 80:1079–1087.
4842 Czasopismo Souha H Y, Alka G, Yunmei S, Nicole E W, Sanjay G.
Harmonising IV Oxycodone with Paediatric Perioperative Medications: A Compatibility Study Through Y-Type Connectors
Drug Design Dev Ther 2024 ;18: 899–908.
4845 Czasopismo De Silva D.T.N, Strunk T, Petrovski M, Page-Sharp M, Moore B.R, Batty K.T.
The Physicochemical Compatibility of Sildenafil Injection with Parenteral Medications Used in Neonatal Intensive Care Settings.
Pharmaceutics 2024 ;1 6, 419.
4850 Czasopismo Négrier L, Martin Mena A, Dupont C, Gamache P, Zimbril J.O, Abdoune Y, Karrout Y, Odou P, Genay S, Décaudin B.
The Infusion of Piperacillin/Tazobactam with an Elastomeric Device: A Combined 24-H Stability Study and Drug Solution Flow Rate Analysis.
Pharmaceuticals 2024 : 17, 1085.
4922 Czasopismo Wanandy T, Handley SA, Le TTA, Lau WY, Turner ME, Wiese MD.
Stability of Antibiotics for Use in the Testing of Immediate Drug Allergy Reactions.
J Allergy Clin Immunol Pract 2024 13, 2: 343-352.
4924 Czasopismo Senarathna G, Strunk T, Petrovski M, Woodland S, Martinez J, Chuang V, Batty K.
Physical compatibility of lipid emulsions and intravenous medications used in neonatal intensive care settings
EJHP 2023 2025;32:
4928 Biuletyn INFOSTAB D'Huart E, Beiler B, Vigneron J, Demoré B.
Compatibility tests - march 2025.
Newsletter INFOSTAB 68 - march 2025 2025
5069 Laboratorium MORPHINE (CHLORHYDRATE) AGUETTANT 10 mg/mL, solution injectable - Résumé des caractéristiques du produit.
LABORATOIRE AGUETTANT 2024

  Mentions Légales