Siste oppdatering :
27/11/2025
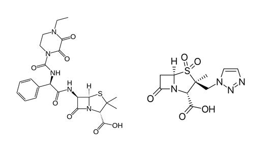
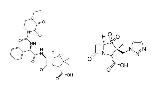
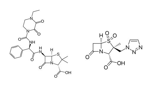
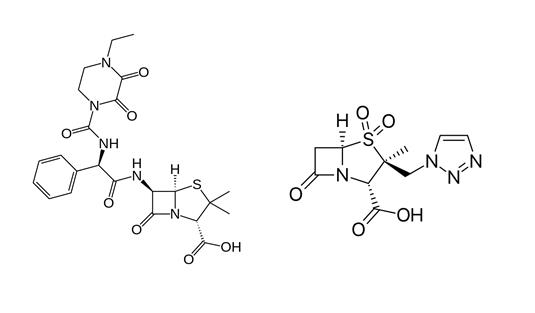
Antibiotika   Piperacillin sodium / tazobactam  
Injeksjon
Oppløsningsstabilitet Stabilitet i blandinger Faktorer som påvirker stabiliteten Kompatibilitet Administrasjonsmåte Referanser pdf
   Kjemisk struktur  

Handelsnavn   Handelsnavn     

Handelsnavn er veiledende og sammensetning av hjelpestoffer kan være forskjellig avhengig av land og produsent

Bagotaz Argentina
Betampil Ecuador
Bioval Chile
Petezam Argentina
Piperac Tyskland
Piperacillin tazobactam Belgia, Canada, Tyskland
Piperazam Brasil
Pipetazo Chile
Pipitaz Østerrike
Pixamol Colombia
Tazobac Ecuador, Italia, Portugal, Sveits
Tazocel Spania
Tazocilline Frankrike
Tazocin Argentina, Australia, Brasil, Colombia, Danmark, De forente arabiske emirater, Egypt, Finland, Hellas, Italia, Kroatia, Luxembourg, Mexico, Nederland, New Zealand, Nord-Irland, Norge, Peru, Polen, Storbritannia, Sverige, Sør-Afrika, Tyrkia, Ungarn
Tazonam Chile, Østerrike
Tazopip Australia
Tazpen Colombia, Mexico
Tazrobida Colombia
Tigux Chile
Tratac Chile
Trital Ecuador
Zosyn Japan, USA
Referanser   Injeksjon   Referanser : Piperacillin sodium / tazobactam  
Type publikasjon
16 Journal Chung KC, Moon YSK, Chin A, Ulrich WU, Gill MA.
Compatibility of ondansetron hydrochloride and piperacillin sodium-tazobactam sodium during simulated Y-site administration.
Am J Health-Syst Pharm 1995 ; 52: 1554-1556.
59 Journal Trissel LA, Gilbert DL, Martinez JF, Kim MC.
Compatibility of remifentanil hydrochloride with selected drugs during simulated Y-site administration.
Am J Health-Syst Pharm 1997 ; 54: 2192-2196.
81 Journal Trissel LA, Martinez JF.
Compatibility of piperacillin sodium plus tazobactam with selected drugs during simulated Y-site injection.
Am J Hosp Pharm 1994 ; 51: 672-678.
182 Journal Trissel LA, Gilbert DL, Martinez JF.
Compatibility of granisetron hydrochloride with selected drugs during simulated Y-site administration.
Am J Health-Syst Pharm 1997 ; 54: 56-60.
235 Journal Choi JS, Burm JP, Jhee SS, Chin A, Ulrich RW, Gill MA.
Stability of piperacillin sodium-tazobactam sodium and ranitidine hydrochloride in 0.9% sodium chloride injection during simulated Y-site administration.
Am J Hosp Pharm 1994 ; 51: 2273-2276.
251 Journal Trissel LA, Gilbert DL, Martinez JF.
Compatibility of doxorubicin hydrochloride liposome injection with selected other drugs during simulated Y-site administration.
Am J Health-Syst Pharm 1997 ; 54: 2708-2713.
274 Journal Moon YSK, Chung KC, Chin A, Gill MA.
Stability of piperacillin sodium-tazobactam sodium in polypropylene syringes and polyvinyl chloride minibags.
Am J Health-Syst Pharm 1995 ; 52: 999-1001.
299 Journal Trissel LA, Martinez JF, Gilbert DL.
Compatibility of cisatracurium besylate with selected drugs during simulated Y-site administration.
Am J Health-Syst Pharm 1997 ; 54: 1735-1741.
301 Journal Trissel LA, Gilbert DL, Martinez JF, Baker MB, Walter WV, Mirtallo JM.
Compatibility of parenteral nutrient solutions with selected drugs during simulated Y-site administration.
Am J Health-Syst Pharm 1997 ; 54: 1295-1300.
604 Labratorium Stabilité des médicaments dans l'Intermate® SV50, 100, 200
Baxter 1998
921 Journal Trissel LA, Gilbert DL, Martinez JF.
Incompatibility and compatibility of amphotericin B cholesteryl sulfate complex with selected other drugs during simulated Y-site administration.
Hosp Pharm 1998 ; 33: 284-292.
1410 Journal Trissel LA, Martinez JF, Simmons M.
Compatibility of etoposide phosphate with selected drugs during simulated Y-site injection.
J Am Pharm Assoc 1999 ; 39: 141-145.
1415 Journal Trissel L.A, Gilbert D.L, Martinez J.F, Baker M.B, Walter W.V, Mirtallo J.M.
Compatibility of medications with 3-in-1 parenteral nutrition admixtures.
JPEN 1999 ; 23: 67-74.
1423 Journal Trissel LA, Martinez JF, Gilbert DL.
Compatibility of gemcitabine hyrochloride with 107 selected drugs during simulated Y-site injection.
J Am Pharm Assoc 1999 ; 39: 514-518.
1508 Journal Voirol P, Berger-Gryllaki M, Pannatier A, Eggimann P, Sadeghipour F.
Visual compatibility of insulin aspart with intravenous drugs frequently used in ICU.
EJHP 2015 ;22:123-124.
1611 Journal Chalmers JR, Bobek MB, Militello MA.
Visual compatibility of amiodarone hydrochloride injection with various intravenous drugs.
Am J Health-Syst Pharm 2001 ; 58: 504-506.
1625 Journal Trissel LA, Saenz C, Williams YW, Ingram D.
Incompatibilities of lansoprazole injection with other drugs during simulated Y-site coadministration.
Int J Pharm Compound 2001 ; 5: 314-321.
1674 Journal Trissel LA, Gilbert DL, Martinez JF.
Concentration dependency of vancomycin hydrochloride compatibility with beta-lactam antibiotics during simulated Y-site administration.
Hosp Pharm 1998 ; 33: 1515-1522.
1712 Journal Trissel LA, Saenz CA.
Compatibility screening of Precedex during simulated Y-site administration with other drugs.
Int J Pharm Compound 2002 ; 6: 230-233.
1713 Journal Trissel LA, Saenz CA.
Compatibility screening of bivalirudin during simulated Y-site administration with other drugs.
Int J Pharm Compound 2002 ; 6: 311-315.
1721 Journal Trissel LA, Williams KY, Baker MB.
Compatibility screening of Hextend during simulated Y-site administration with other drugs.
Int J Pharm Compound 2001 ; 5: 69-72.
1754 Journal Trissel LA, Gilbert DL, Wolkin AC.
Compatibility of docetaxel with selected drugs during simulated Y-site administration.
Int J Pharm Compound 1999 ; 3: 241-244.
1800 Journal Voytilla KL, Tyler LS, Rusho WJ.
Visual compatibility of azithromycin with 24 commonly used drugs during simulated Y-site delivery.
Am J Health-Syst Pharm 2002 ; 59: 853-855.
1803 Journal Trissel, LA, Saenz CA, Ogundele OB, Ingram D, Baker MB.
Compatibility of fenoldopam mesylate with other drugs during simulated Y-site administration.
Am J Health-Syst Pharm 2003 ; 60: 80-85.
1925 Journal Trissel LA , Williams KY, Gilbert DL.
Compatibility screening of linezolid injection during simulated Y-site administration with other drugs and infusion solutions.
J Am Pharm Assoc 2000 ; 40: 515-519.
1946 Journal Hecq JD, Berlage V, Vanbeckbergen D, Jamart J, Galanti L.
Effects of freezing, long-term storage, and microwave thawing on the stability of piperacillin plus tazobactam in 5% dextrose for infusion.
Can J Hosp Pharm 2004 ; 57, 5: 276-282.
1982 Journal Trissel LA, Ogundele AB.
Compatibility of anidulafungin with other drugs during simulated Y-site administration.
Am J Health-Syst Pharm 2005 ; 62: 834-837.
2017 Journal Barker B, Feddema S, Rusho WJ, Dengg R.
Visual compatibility of vasopressin with other injectable drugs.
Am J Health-Syst Pharm 2005 ; 62: 1969-1976.
2026 Journal Rigge D, Jones MF.
Shelf lives of aseptically prepared medicines - stability of piperacillin/tazobactam in PVC and non-PVC bags.
J Pharm Biomed Anal 2005 ; 39: 339-343.
2042 Journal Viaene E, Chanteux H, Servais H, Mingeot-Leclerq MP, Tulkens PM.
Comparative stability studies of antipseudomonal ß-lactams for potential administration through portable elastomeric pumps (home therapy for cystic fibrosis patients) and motor-operated syringes (intensive care units).
Antimicrob Agents Chemother 2002 ; 46: 2327-2332.
2087 Journal Ferreira E, Forest JM, Hildgen P.
Compatibility of dimenhydrinate injectable by Y administration.
Pharmactuel 2004 ; 37: 17-20.
2090 Journal Pere H, Chasse V, Forest JM, Hildgen P.
Compatibility of injectable pantoprazole in Y-site administration.
Pharmactuel 2004 ; 37: 193-196.
2109 Journal Pelletier E, Forest JM, Hildgen P.
Compatibilité de la kétamine injectable lors de l’administration en dérivé avec d’autres médicaments usuels.
Pharmactuel 2006 ; 39: 71-75.
2231 Journal de Jongh R, Hens R, Basma V, mouton JW, Tulkens PM, Carryn S.
Continuous versus intermittent infusion of temocillin, a directed spectrum penicillin for intensive care patients with nosocomial pneumonia: stability, compatibility, population pharmacokinetic studies and breakpoint selection.
J Antimicrob Chemother 2008 ; 61, 2: 382-388.
2233 Journal Condie C.K, Tyler L.S, Barker B, Canann D.M.
Visual compatibility of caspofungin acetate with commonly used drugs during simulated Y-site delivery
Am J Health-Syst Pharm 2008 ; 65, 5: 454-457.
2247 Journal Chan P, Heatherly K, Kupiec T.C, Trissel L.A.
Compatibility of caspofungin acetate injection with other drugs during simulated Y-site coadministration.
Int J Pharm Compound 2008 ; 12, 3: 276-278.
2345 Journal Donnelly R.F.
Stability of aseptically prepared Tazocin solutions in polyvinyl chloride bags.
Can J Hosp Pharm 2009 ; 62, 3: 226-231.
2451 Journal Park TW, Le-Bui LP, Chung KC, Rho JP, Gill MA.
Stability of piperacillin sodium-tazobactam sodium in peritoneal dialysis solutions
Am J Health-Syst Pharm 1995 ; 52: 2022 - 2024.
2475 Journal Wade J, Cooper M, Ragan R.
Simulated Y-Site Compatibility of Vancomycin and Piperacillin-Tazobactam
Hosp Pharm 2015 ; 50: 376-379.
3012 Journal Sullivan T, Forrest J.M, Leclair G.
Compatibility of Cloxacillin Sodium with Selected Intravenous Drugs During Simulated Y-Site Administration
Hosp Pharm 2015 ; 50, 3: 214-220.
3216 Journal Legris ME, Valiquette ME, Lavoie A, Forest JM, Leclair G.
Compatibilité physique par évaluation visuelle du salbutamol injectable lors de son administration en Y.
Pharmactuel 2011 ; 44, 1 : 14-18
3254 Journal Housman S.T, Tessier P.R, Nicolau D.P, Kuti J.L.
Physical compatibility of telavancin hydrochloride with select i.v. drugs during simulated Y-site administration
Am J Health-Syst Pharm 2011 ; 68: 2265-2270.
3332 Labratorium Tigecycline (Tigacyl®) - Summary of Product characteristics
Pfizer 2012
3365 Journal Nichols K.R, DeMarco M.W, Vertin M.D, Knoderer C.A.
Y-Site Compatibility of Vancomycin and Piperacillin/Tazobactam at Commonly Utilized Pediatric Concentrations.
Hosp Pharm 2013 ; 1: 44-47
3385 Journal Raverdi V, Ampe E, Hecq JD, Tulkens PM.
Stability and compatibility of vancomycin for administration by continuous infusion.
J Antimicrob Chemother 2013 ; 68: 1179-1182.
3408 Journal Tollec S, Touzin K, Pelletier E, Forest J.M.
Evaluation visuelle de la compatibilité physique de la naloxone avec d’autres médicaments intraveineux usuels.
Pharmactuel 2013 ; 46, 1 : 16-21.
3421 Journal Leung E, Venkatesan N, Ly S.C, Scheetz M.H.
Physical compatibility of vancomycin and piperacillin sodium–tazobactam at concentrations typically used during prolonged infusions.
Am J Health-Syst Pharm 2013 ;70:1163-1166.
3428 Journal Nichols K.R, DeMarco M.W, Vertin M.D, Knoderer C.A.
Y-site compatibility of vancomycin and piperacillin/tazobactam at commonly utilized pediatric concentrations.
Hosp Pharm 2013 ; 48, 1: 44-47.
3520 Labratorium Cidomycin - Summary of product Chracteristics.
Sanofi 2011
3529 Labratorium Ciprofloxacin – Summary of Product Characteristics
Hospira 2013
3549 Labratorium Amikacine B Braun - Résumé des caractéristiques du produit.
B Braun 2012
3571 Journal Anderson C, Boehme S, Ouellette J, Stidham C, MacKay M.
Physical and Chemical Compatibility of Injectable Acetaminophen During Simulated Y-Site Administration.
Hosp Pharm 2014 ; 49, 1: 42-47.
3586 Labratorium Piperacilline tazobactam Actavis® - Résumé des caractéristiques du produit
Actavis France 2010
3595 Labratorium Aciclovir - Summary of Product Characteristics
Hospira 2009
3643 Labratorium Gentamicin sulphate (Cidomycin®) - Summary of Product Characteristics
Sanofi 2015
3674 Labratorium Erythromycin lactobionate - Summary of Product Characteristics
PanPharma 2016
3766 Journal Forrest J.M, Hildgen P.
Compatibilité de l’acétylcystéine injectable lors de son administration en Y avec d’autres médicaments usuels
Pharmactuel 2014 ; 47, 3 : 161-165.
3767 Journal Legris M.E, Lavoie A, Forrest J.M, Hildgen P.
Compatibilité par évaluation visuelle du thiopental injectable lors de son administration en Y avec des médicaments usuels.
Pharmactuel 2014 ; 47, 3 : 167-172.
3824 Journal Boudi S, Roy H, Forest JM, Leclair G.
Compatibilité physique de l'association amoxicilline-acide clavulanique en injection avec plusieurs autres médicaments lors d'une administration en Y.
Pharmactuel 2023 2023;56,3:91-98
3827 plakat Ghazi I.M, Hamada Y, Nicolau D.P.
Compatibility of tedizolid phosphate with selected intravenous drugs via simulated Y-site conditions.
ASHP Midyear 2015
3828 plakat Thabit A.K, Hamada Y, Nicolau D.P.
Ceftozolane/tazobactam physical compatibility during simulated Y-site administration.
ASHP Midyear 2015
3829 plakat So W, Kim L, Thabit A.K, Nicolau D.P, Kuti J.L.
Compatibility of isavunazonium sulfate during simulated Y-site administration.
ASHP Midyear 2015
3841 Journal Nicholas O?Donnell J, Venkatesan N, Manek M, Rhodes N.J, Scheetz M.H.
Visual and absorbance analyses of admixtures containing vancomycin and piperacillin–tazobactam at commonly used concentrations.
Am J Health-Syst Pharm 2016 ; 73:241-246
3948 Journal Bouchoud L, Fonzo-Christe C, Klingm?ller M, Bonnabry P .
Compatibility of Intravenous Medications With Parenteral Nutrition - In Vitro Evaluation.
JPEN 2012 ;30. 416?424.
3960 Journal Kufel W.D, Miller C.D, Johnson P.R, Reid K., Zahra J.J, Seabury R.W.
Y-site Incompatibility Between Premix Concentrations of Vancomycin and Piperacillin-Tazobactam: Do Current Compatibility Testing Methodologies Tell the Whole Story?
Hosp Pharm 2017 ;52,2:132-137.
3964 Journal Audet M.A, Forest E, Friciu M, Forest J.M, Leclair G.
Compatibilité du citrate de caféine injectable avec plusieurs autres médicaments.
Pharmactuel 2017 ; 50,1 : 27-33.
3984 Journal Meyer K, Santarossa M, Danziger L.H, Wenzler E.
Compatibility of Ceftazidime-Avibactam, Ceftolozane-Tazobactam and Piperacillin-Tazobactam with Vancomycin in Dextrose 5% in Water.
Hosp Pharm 2017 ,52;3 : 221-228
3997 Journal Katip W.
Visual compatibility of colistin injection with other antibiotics during simulated Y-site administration.
Am J Health-Syst Pharm 2017 ; 74:14 : 1099-1102
4055 Journal Monogue M, Almarzoky Abuhussain S, Kuti J, Nicolau D.
Physical compatibility of fosfomycin for injection with select i.v. drugs during simulated Y-site administration.
Am J Health-Syst Pharm 2018 , 75, 1:36-44
4145 Journal Asempa T.E, Avery L.M, Kidd J.M, Kuti J.L, Nicolau D.P.
Physical compatibility of plazomicin with select i.v. drugs during simulated Y-site administration.
Am J Health-Syst Pharm 2018 ;75,14:1048-1056
4148 Journal Huvelle S, Godet M, Galanti L, Closset M, Bihin B, Jamart J, Hecq J.D.
Long-Term Stability Comparison between an Original and a Generic Version of Piperacillin/Tazobactam in Dextrose 5% Infusion Polyolefin Bags at 5+/-3°C after Microwave Freeze-Thaw Treatment.
Pharmaceutical Technology in Hospital Pharmacy 2018 ; 3(3): 143–151.
4180 Journal Mendes K, Harmanjeet H, Sedeeq M, Modi A, Wanandy T, Zaidi S, Ming L, Castelino R, Sud K, Peterson G, Patel R.
Stability of meropenem and piperacillin/tazobactam with heparin in various peritoneal dialysis solutions.
Perit Dial Int 2018 ;38,6:430-440
4254 Journal D'Huart E, Vigneron J, Demoré B.
Physical Compatibility of Intravenous Drugs Commonly Used in Intensive Care Units: An Observational Study and Physical Compatibility Laboratory Tests on Anti-Infective Drugs
Pharmaceutical Technology in Hospital Pharmacy 2019 ;4,1:29-40
4319 Journal Lessard J-J, Caron E, Schérer H, Forest J-M, Leclair G.
Compatibility of Y-site Injection of Meropenem Trihydrate With 101 Other Injectable Drugs.
Hosp Pharm 2020 ; 55, 5: 332-337.
4326 Journal Curti C, Harti Souab K, Lamy E, Mathias F, Bornet C, Guinard B, Fersing C, Primas N, Albanèse J, Vanelle P.
Stability studies of antipyocyanic beta-lactam antibiotics used in continuous infusion.
Pharmazie 2019 ; 74: 357-362.
4354 plakat Sicard G, Donnette M, Martin N, Gensollen S, Pourroy B, Fanciullino R.
Compatibilité visuelle du Vyxeos lors d'administration en Y avec une sélection de médicaments injectables.
GERPAC Congress 2019 2019
4434 Journal Avery L.M, Chen, I.H, Reyes, S, Nicolau, D.P, Kuti J.L.
Assessment of the Physical Compatibility of Eravacycline and Common Parenteral Drugs During Simulated Y-site Administration.
Clin Ther 2019 ; 41, 10: 2162-2170.
4470 Journal Claeysoone K, Basma V, Hens R, Van Bambeke F, de Jongh R, Tulkens P.
Continuous versus intermittent infusion of temocillin in intensive care unit patient.
Critical care 2005 ; 9(Suppl 1) P37
4512 Journal Jamieson C,Ozolina L,Seaton RA, Gilchrist M, Hills T, Drummond F, Wilkinson AS.
Assessment of the stability of citrate- buffered piperacillin/tazobactam for continuous infusion when stored in two commercially available elastomeric devices for outpatient parenteral antimicrobial chemotherapy: a study compliant with the NHS Yellow Cover Document requirements
EJHP 2020 2020;0:1-5.
4521 Journal Polo C, D’Huart E, Lesperlette G, Vigneron J, Meyer F, Demoré B.
Compatibility of injectable posaconazole with drugs commonly used in a hematology care unit.
Pharmaceutical Technology in Hospital Pharmacy 2020
4538 Journal Campbell A, Petrovski M, Senarathna G, Mukadam ,Strunk T, Batty K.
Compatibility of pentoxifylline and parenteral medications.
Archives of Disease in Childhood 2020 ; 105: 395-397.
4569 Journal Lee T.M , Villareal C.L, Meyer L.M.
Y-Site Compatibility of Intravenous Levetiracetam With Commonly Used Critical Care Medications.
Hosp Pharm 2021 ; 56, 4: 282-286.
4603 Journal Vallée M, Barthélémy I, Friciu M, Pelletier E, Forest J.M, Benoit F, Leclair G.
Compatibility of Lactated Ringer’s Injection With 94 Selected Intravenous Drugs During Simulated Y-site Administration.
Hosp Pharm 2021 ; 56, 4: 228-234.
4620 Kvalitetskontrolllaboratorium SimmsD, Roberts J, Rigge D.
Stability Study for Piperacillin/Tazobactam 56.9 mg/mL in Sodium Chloride 0.9% w/v in 50mL Infusion Bags.
Quality Control North West, Stockport NHS Foundati 2021
4621 Kvalitetskontrolllaboratorium Simms D, Roberts J, Rigge D.
Stability Study for Piperacillin/Tazobactam 56.9 mg/mL in Glucose 5.0% w/v in 50mL Infusion Bags.
Quality Control North West, Stockport NHS Foundati 2021
4634 Journal Loeuille G, D'Huart E, Vigneron J, Nisse YE, Beiler B, Polo C, Ayari G, Sacrez M, Demoré B, Charmillon A.
Stability studies of 16 Antibiotics for Continuous Infusion in Intensive Care Units and for Performing Outpatient Parenteral Antimicrobial Therapy.
Antibiotics 2022 ;11,4: 458
4654 plakat Sicard G, Donnette M, Martin N, Gensollen S, Pourroy B, Fanciullino R.
Compatibilité visuelle du Vyxeos® lors d'administration en Y avec une sélection de médicaments injectables.
Communication personnelle 2021
4655 Journal Holyk A, Lindner A, Lindner S, Shippert B
Physical compatibility of Normosol-R with critical care medications used in patients with COVID-19 during simulated Y-site administration.
Am J Health-Syst Pharm 2022 ;79,1:27-33
4742 Journal Macoviciuc M, Nguyen C, Forest J-M, Leclair G.
Compatibilité physique de l’acétaminophène injectable avec 102 autres médicaments lors d’une administration en Y.
Pharmactuel 2022 ; 55, 4: 247-255.
4758 Journal Schmidt J.P, Steppe M.
Stability Study and Simultaneous Determination of Norepinephrine, Moxifloxacin, and Piperacillin + Tazobactam Mixtures Applied in Intensive Care Medicine .
Curr Pharm Anal 2023 ; 19, 4: 307-316.
4801 Journal Ruiz V, Yuwei Shen Y, Abouelhassan Y, Fouad A, Nicolau D, Kuti J.
Physical compatibility of sulbactam/durlobactam with select intravenous drugs during simulated Y-site administration.
Am J Health-Syst Pharm 2024 ;51,1:
4837 Journal De Silva, D.T.N Petrovski M, Strunk T, Mukadam N, Page‑Sharp N, Moore B.R, Batty K.T.
Physicochemical compatibility of caffeine citrate and caffeine base injections with parenteral medications used in neonatal intensive care settings.
Eur J Clin Pharmacol 2024 ; 80:1079–1087.
4842 Journal Souha H Y, Alka G, Yunmei S, Nicole E W, Sanjay G.
Harmonising IV Oxycodone with Paediatric Perioperative Medications: A Compatibility Study Through Y-Type Connectors
Drug Design Dev Ther 2024 ;18: 899–908.
4845 Journal De Silva D.T.N, Strunk T, Petrovski M, Page-Sharp M, Moore B.R, Batty K.T.
The Physicochemical Compatibility of Sildenafil Injection with Parenteral Medications Used in Neonatal Intensive Care Settings.
Pharmaceutics 2024 ;1 6, 419.
4850 Journal Négrier L, Martin Mena A, Dupont C, Gamache P, Zimbril J.O, Abdoune Y, Karrout Y, Odou P, Genay S, Décaudin B.
The Infusion of Piperacillin/Tazobactam with an Elastomeric Device: A Combined 24-H Stability Study and Drug Solution Flow Rate Analysis.
Pharmaceuticals 2024 : 17, 1085.
4922 Journal Wanandy T, Handley SA, Le TTA, Lau WY, Turner ME, Wiese MD.
Stability of Antibiotics for Use in the Testing of Immediate Drug Allergy Reactions.
J Allergy Clin Immunol Pract 2024 13, 2: 343-352.
4924 Journal Senarathna G, Strunk T, Petrovski M, Woodland S, Martinez J, Chuang V, Batty K.
Physical compatibility of lipid emulsions and intravenous medications used in neonatal intensive care settings
EJHP 2023 2025;32:
4928 Nyhetsbrev INFOSTAB D'Huart E, Beiler B, Vigneron J, Demoré B.
Compatibility tests - march 2025.
Newsletter INFOSTAB 68 - march 2025 2025
5069 Labratorium MORPHINE (CHLORHYDRATE) AGUETTANT 10 mg/mL, solution injectable - Résumé des caractéristiques du produit.
LABORATOIRE AGUETTANT 2024

  Mentions Légales